Номер 144, страница 297 - гдз по алгебре 10-11 класс учебник Колмогоров, Абрамов
 
                                                Авторы: Колмогоров А. Н., Абрамов А. М., Дудницын Ю. П.
Тип: Учебник
Издательство: Просвещение
Год издания: 2008 - 2025
Цвет обложки: зелёный, чёрный
ISBN: 978-5-09-019513-3
Рекомендовано Министерством образования и науки Российской Федерации
Алгебра и начала математического анализа
Популярные ГДЗ в 10 классе
Глава 5. Задачи на повторение. Параграф 4. Уравнения, неравенства, системы уравнений и неравенств - номер 144, страница 297.
№144 (с. 297)
Условие. №144 (с. 297)
скриншот условия
 
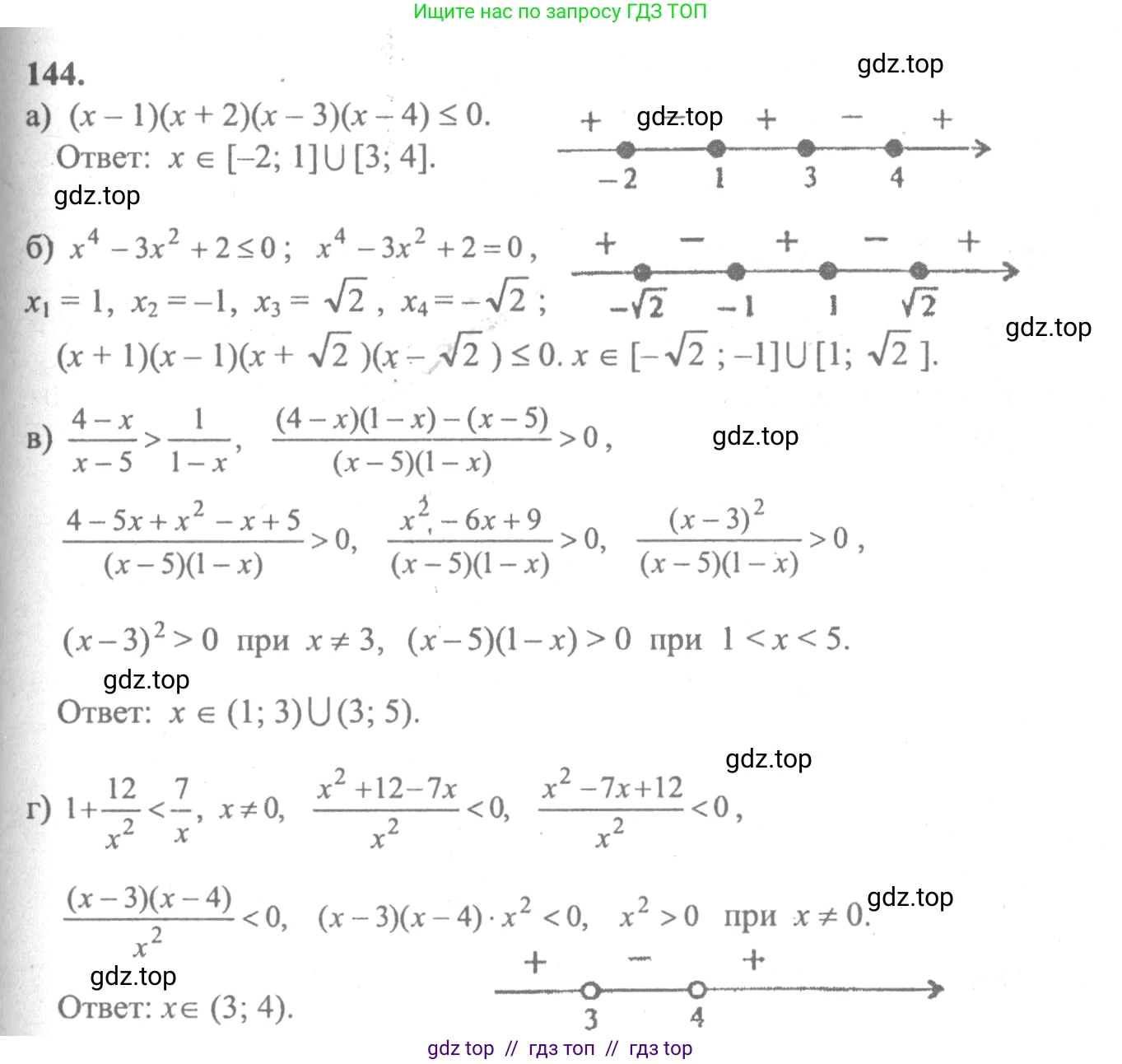
                                                                                                                                        144. а) $(x - 1) (x + 2) (x - 3) (x - 4) \le 0;$
б) $x^4 - 3x^2 + 2 \le 0;$
в) $\frac{4 - x}{x - 5} > \frac{1}{1 - x};$
г) $1 + \frac{12}{x^2} < \frac{7}{x}.$
Решение 1. №144 (с. 297)
 
