Номер 137, страница 296 - гдз по алгебре 10-11 класс учебник Колмогоров, Абрамов
 
                                                Авторы: Колмогоров А. Н., Абрамов А. М., Дудницын Ю. П.
Тип: Учебник
Издательство: Просвещение
Год издания: 2008 - 2025
Цвет обложки: зелёный, чёрный
ISBN: 978-5-09-019513-3
Рекомендовано Министерством образования и науки Российской Федерации
Алгебра и начала математического анализа
Популярные ГДЗ в 10 классе
Глава 5. Задачи на повторение. Параграф 4. Уравнения, неравенства, системы уравнений и неравенств - номер 137, страница 296.
№137 (с. 296)
Условие. №137 (с. 296)
скриншот условия
 
                                                                                                                                        137. При каком значении a имеют общий корень уравнения:
а) $x^2 - ax = 0$ и $x^2 - x - 3a = 0$;
б) $x^2 - (a - 1) x = 3$ и $4x^2 - (4a + 3) x + 9 = 0$;
в) $x^2 + ax + 8 = 0$ и $x^2 + x + a = 0$;
г) $2x^2 + (3a - 1) x = 3$ и $6x^2 - (2a - 3) x = 1$?
Решение 1. №137 (с. 296)
 
                                                                                                                        Решение 3. №137 (с. 296)
 
