Номер 175, страница 300 - гдз по алгебре 10-11 класс учебник Колмогоров, Абрамов
 
                                                Авторы: Колмогоров А. Н., Абрамов А. М., Дудницын Ю. П.
Тип: Учебник
Издательство: Просвещение
Год издания: 2008 - 2025
Цвет обложки: зелёный, чёрный
ISBN: 978-5-09-019513-3
Рекомендовано Министерством образования и науки Российской Федерации
Алгебра и начала математического анализа
Популярные ГДЗ в 10 классе
Глава 5. Задачи на повторение. Параграф 4. Уравнения, неравенства, системы уравнений и неравенств - номер 175, страница 300.
№175 (с. 300)
Условие. №175 (с. 300)
скриншот условия
 
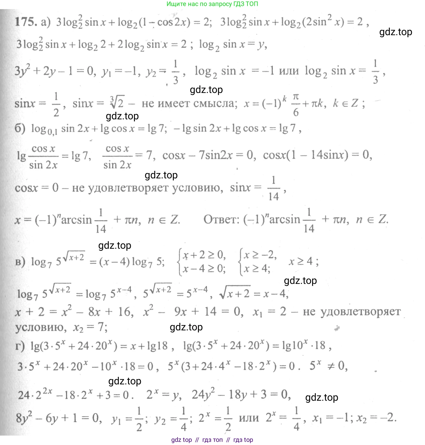
                                                                                                                                        175. a) $3 \log_2^2 \sin x + \log_2 (1 - \cos 2x) = 2;$
б) $\log_{0,1} \sin 2x + \lg \cos x = \lg 7;$
в) $\log_7 5^{\sqrt{x+2}} = (x-4) \log_7 5;$
г) $\lg (3 \cdot 5^x + 24 \cdot 20^x) = x + \lg 18.$
Решение 1. №175 (с. 300)
 
                                                                                                                        Решение 3. №175 (с. 300)
 