                                                                                                                        Решение 3. №144 (с. 297)
 
                                                                            
                                                                                                         
                                                                                                                        Решение 5. №144 (с. 297)
а) Решим неравенство $(x - 1)(x + 2)(x - 3)(x - 4) \le 0$ методом интервалов.
Сначала найдем корни соответствующего уравнения: $(x - 1)(x + 2)(x - 3)(x - 4) = 0$.
Корни уравнения: $x_1 = 1$, $x_2 = -2$, $x_3 = 3$, $x_4 = 4$.
Отметим эти точки на числовой прямой. Они разбивают прямую на пять интервалов: $(-\infty, -2]$, $[-2, 1]$, $[1, 3]$, $[3, 4]$, $[4, +\infty)$.
Определим знак выражения в каждом интервале.
- При $x > 4$ (например, $x=5$): $(5-1)(5+2)(5-3)(5-4) = 4 \cdot 7 \cdot 2 \cdot 1 > 0$. Знак «+».
- При $3 < x < 4$ (например, $x=3.5$): $(3.5-1)(3.5+2)(3.5-3)(3.5-4) = 2.5 \cdot 5.5 \cdot 0.5 \cdot (-0.5) < 0$. Знак «-».
- При $1 < x < 3$ (например, $x=2$): $(2-1)(2+2)(2-3)(2-4) = 1 \cdot 4 \cdot (-1) \cdot (-2) > 0$. Знак «+».
- При $-2 < x < 1$ (например, $x=0$): $(-1)(2)(-3)(-4) < 0$. Знак «-».
- При $x < -2$ (например, $x=-3$): $(-3-1)(-3+2)(-3-3)(-3-4) = (-4) \cdot (-1) \cdot (-6) \cdot (-7) > 0$. Знак «+».
Знаки на интервалах чередуются: +, -, +, -, +.
Нам нужны интервалы, где выражение меньше или равно нулю ($\le 0$). Это интервалы со знаком «-», включая концы, так как неравенство нестрогое.
Таким образом, решение: $[-2, 1] \cup [3, 4]$.
Ответ: $x \in [-2, 1] \cup [3, 4]$.
б) Решим биквадратное неравенство $x^4 - 3x^2 + 2 \le 0$.
Сделаем замену переменной. Пусть $t = x^2$. Так как $x^2 \ge 0$, то $t \ge 0$.
Неравенство принимает вид: $t^2 - 3t + 2 \le 0$.
Найдем корни квадратного уравнения $t^2 - 3t + 2 = 0$. По теореме Виета, корни $t_1 = 1$, $t_2 = 2$.
Парабола $y = t^2 - 3t + 2$ ветвями вверх, поэтому она принимает значения меньше или равные нулю между корнями.
Решение для $t$: $1 \le t \le 2$. Оба значения удовлетворяют условию $t \ge 0$.
Вернемся к исходной переменной $x$: $1 \le x^2 \le 2$.
Это двойное неравенство можно разбить на систему:
$\begin{cases} x^2 \ge 1 \\ x^2 \le 2 \end{cases}$
Решаем первое неравенство: $x^2 - 1 \ge 0 \Rightarrow (x-1)(x+1) \ge 0$. Решение: $x \in (-\infty, -1] \cup [1, +\infty)$.
Решаем второе неравенство: $x^2 - 2 \le 0 \Rightarrow (x-\sqrt{2})(x+\sqrt{2}) \le 0$. Решение: $x \in [-\sqrt{2}, \sqrt{2}]$.
Найдем пересечение решений: $( (-\infty, -1] \cup [1, +\infty) ) \cap [-\sqrt{2}, \sqrt{2}]$.
Пересечение дает нам два интервала: $[-\sqrt{2}, -1]$ и $[1, \sqrt{2}]$.
Ответ: $x \in [-\sqrt{2}, -1] \cup [1, \sqrt{2}]$.
в) Решим дробно-рациональное неравенство $\frac{4-x}{x-5} > \frac{1}{1-x}$.