                                                                                                                        Решение 5. №137 (с. 296)
Для того чтобы два уравнения имели общий корень, необходимо, чтобы существовало такое число $x_0$, которое является решением обоих уравнений. Мы можем найти это значение $x_0$ и параметр $a$, решив систему уравнений.
а) $x^2 - ax = 0$ и $x^2 - x - 3a = 0$
Решим первое уравнение:
$x^2 - ax = 0$
$x(x - a) = 0$
Корни первого уравнения: $x_1 = 0$ и $x_2 = a$.
Рассмотрим два случая.
Случай 1: Общий корень равен $0$.
Подставим $x=0$ во второе уравнение:
$0^2 - 0 - 3a = 0$
$-3a = 0$
$a = 0$
При $a=0$ уравнения принимают вид $x^2=0$ (корень $x=0$) и $x^2-x=0$ (корни $x=0, x=1$). У них есть общий корень $x=0$. Следовательно, $a=0$ является решением.
Случай 2: Общий корень равен $a$.
Подставим $x=a$ во второе уравнение:
$a^2 - a - 3a = 0$
$a^2 - 4a = 0$
$a(a - 4) = 0$
Отсюда $a=0$ (этот случай мы уже рассмотрели) или $a=4$.
Проверим $a=4$. Первое уравнение: $x^2 - 4x = 0$, корни $x=0, x=4$. Второе уравнение: $x^2 - x - 3(4) = 0 \Rightarrow x^2 - x - 12 = 0$. Корни этого уравнения $(x-4)(x+3)=0$, то есть $x=4$ и $x=-3$. Общий корень $x=4$. Следовательно, $a=4$ также является решением.
Ответ: $a=0$ или $a=4$.
б) $x^2 - (a - 1)x - 3 = 0$ и $4x^2 - (4a + 3)x + 9 = 0$
Пусть $x_0$ — общий корень. Тогда верна система:
$\begin{cases} x_0^2 - (a - 1)x_0 - 3 = 0 \\ 4x_0^2 - (4a + 3)x_0 + 9 = 0 \end{cases}$
Умножим первое уравнение на 4, чтобы приравнять коэффициенты при $x_0^2$:
$4x_0^2 - 4(a - 1)x_0 - 12 = 0$
$4x_0^2 - (4a - 4)x_0 - 12 = 0$
Вычтем это уравнение из второго уравнения системы:
$(4x_0^2 - (4a + 3)x_0 + 9) - (4x_0^2 - (4a - 4)x_0 - 12) = 0$
$-(4a + 3)x_0 + (4a - 4)x_0 + 9 + 12 = 0$
$(-4a - 3 + 4a - 4)x_0 + 21 = 0$
$-7x_0 + 21 = 0$
$7x_0 = 21 \Rightarrow x_0 = 3$
Таким образом, общий корень равен 3. Подставим это значение в первое исходное уравнение, чтобы найти $a$:
$3^2 - (a - 1) \cdot 3 - 3 = 0$
$9 - 3a + 3 - 3 = 0$
$9 - 3a = 0$
$3a = 9 \Rightarrow a = 3$
Ответ: $a=3$.
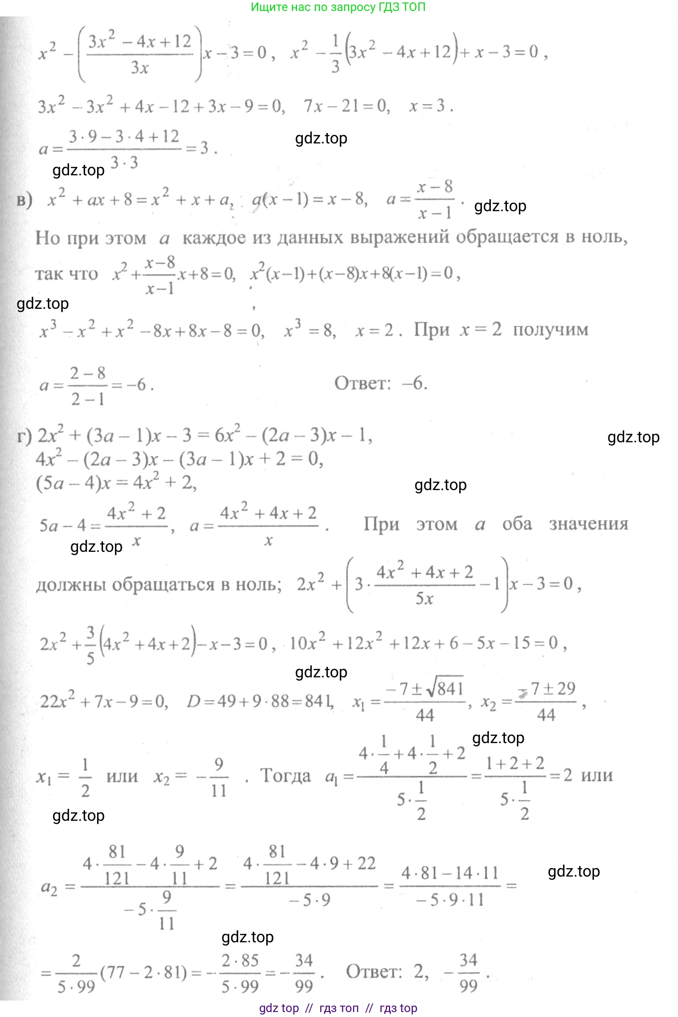
в) $x^2 + ax + 8 = 0$ и $x^2 + x + a = 0$
Пусть $x_0$ — общий корень. Тогда:
$\begin{cases} x_0^2 + ax_0 + 8 = 0 \\ x_0^2 + x_0 + a = 0 \end{cases}$
Вычтем второе уравнение из первого:
$(x_0^2 + ax_0 + 8) - (x_0^2 + x_0 + a) = 0$
$ax_0 - x_0 + 8 - a = 0$
$x_0(a - 1) = a - 8$
Если $a=1$, то получаем $0 = -7$, что неверно. Значит, $a \neq 1$.
Выразим $x_0$: $x_0 = \frac{a - 8}{a - 1}$.
Подставим это выражение во второе исходное уравнение:
$(\frac{a - 8}{a - 1})^2 + \frac{a - 8}{a - 1} + a = 0$
Умножим обе части на $(a-1)^2 \neq 0$:
$(a - 8)^2 + (a - 8)(a - 1) + a(a - 1)^2 = 0$
$(a^2 - 16a + 64) + (a^2 - 9a + 8) + a(a^2 - 2a + 1) = 0$
$a^2 - 16a + 64 + a^2 - 9a + 8 + a^3 - 2a^2 + a = 0$
$a^3 - 24a + 72 = 0$
