Номер 183, страница 301 - гдз по алгебре 10-11 класс учебник Колмогоров, Абрамов
 
                                                Авторы: Колмогоров А. Н., Абрамов А. М., Дудницын Ю. П.
Тип: Учебник
Издательство: Просвещение
Год издания: 2008 - 2025
Цвет обложки: зелёный, чёрный
ISBN: 978-5-09-019513-3
Рекомендовано Министерством образования и науки Российской Федерации
Алгебра и начала математического анализа
Популярные ГДЗ в 10 классе
Глава 5. Задачи на повторение. Параграф 4. Уравнения, неравенства, системы уравнений и неравенств - номер 183, страница 301.
№183 (с. 301)
Условие. №183 (с. 301)
скриншот условия
 
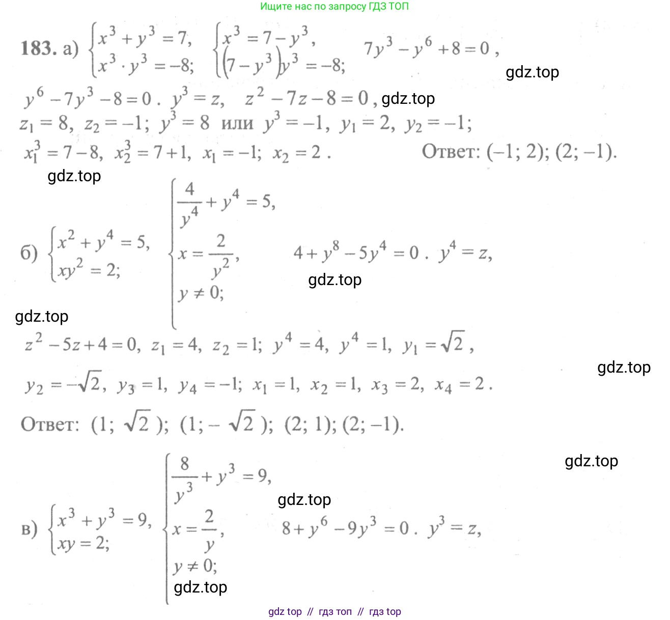
                                                                                                                                        183. a) $\begin{cases} x^3 + y^3 = 7, \\ x^3 y^3 = -8; \end{cases}$
б) $\begin{cases} x^2 + y^4 = 5, \\ xy^2 = 2; \end{cases}$
в) $\begin{cases} x^3 + y^3 = 9, \\ xy = 2; \end{cases}$
г) $\begin{cases} \frac{1}{x} + \frac{1}{y} = 5, \\ \frac{1}{x^2} + \frac{1}{y^2} = 13. \end{cases}$
Решение 1. №183 (с. 301)
 
                                                                                                                        Решение 3. №183 (с. 301)
 