Перенесем все члены в левую часть: $\frac{4-x}{x-5} - \frac{1}{1-x} > 0$.
Область допустимых значений (ОДЗ): $x-5 \neq 0$ и $1-x \neq 0$, то есть $x \neq 5$ и $x \neq 1$.
Приведем к общему знаменателю: $\frac{(4-x)(1-x) - 1(x-5)}{(x-5)(1-x)} > 0$.
Раскроем скобки в числителе: $\frac{4 - 4x - x + x^2 - x + 5}{(x-5)(1-x)} > 0$.
Упростим числитель: $\frac{x^2 - 6x + 9}{(x-5)(1-x)} > 0$.
Заметим, что числитель является полным квадратом: $\frac{(x-3)^2}{(x-5)(1-x)} > 0$.
Числитель $(x-3)^2$ всегда неотрицателен. Он равен нулю при $x=3$ и положителен при $x \neq 3$.
Поскольку неравенство строгое ($>0$), то $x \neq 3$.
При $x \neq 3$ числитель положителен, значит, для выполнения неравенства знаменатель также должен быть положителен: $(x-5)(1-x) > 0$.
Умножим на -1, изменив знак неравенства: $(x-5)(x-1) < 0$.
Корни $x=1$ и $x=5$. Парабола ветвями вверх, значит, она отрицательна между корнями.
Решение: $1 < x < 5$.
Учтем ОДЗ ($x \neq 1, x \neq 5$) и условие $x \neq 3$.
Получаем интервалы: $(1, 3) \cup (3, 5)$.
Ответ: $x \in (1, 3) \cup (3, 5)$.
г) Решим неравенство $1 + \frac{12}{x^2} < \frac{7}{x}$.
ОДЗ: $x \neq 0$.
Перенесем все в левую часть: $1 - \frac{7}{x} + \frac{12}{x^2} < 0$.
Приведем к общему знаменателю $x^2$: $\frac{x^2 - 7x + 12}{x^2} < 0$.
Знаменатель $x^2$ всегда положителен при $x \neq 0$.
Следовательно, знак дроби совпадает со знаком числителя. Неравенство равносильно системе:
$\begin{cases} x^2 - 7x + 12 < 0 \\ x \neq 0 \end{cases}$
Решим квадратное неравенство $x^2 - 7x + 12 < 0$.
Найдем корни уравнения $x^2 - 7x + 12 = 0$. По теореме Виета, $x_1=3$, $x_2=4$.
Парабола $y = x^2 - 7x + 12$ ветвями вверх, поэтому она отрицательна между корнями.
Решение неравенства: $3 < x < 4$.
Этот интервал удовлетворяет условию $x \neq 0$.
Ответ: $x \in (3, 4)$.
Другие задания:
Помогло решение? Оставьте отзыв в комментариях ниже.
Присоединяйтесь к Телеграм-группе @top_gdz
ПрисоединитьсяМы подготовили для вас ответ c подробным объяснением домашего задания по алгебре за 10-11 класс, для упражнения номер 144 расположенного на странице 297 к учебнику 2008 года издания для учащихся школ и гимназий.
Теперь на нашем сайте ГДЗ.ТОП вы всегда легко и бесплатно найдёте условие с правильным ответом на вопрос «Как решить ДЗ» и «Как сделать» задание по алгебре к упражнению №144 (с. 297), авторов: Колмогоров (Андрей Николаевич), Абрамов (Александр Михайлович), Дудницын (Юрий Павлович), учебного пособия издательства Просвещение.
 
                     
                     
                     
                     
                     
                     
                     
                     
                     
                     
                     
                     
                     
                     
                     
                     
                     
                     
                    