                                                                                                                        Решение 5. №175 (с. 300)
а) $3 \log_2^2 \sin x + \log_2 (1 - \cos 2x) = 2$
Найдем область допустимых значений (ОДЗ). Аргументы логарифмов должны быть строго положительны:
1) $\sin x > 0$
2) $1 - \cos 2x > 0$
Используя формулу косинуса двойного угла $ \cos 2x = 1 - 2 \sin^2 x $, преобразуем второе неравенство:
$1 - (1 - 2 \sin^2 x) > 0 \implies 2 \sin^2 x > 0 \implies \sin x \neq 0$.
Объединяя условия $\sin x > 0$ и $\sin x \neq 0$, получаем ОДЗ: $\sin x > 0$. Это соответствует интервалам $x \in (2\pi n, \pi + 2\pi n), n \in \mathbb{Z}$.
Преобразуем уравнение, используя тригонометрическую формулу $1 - \cos 2x = 2 \sin^2 x$:
$3 \log_2^2 \sin x + \log_2 (2 \sin^2 x) = 2$
Используем свойство логарифма произведения $\log_a(bc) = \log_a b + \log_a c$ и свойство логарифма степени $\log_a(b^k) = k \log_a b$:
$3 \log_2^2 \sin x + \log_2 2 + \log_2 (\sin^2 x) = 2$
$3 \log_2^2 \sin x + 1 + 2 \log_2 |\sin x| = 2$
Так как по ОДЗ $\sin x > 0$, то $|\sin x| = \sin x$.
$3 \log_2^2 \sin x + 2 \log_2 \sin x + 1 - 2 = 0$
$3 \log_2^2 \sin x + 2 \log_2 \sin x - 1 = 0$
Сделаем замену переменной. Пусть $t = \log_2 \sin x$. Уравнение принимает вид квадратного:
$3t^2 + 2t - 1 = 0$
Решаем его через дискриминант: $D = b^2 - 4ac = 2^2 - 4 \cdot 3 \cdot (-1) = 4 + 12 = 16$.
$t_1 = \frac{-2 - \sqrt{16}}{2 \cdot 3} = \frac{-2 - 4}{6} = -1$
$t_2 = \frac{-2 + \sqrt{16}}{2 \cdot 3} = \frac{2}{6} = \frac{1}{3}$
Выполняем обратную замену:
1) $\log_2 \sin x = -1 \implies \sin x = 2^{-1} = \frac{1}{2}$. Это значение удовлетворяет ОДЗ ($\frac{1}{2} > 0$).
Решениями уравнения $\sin x = \frac{1}{2}$ являются $x = \frac{\pi}{6} + 2\pi n$ и $x = \frac{5\pi}{6} + 2\pi n$, где $n \in \mathbb{Z}$.
2) $\log_2 \sin x = \frac{1}{3} \implies \sin x = 2^{1/3} = \sqrt[3]{2}$. Так как $\sqrt[3]{2} \approx 1.26 > 1$, это уравнение не имеет решений, поскольку область значений синуса $[-1, 1]$.
Ответ: $x = \frac{\pi}{6} + 2\pi n, x = \frac{5\pi}{6} + 2\pi n, n \in \mathbb{Z}$.
б) $\log_{0,1} \sin 2x + \lg \cos x = \lg 7$
ОДЗ:
1) $\sin 2x > 0$
2) $\cos x > 0$
Из $\sin 2x = 2 \sin x \cos x > 0$ и $\cos x > 0$ следует, что $\sin x > 0$.
Таким образом, ОДЗ определяется системой $\begin{cases} \sin x > 0 \\ \cos x > 0 \end{cases}$, что соответствует первой четверти координатной плоскости: $x \in (2\pi k, \frac{\pi}{2} + 2\pi k), k \in \mathbb{Z}$.
Преобразуем уравнение, используя свойство логарифма $\log_{a^n} b = \frac{1}{n} \log_a b$ и то, что $\lg$ - это логарифм по основанию 10:
$\log_{10^{-1}} \sin 2x + \lg \cos x = \lg 7$
$-\lg \sin 2x + \lg \cos x = \lg 7$
Используя свойство разности логарифмов $\log_a b - \log_a c = \log_a \frac{b}{c}$:
$\lg \left(\frac{\cos x}{\sin 2x}\right) = \lg 7$
Приравниваем аргументы логарифмов:
$\frac{\cos x}{\sin 2x} = 7$
Используем формулу синуса двойного угла $\sin 2x = 2 \sin x \cos x$:
$\frac{\cos x}{2 \sin x \cos x} = 7$
Так как по ОДЗ $\cos x > 0$, можно сократить на $\cos x$:
$\frac{1}{2 \sin x} = 7$
$2 \sin x = \frac{1}{7} \implies \sin x = \frac{1}{14}$.
Найденное значение $\sin x = \frac{1}{14}$ удовлетворяет условию ОДЗ $\sin x > 0$. Условие $\cos x > 0$ также выполняется, так как если $\sin x = \frac{1}{14}$, то $x$ может находиться в первой или второй четверти, но ОДЗ требует, чтобы $x$ был в первой четверти.
Решение уравнения $\sin x = \frac{1}{14}$ с учетом ОДЗ: $x = \arcsin\left(\frac{1}{14}\right) + 2\pi k$, где $k \in \mathbb{Z}$.
Ответ: $x = \arcsin\left(\frac{1}{14}\right) + 2\pi k, k \in \mathbb{Z}$.
в) $\log_7 5^{\sqrt{x+2}} = (x-4) \log_7 5$
ОДЗ: выражение под корнем должно быть неотрицательным: $x+2 \ge 0 \implies x \ge -2$.