                                                                                                                        Решение 5. №183 (с. 301)
а) $ \begin{cases} x^3 + y^3 = 7, \\ x^3 y^3 = -8 \end{cases} $
Введем новые переменные. Пусть $a = x^3$ и $b = y^3$. Тогда система примет вид:
$ \begin{cases} a + b = 7, \\ ab = -8 \end{cases} $
Согласно обратной теореме Виета, $a$ и $b$ являются корнями квадратного уравнения $t^2 - (a+b)t + ab = 0$, то есть $t^2 - 7t - 8 = 0$.
Решим это уравнение. Дискриминант $D = (-7)^2 - 4 \cdot 1 \cdot (-8) = 49 + 32 = 81 = 9^2$.
Корни уравнения: $t_1 = \frac{7 - 9}{2} = -1$, $t_2 = \frac{7 + 9}{2} = 8$.
Таким образом, мы имеем два случая:
1. $a = -1$ и $b = 8$. Возвращаясь к исходным переменным, получаем: $x^3 = -1 \Rightarrow x = -1$ и $y^3 = 8 \Rightarrow y = 2$.
Первое решение: $(-1, 2)$.
2. $a = 8$ и $b = -1$. Возвращаясь к исходным переменным, получаем: $x^3 = 8 \Rightarrow x = 2$ и $y^3 = -1 \Rightarrow y = -1$.
Второе решение: $(2, -1)$.
Ответ: $(-1, 2), (2, -1)$.
б) $ \begin{cases} x^2 + y^4 = 5, \\ xy^2 = 2 \end{cases} $
Из второго уравнения выразим $x = \frac{2}{y^2}$ (заметим, что $y \neq 0$). Подставим это выражение в первое уравнение:
$(\frac{2}{y^2})^2 + y^4 = 5$
$\frac{4}{y^4} + y^4 = 5$
Введем замену $z = y^4$. Так как $y$ - вещественное число и $y \neq 0$, то $z>0$. Уравнение примет вид:
$\frac{4}{z} + z = 5$
Умножим обе части на $z$ (так как $z \neq 0$):
$4 + z^2 = 5z$
$z^2 - 5z + 4 = 0$
По теореме Виета, корни уравнения $z_1 = 1$, $z_2 = 4$. Оба корня положительны, поэтому подходят.
Рассмотрим два случая:
1. $z = 1 \Rightarrow y^4 = 1$. Тогда $y^2 = 1$ (так как $y^2 > 0$), откуда $y = \pm 1$.
Если $y=1$, то $x = \frac{2}{1^2} = 2$. Получаем решение $(2, 1)$.
Если $y=-1$, то $x = \frac{2}{(-1)^2} = 2$. Получаем решение $(2, -1)$.
2. $z = 4 \Rightarrow y^4 = 4$. Тогда $y^2 = 2$, откуда $y = \pm \sqrt{2}$.
Если $y=\sqrt{2}$, то $x = \frac{2}{(\sqrt{2})^2} = \frac{2}{2} = 1$. Получаем решение $(1, \sqrt{2})$.
Если $y=-\sqrt{2}$, то $x = \frac{2}{(-\sqrt{2})^2} = \frac{2}{2} = 1$. Получаем решение $(1, -\sqrt{2})$.
Ответ: $(2, 1), (2, -1), (1, \sqrt{2}), (1, -\sqrt{2})$.
в) $ \begin{cases} x^3 + y^3 = 9, \\ xy = 2 \end{cases} $
Воспользуемся формулой суммы кубов: $x^3 + y^3 = (x+y)(x^2 - xy + y^2)$. Преобразуем ее, используя $x^2+y^2 = (x+y)^2 - 2xy$:
$x^3+y^3 = (x+y)((x+y)^2 - 2xy - xy) = (x+y)((x+y)^2 - 3xy)$
Подставим известные значения из системы:
$9 = (x+y)((x+y)^2 - 3 \cdot 2)$
$9 = (x+y)((x+y)^2 - 6)$
Сделаем замену $S = x+y$. Получим кубическое уравнение: $S(S^2-6) = 9$ или $S^3 - 6S - 9 = 0$.
Найдем целые корни среди делителей свободного члена (-9): $\pm1, \pm3, \pm9$.
Проверкой убеждаемся, что $S=3$ является корнем: $3^3 - 6 \cdot 3 - 9 = 27 - 18 - 9 = 0$.
Разделим многочлен $S^3 - 6S - 9$ на $(S-3)$ и получим $(S-3)(S^2+3S+3) = 0$.
Квадратное уравнение $S^2+3S+3=0$ не имеет действительных корней, так как его дискриминант $D=3^2 - 4 \cdot 1 \cdot 3 = 9 - 12 = -3 < 0$.
Следовательно, единственное действительное решение для $S$ - это $S=3$.
Возвращаемся к исходным переменным. Теперь нам нужно решить систему:
$ \begin{cases} x+y=3, \\ xy=2 \end{cases} $
По обратной теореме Виета, $x$ и $y$ являются корнями квадратного уравнения $t^2 - 3t + 2 = 0$.
Корни этого уравнения $t_1=1, t_2=2$.
Значит, решения системы: $(1, 2)$ и $(2, 1)$.
Ответ: $(1, 2), (2, 1)$.
г) $ \begin{cases} \frac{1}{x} + \frac{1}{y} = 5, \\ \frac{1}{x^2} + \frac{1}{y^2} = 13 \end{cases} $
Введем новые переменные: $u = \frac{1}{x}$ и $v = \frac{1}{y}$. Система примет вид:
$ \begin{cases} u+v=5, \\ u^2+v^2=13 \end{cases} $
Возведем первое уравнение в квадрат: $(u+v)^2 = 5^2 \Rightarrow u^2 + 2uv + v^2 = 25$.
Мы знаем из второго уравнения, что $u^2+v^2=13$. Подставим это значение:
$13 + 2uv = 25$
$2uv = 12$
$uv = 6$
Теперь решим систему для $u$ и $v$:
$ \begin{cases} u+v=5, \\ uv=6 \end{cases} $
По обратной теореме Виета, $u$ и $v$ являются корнями квадратного уравнения $t^2 - 5t + 6 = 0$.
Корни этого уравнения $t_1=2, t_2=3$.
Рассмотрим два случая:
1. $u=2, v=3$. Возвращаясь к исходным переменным: $\frac{1}{x}=2 \Rightarrow x=\frac{1}{2}$ и $\frac{1}{y}=3 \Rightarrow y=\frac{1}{3}$.
Первое решение: $(\frac{1}{2}, \frac{1}{3})$.
2. $u=3, v=2$. Возвращаясь к исходным переменным: $\frac{1}{x}=3 \Rightarrow x=\frac{1}{3}$ и $\frac{1}{y}=2 \Rightarrow y=\frac{1}{2}$.
Второе решение: $(\frac{1}{3}, \frac{1}{2})$.
Ответ: $(\frac{1}{2}, \frac{1}{3}), (\frac{1}{3}, \frac{1}{2})$.
Другие задания:
Помогло решение? Оставьте отзыв в комментариях ниже.
Присоединяйтесь к Телеграм-группе @top_gdz
ПрисоединитьсяМы подготовили для вас ответ c подробным объяснением домашего задания по алгебре за 10-11 класс, для упражнения номер 183 расположенного на странице 301 к учебнику 2008 года издания для учащихся школ и гимназий.
Теперь на нашем сайте ГДЗ.ТОП вы всегда легко и бесплатно найдёте условие с правильным ответом на вопрос «Как решить ДЗ» и «Как сделать» задание по алгебре к упражнению №183 (с. 301), авторов: Колмогоров (Андрей Николаевич), Абрамов (Александр Михайлович), Дудницын (Юрий Павлович), учебного пособия издательства Просвещение.
 
                     
                     
                     
                     
                     
                     
                     
                     
                     
                     
                     
                     
                     
                     
                     
                     
                     
                     
                    