Номер 179, страница 300 - гдз по алгебре 10-11 класс учебник Колмогоров, Абрамов
 
                                                Авторы: Колмогоров А. Н., Абрамов А. М., Дудницын Ю. П.
Тип: Учебник
Издательство: Просвещение
Год издания: 2008 - 2025
Цвет обложки: зелёный, чёрный
ISBN: 978-5-09-019513-3
Рекомендовано Министерством образования и науки Российской Федерации
Алгебра и начала математического анализа
Популярные ГДЗ в 10 классе
Глава 5. Задачи на повторение. Параграф 4. Уравнения, неравенства, системы уравнений и неравенств - номер 179, страница 300.
№179 (с. 300)
Условие. №179 (с. 300)
скриншот условия
 
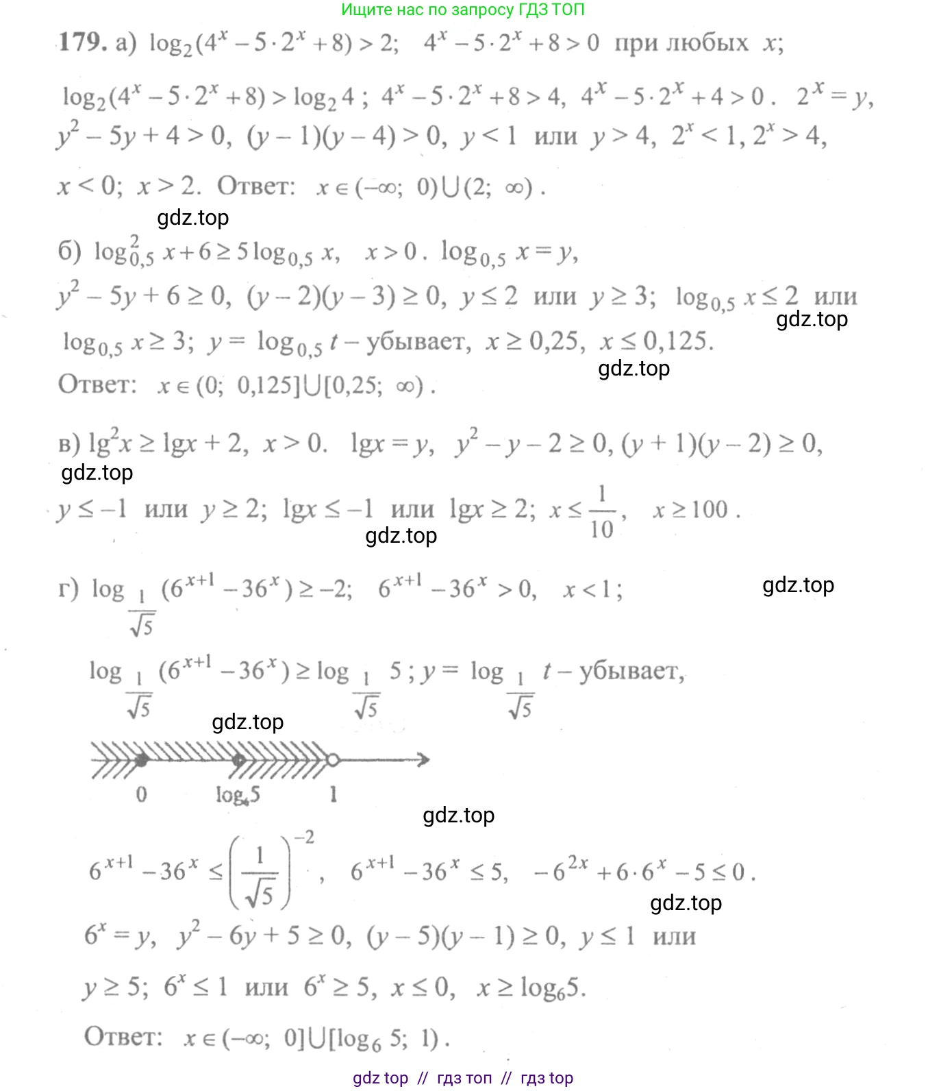
                                                                                                                                        179. a) $\log_2 (4^x - 5 \cdot 2^x + 8) > 2$;
Б) $\lg^2 x \ge \lg x + 2$;
б) $\log_{0.5}^2 x + 6 \ge 5 \log_{0.5} x$;
г) $\log_{\frac{1}{\sqrt{5}}} (6^{x+1} - 36^x) \ge -2$.
Решение 1. №179 (с. 300)
 