Используем свойство логарифма степени $\log_a(b^c) = c \log_a b$ для левой части уравнения:
$\sqrt{x+2} \cdot \log_7 5 = (x-4) \log_7 5$
Так как $\log_7 5 \neq 0$, разделим обе части уравнения на $\log_7 5$:
$\sqrt{x+2} = x-4$
Это иррациональное уравнение. Поскольку левая часть (арифметический квадратный корень) неотрицательна, правая часть также должна быть неотрицательной:
$x-4 \ge 0 \implies x \ge 4$.
Это условие является более строгим, чем ОДЗ ($x \ge -2$), поэтому далее работаем с ним.
Возведем обе части уравнения в квадрат:
$(\sqrt{x+2})^2 = (x-4)^2$
$x+2 = x^2 - 8x + 16$
$x^2 - 9x + 14 = 0$
Решим полученное квадратное уравнение. По теореме Виета, сумма корней равна 9, а произведение равно 14. Корни: $x_1 = 2$, $x_2 = 7$.
Проверим корни на соответствие условию $x \ge 4$:
- $x_1 = 2$ не удовлетворяет условию $2 \ge 4$, следовательно, это посторонний корень.
- $x_2 = 7$ удовлетворяет условию $7 \ge 4$, следовательно, это решение уравнения.
Ответ: $x=7$.
г) $\lg (3 \cdot 5^x + 24 \cdot 20^x) = x + \lg 18$
ОДЗ: аргумент логарифма должен быть положителен: $3 \cdot 5^x + 24 \cdot 20^x > 0$.
Так как $5^x > 0$ и $20^x > 0$ для любого действительного $x$, их сумма с положительными коэффициентами всегда положительна. Следовательно, ОДЗ: $x \in \mathbb{R}$.
Преобразуем правую часть уравнения, представив $x$ в виде логарифма: $x = x \cdot \lg 10 = \lg(10^x)$.
$\lg (3 \cdot 5^x + 24 \cdot 20^x) = \lg(10^x) + \lg 18$
Используем свойство суммы логарифмов $\log_a b + \log_a c = \log_a (bc)$:
$\lg (3 \cdot 5^x + 24 \cdot 20^x) = \lg (18 \cdot 10^x)$
Приравниваем аргументы логарифмов:
$3 \cdot 5^x + 24 \cdot 20^x = 18 \cdot 10^x$
Представим $20^x$ и $10^x$ через степени с основаниями 2 и 5:
$20^x = (4 \cdot 5)^x = 4^x \cdot 5^x = (2^2)^x \cdot 5^x = 2^{2x} \cdot 5^x$
$10^x = (2 \cdot 5)^x = 2^x \cdot 5^x$
Подставим в уравнение:
$3 \cdot 5^x + 24 \cdot (2^{2x} \cdot 5^x) = 18 \cdot (2^x \cdot 5^x)$
Разделим обе части на $5^x$ (это возможно, так как $5^x > 0$):
$3 + 24 \cdot 2^{2x} = 18 \cdot 2^x$
Сделаем замену $y = 2^x$. Так как $x \in \mathbb{R}$, то $y > 0$.
$3 + 24y^2 = 18y$
$24y^2 - 18y + 3 = 0$
Разделим уравнение на 3 для упрощения:
$8y^2 - 6y + 1 = 0$
Решим квадратное уравнение: $D = (-6)^2 - 4 \cdot 8 \cdot 1 = 36 - 32 = 4$.
$y_1 = \frac{6 - \sqrt{4}}{2 \cdot 8} = \frac{6 - 2}{16} = \frac{4}{16} = \frac{1}{4}$
$y_2 = \frac{6 + \sqrt{4}}{2 \cdot 8} = \frac{6 + 2}{16} = \frac{8}{16} = \frac{1}{2}$
Оба корня положительны, поэтому подходят.
Выполним обратную замену:
1) $2^x = y_1 = \frac{1}{4} = 2^{-2} \implies x = -2$
2) $2^x = y_2 = \frac{1}{2} = 2^{-1} \implies x = -1$
Ответ: $x=-2, x=-1$.
Другие задания:
Помогло решение? Оставьте отзыв в комментариях ниже.
Присоединяйтесь к Телеграм-группе @top_gdz
ПрисоединитьсяМы подготовили для вас ответ c подробным объяснением домашего задания по алгебре за 10-11 класс, для упражнения номер 175 расположенного на странице 300 к учебнику 2008 года издания для учащихся школ и гимназий.
Теперь на нашем сайте ГДЗ.ТОП вы всегда легко и бесплатно найдёте условие с правильным ответом на вопрос «Как решить ДЗ» и «Как сделать» задание по алгебре к упражнению №175 (с. 300), авторов: Колмогоров (Андрей Николаевич), Абрамов (Александр Михайлович), Дудницын (Юрий Павлович), учебного пособия издательства Просвещение.
 
                     
                     
                     
                     
                     
                     
                     
                     
                     
                     
                     
                     
                     
                     
                     
                     
                     
                     
                    