Подбором находим, что $a = -6$ является корнем: $(-6)^3 - 24(-6) + 72 = -216 + 144 + 72 = 0$.
Разделим многочлен $a^3 - 24a + 72$ на $(a+6)$:
$(a^3 - 24a + 72) \div (a+6) = a^2 - 6a + 12$.
Получаем уравнение $(a+6)(a^2 - 6a + 12) = 0$.
Квадратное уравнение $a^2 - 6a + 12 = 0$ не имеет действительных корней, так как его дискриминант $D = (-6)^2 - 4 \cdot 1 \cdot 12 = 36 - 48 = -12 < 0$.
Следовательно, единственное решение — $a = -6$.
Ответ: $a=-6$.
г) $2x^2 + (3a - 1)x - 3 = 0$ и $6x^2 - (2a - 3)x - 1 = 0$
Пусть $x_0$ — общий корень.
$\begin{cases} 2x_0^2 + (3a - 1)x_0 - 3 = 0 \\ 6x_0^2 - (2a - 3)x_0 - 1 = 0 \end{cases}$
Умножим первое уравнение на 3:
$6x_0^2 + 3(3a - 1)x_0 - 9 = 0 \Rightarrow 6x_0^2 + (9a - 3)x_0 - 9 = 0$
Вычтем из него второе уравнение системы:
$(6x_0^2 + (9a - 3)x_0 - 9) - (6x_0^2 - (2a - 3)x_0 - 1) = 0$
$(9a - 3 + 2a - 3)x_0 - 9 + 1 = 0$
$(11a - 6)x_0 - 8 = 0$
Если $11a-6=0$, то $-8=0$, что невозможно. Значит, $11a-6 \neq 0$ и $x_0 = \frac{8}{11a - 6}$.
Подставим это выражение в первое исходное уравнение:
$2(\frac{8}{11a - 6})^2 + (3a - 1)(\frac{8}{11a - 6}) - 3 = 0$
Умножим обе части на $(11a-6)^2 \neq 0$:
$2 \cdot 8^2 + 8(3a - 1)(11a - 6) - 3(11a - 6)^2 = 0$
$128 + 8(33a^2 - 18a - 11a + 6) - 3(121a^2 - 132a + 36) = 0$
$128 + 8(33a^2 - 29a + 6) - 363a^2 + 396a - 108 = 0$
$128 + 264a^2 - 232a + 48 - 363a^2 + 396a - 108 = 0$
$-99a^2 + 164a + 68 = 0$
$99a^2 - 164a - 68 = 0$
Решим это квадратное уравнение относительно $a$:
$D = (-164)^2 - 4(99)(-68) = 26896 + 26928 = 53824 = 232^2$
$a = \frac{164 \pm 232}{2 \cdot 99} = \frac{164 \pm 232}{198}$
$a_1 = \frac{164 + 232}{198} = \frac{396}{198} = 2$
$a_2 = \frac{164 - 232}{198} = \frac{-68}{198} = -\frac{34}{99}$
Ответ: $a=2$ или $a=-\frac{34}{99}$.
Другие задания:
Помогло решение? Оставьте отзыв в комментариях ниже.
Присоединяйтесь к Телеграм-группе @top_gdz
ПрисоединитьсяМы подготовили для вас ответ c подробным объяснением домашего задания по алгебре за 10-11 класс, для упражнения номер 137 расположенного на странице 296 к учебнику 2008 года издания для учащихся школ и гимназий.
Теперь на нашем сайте ГДЗ.ТОП вы всегда легко и бесплатно найдёте условие с правильным ответом на вопрос «Как решить ДЗ» и «Как сделать» задание по алгебре к упражнению №137 (с. 296), авторов: Колмогоров (Андрей Николаевич), Абрамов (Александр Михайлович), Дудницын (Юрий Павлович), учебного пособия издательства Просвещение.
 
                     
                     
                     
                     
                     
                     
                     
                     
                     
                     
                     
                     
                     
                     
                     
                     
                     
                     
                    