Номер 148, страница 297 - гдз по алгебре 10-11 класс учебник Колмогоров, Абрамов
 
                                                Авторы: Колмогоров А. Н., Абрамов А. М., Дудницын Ю. П.
Тип: Учебник
Издательство: Просвещение
Год издания: 2008 - 2025
Цвет обложки: зелёный, чёрный
ISBN: 978-5-09-019513-3
Рекомендовано Министерством образования и науки Российской Федерации
Алгебра и начала математического анализа
Популярные ГДЗ в 10 классе
Глава 5. Задачи на повторение. Параграф 4. Уравнения, неравенства, системы уравнений и неравенств - номер 148, страница 297.
№148 (с. 297)
Условие. №148 (с. 297)
скриншот условия
 
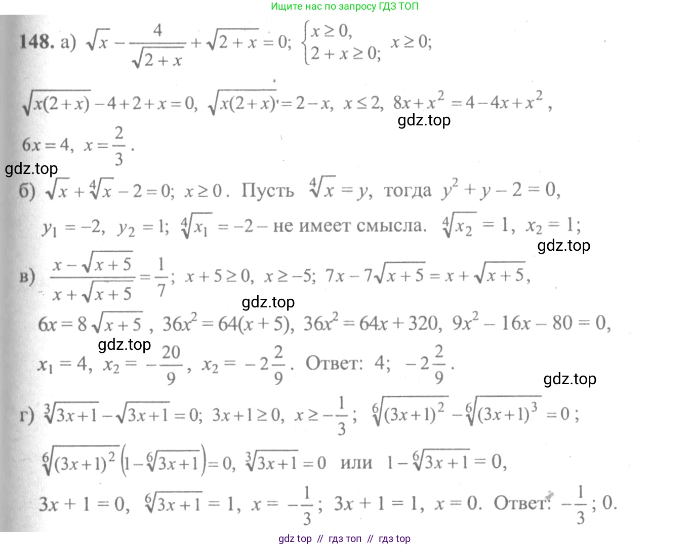
                                                                                                                                        148. а) $ \sqrt{x} - \frac{4}{\sqrt{2+x}} + \sqrt{2+x} = 0; $
б) $ \sqrt{x} + \sqrt[4]{x} - 2 = 0; $
в) $ \frac{x-\sqrt{x+5}}{x+\sqrt{x+5}} = \frac{1}{7}; $
г) $ \sqrt[3]{3x+1} - \sqrt{3x+1} = 0. $
Решение 1. №148 (с. 297)
 
                                                                                                                        Решение 3. №148 (с. 297)
 
                                                                            
                                                                                                         