                                                                                                                        Решение 5. №179 (с. 300)
Решим логарифмическое неравенство $\log_2(4^x - 5 \cdot 2^x + 8) > 2$.
Сначала найдем область допустимых значений (ОДЗ). Аргумент логарифма должен быть строго больше нуля:
$4^x - 5 \cdot 2^x + 8 > 0$
Сделаем замену переменной $t = 2^x$. Поскольку $2^x$ всегда положительно, то $t > 0$. Неравенство принимает вид:
$t^2 - 5t + 8 > 0$
Это квадратичная функция относительно $t$. Найдем ее дискриминант: $D = b^2 - 4ac = (-5)^2 - 4 \cdot 1 \cdot 8 = 25 - 32 = -7$.
Так как дискриминант $D < 0$ и старший коэффициент ($a=1$) положителен, парабола $y = t^2 - 5t + 8$ полностью находится выше оси абсцисс. Это значит, что выражение $t^2 - 5t + 8$ положительно при любых значениях $t$. Следовательно, ОДЗ для $x$ - все действительные числа, $x \in (-\infty; +\infty)$.
Теперь решим исходное неравенство. Так как основание логарифма $2 > 1$, знак неравенства при потенцировании сохраняется:
$4^x - 5 \cdot 2^x + 8 > 2^2$
$4^x - 5 \cdot 2^x + 8 > 4$
$4^x - 5 \cdot 2^x + 4 > 0$
Снова используем замену $t = 2^x$ ($t > 0$):
$t^2 - 5t + 4 > 0$
Найдем корни квадратного уравнения $t^2 - 5t + 4 = 0$. По теореме Виета, корни $t_1 = 1$ и $t_2 = 4$.
Парабола $y = t^2 - 5t + 4$ имеет ветви, направленные вверх, поэтому неравенство выполняется, когда $t$ находится вне интервала между корнями, то есть $t < 1$ или $t > 4$.
Возвращаемся к переменной $x$:
1) $t < 1 \implies 2^x < 1 \implies 2^x < 2^0 \implies x < 0$.
2) $t > 4 \implies 2^x > 4 \implies 2^x > 2^2 \implies x > 2$.
Объединяем полученные решения. ОДЗ не накладывает дополнительных ограничений.
Ответ: $(-\infty; 0) \cup (2; +\infty)$.
б)Решим неравенство $\log_{0.5}^2 x + 6 \ge 5 \log_{0.5} x$.
ОДЗ: $x > 0$.
Перенесем все члены в левую часть и сделаем замену $t = \log_{0.5} x$:
$t^2 - 5t + 6 \ge 0$
Найдем корни квадратного уравнения $t^2 - 5t + 6 = 0$. По теореме Виета, $t_1 = 2$, $t_2 = 3$.
Парабола $y = t^2 - 5t + 6$ ветвями вверх, значит, неравенство выполняется при $t \le 2$ или $t \ge 3$.
Выполним обратную замену:
1) $\log_{0.5} x \le 2$. Так как основание логарифма $0.5 < 1$, знак неравенства меняется на противоположный:
$x \ge (0.5)^2 \implies x \ge \frac{1}{4}$.
2) $\log_{0.5} x \ge 3$. Снова меняем знак неравенства:
$x \le (0.5)^3 \implies x \le \frac{1}{8}$.
Учитывая ОДЗ ($x > 0$), получаем два интервала: $x \ge \frac{1}{4}$ и $0 < x \le \frac{1}{8}$.
Объединяем эти решения.
Ответ: $(0; \frac{1}{8}] \cup [\frac{1}{4}; +\infty)$.
в)Решим неравенство $\lg^2 x \ge \lg x + 2$.
ОДЗ: $x > 0$.
Сделаем замену $t = \lg x$ (десятичный логарифм):
$t^2 \ge t + 2$
$t^2 - t - 2 \ge 0$
Найдем корни уравнения $t^2 - t - 2 = 0$. Дискриминант $D = (-1)^2 - 4 \cdot 1 \cdot (-2) = 9$. Корни $t_{1,2} = \frac{1 \pm \sqrt{9}}{2}$, то есть $t_1 = -1$ и $t_2 = 2$.
Парабола ветвями вверх, поэтому решение неравенства: $t \le -1$ или $t \ge 2$.
Выполним обратную замену:
1) $\lg x \le -1$. Основание логарифма $10 > 1$, знак не меняется:
$x \le 10^{-1} \implies x \le 0.1$.
2) $\lg x \ge 2$. Знак не меняется:
$x \ge 10^2 \implies x \ge 100$.
Учитывая ОДЗ ($x > 0$), получаем $0 < x \le 0.1$ и $x \ge 100$.
Ответ: $(0; 0.1] \cup [100; +\infty)$.
г)Решим неравенство $\log_{\frac{1}{\sqrt{5}}}(6^{x+1} - 36^x) \ge -2$.
Найдем ОДЗ. Аргумент логарифма должен быть положителен:
$6^{x+1} - 36^x > 0$
$6 \cdot 6^x - (6^x)^2 > 0$
Сделаем замену $y = 6^x$, где $y > 0$:
$6y - y^2 > 0 \implies y(6 - y) > 0$.
Так как $y > 0$, это неравенство равносильно $6 - y > 0$, то есть $y < 6$.
Получаем $0 < y < 6$. Возвращаемся к $x$: $0 < 6^x < 6^1$. Так как основание $6 > 1$, получаем $x < 1$. ОДЗ: $x \in (-\infty; 1)$.
Теперь решаем само неравенство. Основание логарифма $\frac{1}{\sqrt{5}} < 1$, поэтому при потенцировании знак неравенства меняется на противоположный:
$6^{x+1} - 36^x \le \left(\frac{1}{\sqrt{5}}\right)^{-2}$
$6 \cdot 6^x - (6^x)^2 \le (\frac{1}{5^{1/2}})^{-2}$
$6 \cdot 6^x - (6^x)^2 \le (5^{-1/2})^{-2}$
$6 \cdot 6^x - (6^x)^2 \le 5$
Снова делаем замену $y = 6^x$:
$6y - y^2 \le 5 \implies y^2 - 6y + 5 \ge 0$.
Найдем корни уравнения $y^2 - 6y + 5 = 0$. По теореме Виета, $y_1 = 1$, $y_2 = 5$.
Парабола ветвями вверх, решение неравенства: $y \le 1$ или $y \ge 5$.
Возвращаемся к $x$:
1) $y \le 1 \implies 6^x \le 1 \implies 6^x \le 6^0 \implies x \le 0$.
2) $y \ge 5 \implies 6^x \ge 5 \implies x \ge \log_6 5$.
Теперь пересечем полученные решения с ОДЗ ($x < 1$).
1) Интервал $x \le 0$ полностью входит в ОДЗ.
2) Для $x \ge \log_6 5$, заметим, что $\log_6 5 < \log_6 6 = 1$. Таким образом, пересечение с ОДЗ дает интервал $[\log_6 5; 1)$.
Объединяем оба случая.
Ответ: $(-\infty; 0] \cup [\log_6 5; 1)$.
Другие задания:
Помогло решение? Оставьте отзыв в комментариях ниже.
Присоединяйтесь к Телеграм-группе @top_gdz
ПрисоединитьсяМы подготовили для вас ответ c подробным объяснением домашего задания по алгебре за 10-11 класс, для упражнения номер 179 расположенного на странице 300 к учебнику 2008 года издания для учащихся школ и гимназий.
Теперь на нашем сайте ГДЗ.ТОП вы всегда легко и бесплатно найдёте условие с правильным ответом на вопрос «Как решить ДЗ» и «Как сделать» задание по алгебре к упражнению №179 (с. 300), авторов: Колмогоров (Андрей Николаевич), Абрамов (Александр Михайлович), Дудницын (Юрий Павлович), учебного пособия издательства Просвещение.
 
                     
                     
                     
                     
                     
                     
                     
                     
                     
                     
                     
                     
                     
                     
                     
                     
                     
                     
                    