                                                                                                                        Решение 5. №148 (с. 297)
а)
Исходное уравнение: $\sqrt{x} - \frac{4}{\sqrt{2+x}} + \sqrt{2+x} = 0$.
1. Определим область допустимых значений (ОДЗ).
Подкоренное выражение $\sqrt{x}$ требует, чтобы $x \ge 0$.
Выражение под корнем в знаменателе $\sqrt{2+x}$ требует, чтобы $2+x > 0$, то есть $x > -2$.
Объединяя эти два условия, получаем ОДЗ: $x \ge 0$.
2. Преобразуем уравнение. Сложим второй и третий члены, приведя их к общему знаменателю:
$\sqrt{x} + \frac{-4 + (\sqrt{2+x})^2}{\sqrt{2+x}} = 0$
$\sqrt{x} + \frac{-4 + 2+x}{\sqrt{2+x}} = 0$
$\sqrt{x} + \frac{x-2}{\sqrt{2+x}} = 0$
3. Умножим обе части уравнения на $\sqrt{2+x}$, так как в ОДЗ это выражение строго больше нуля:
$\sqrt{x}\sqrt{2+x} + x - 2 = 0$
$\sqrt{x(2+x)} = 2 - x$
4. Для того чтобы можно было возвести обе части уравнения в квадрат, необходимо, чтобы правая часть была неотрицательной (так как значение квадратного корня всегда неотрицательно):
$2-x \ge 0 \Rightarrow x \le 2$.
С учетом ОДЗ ($x \ge 0$), получаем дополнительное ограничение для корней: $0 \le x \le 2$.
5. Возводим обе части уравнения $\sqrt{2x+x^2} = 2 - x$ в квадрат:
$2x + x^2 = (2-x)^2$
$2x + x^2 = 4 - 4x + x^2$
$2x = 4 - 4x$
$6x = 4$
$x = \frac{4}{6} = \frac{2}{3}$
6. Проверяем, удовлетворяет ли найденный корень $x = \frac{2}{3}$ условию $0 \le x \le 2$.
$0 \le \frac{2}{3} \le 2$. Условие выполняется, следовательно, $x = \frac{2}{3}$ является решением уравнения.
Ответ: $x = \frac{2}{3}$.
б)
Исходное уравнение: $\sqrt{x} + \sqrt[4]{x} - 2 = 0$.
1. ОДЗ: подкоренные выражения должны быть неотрицательными, поэтому $x \ge 0$.
2. Сделаем замену переменной, чтобы свести уравнение к квадратному. Пусть $t = \sqrt[4]{x}$.
Поскольку $x \ge 0$, то и $t \ge 0$.
Тогда $\sqrt{x} = (\sqrt[4]{x})^2 = t^2$.
3. Подставляем новую переменную в исходное уравнение:
$t^2 + t - 2 = 0$.
4. Решаем полученное квадратное уравнение. Используя теорему Виета, находим корни:
$t_1 + t_2 = -1$
$t_1 \cdot t_2 = -2$
Отсюда $t_1 = 1$ и $t_2 = -2$.
5. Проверяем найденные корни на соответствие условию $t \ge 0$.
$t_1 = 1$ удовлетворяет условию.
$t_2 = -2$ не удовлетворяет условию, поэтому это посторонний корень.
6. Выполняем обратную замену для $t=1$:
$\sqrt[4]{x} = 1$
Возводим обе части в четвертую степень:
$x = 1^4 = 1$.
7. Корень $x=1$ удовлетворяет ОДЗ ($1 \ge 0$).
Ответ: $x = 1$.
в)
Исходное уравнение: $\frac{x-\sqrt{x+5}}{x+\sqrt{x+5}} = \frac{1}{7}$.
1. ОДЗ:
Подкоренное выражение должно быть неотрицательным: $x+5 \ge 0 \Rightarrow x \ge -5$.
Знаменатель не должен быть равен нулю: $x+\sqrt{x+5} \neq 0$.
2. Используем основное свойство пропорции (перекрестное умножение):
$7(x-\sqrt{x+5}) = 1(x+\sqrt{x+5})$
$7x - 7\sqrt{x+5} = x + \sqrt{x+5}$
3. Уединим радикал в одной части уравнения:
$7x - x = \sqrt{x+5} + 7\sqrt{x+5}$
$6x = 8\sqrt{x+5}$
$3x = 4\sqrt{x+5}$
4. Правая часть уравнения, $4\sqrt{x+5}$, неотрицательна. Следовательно, левая часть также должна быть неотрицательной:
$3x \ge 0 \Rightarrow x \ge 0$.
Объединяя с ОДЗ ($x \ge -5$), получаем, что решение должно удовлетворять условию $x \ge 0$.
5. Возведем обе части уравнения $3x = 4\sqrt{x+5}$ в квадрат:
$(3x)^2 = (4\sqrt{x+5})^2$
$9x^2 = 16(x+5)$
$9x^2 = 16x + 80$
$9x^2 - 16x - 80 = 0$
6. Решим полученное квадратное уравнение с помощью дискриминанта:
$D = b^2 - 4ac = (-16)^2 - 4 \cdot 9 \cdot (-80) = 256 + 2880 = 3136$.
$\sqrt{D} = \sqrt{3136} = 56$.
$x_1 = \frac{-b + \sqrt{D}}{2a} = \frac{16 + 56}{2 \cdot 9} = \frac{72}{18} = 4$.
$x_2 = \frac{-b - \sqrt{D}}{2a} = \frac{16 - 56}{2 \cdot 9} = \frac{-40}{18} = -\frac{20}{9}$.
7. Проверяем корни на соответствие условию $x \ge 0$.
$x_1 = 4$ удовлетворяет условию.
$x_2 = -20/9$ не удовлетворяет условию, значит, это посторонний корень.
8. Убедимся, что при $x=4$ знаменатель исходной дроби не равен нулю:
$4+\sqrt{4+5} = 4+\sqrt{9} = 4+3 = 7 \neq 0$. Условие выполняется.
Ответ: $x = 4$.
г)
Исходное уравнение: $\sqrt[3]{3x+1} - \sqrt{3x+1} = 0$.
1. ОДЗ: Для кубического корня ограничений на подкоренное выражение нет.
Для квадратного корня выражение должно быть неотрицательным: $3x+1 \ge 0 \Rightarrow 3x \ge -1 \Rightarrow x \ge -\frac{1}{3}$.
Итоговая ОДЗ: $x \ge -\frac{1}{3}$.
2. Перенесем один из членов в правую часть уравнения:
$\sqrt[3]{3x+1} = \sqrt{3x+1}$.
3. Введем замену переменной. Пусть $y = 3x+1$. С учетом ОДЗ, имеем $y \ge 0$.
Уравнение примет вид: $\sqrt[3]{y} = \sqrt{y}$.
4. Чтобы избавиться от корней, возведем обе части уравнения в 6-ю степень (наименьшее общее кратное показателей корней 2 и 3):
$(\sqrt[3]{y})^6 = (\sqrt{y})^6$
$(y^{1/3})^6 = (y^{1/2})^6$
$y^2 = y^3$
5. Решим полученное уравнение для $y$:
$y^3 - y^2 = 0$
$y^2(y-1) = 0$
Отсюда получаем два решения: $y=0$ или $y-1=0 \Rightarrow y=1$.
Оба значения ($y=0$ и $y=1$) удовлетворяют условию $y \ge 0$.
6. Выполним обратную замену для каждого значения $y$:
Если $y=0$, то $3x+1 = 0 \Rightarrow 3x = -1 \Rightarrow x = -\frac{1}{3}$.
Если $y=1$, то $3x+1 = 1 \Rightarrow 3x = 0 \Rightarrow x = 0$.
7. Оба найденных корня, $x = -1/3$ и $x = 0$, принадлежат ОДЗ ($x \ge -1/3$).
Ответ: $x_1 = -\frac{1}{3}, x_2 = 0$.
Другие задания:
Помогло решение? Оставьте отзыв в комментариях ниже.
Присоединяйтесь к Телеграм-группе @top_gdz
ПрисоединитьсяМы подготовили для вас ответ c подробным объяснением домашего задания по алгебре за 10-11 класс, для упражнения номер 148 расположенного на странице 297 к учебнику 2008 года издания для учащихся школ и гимназий.
Теперь на нашем сайте ГДЗ.ТОП вы всегда легко и бесплатно найдёте условие с правильным ответом на вопрос «Как решить ДЗ» и «Как сделать» задание по алгебре к упражнению №148 (с. 297), авторов: Колмогоров (Андрей Николаевич), Абрамов (Александр Михайлович), Дудницын (Юрий Павлович), учебного пособия издательства Просвещение.
 
                     
                     
                     
                     
                     
                     
                     
                     
                     
                     
                     
                     
                     
                     
                     
                     
                     
                     
                    