Номер 190, страница 302 - гдз по алгебре 10-11 класс учебник Колмогоров, Абрамов
 
                                                Авторы: Колмогоров А. Н., Абрамов А. М., Дудницын Ю. П.
Тип: Учебник
Издательство: Просвещение
Год издания: 2008 - 2025
Цвет обложки: зелёный, чёрный
ISBN: 978-5-09-019513-3
Рекомендовано Министерством образования и науки Российской Федерации
Алгебра и начала математического анализа
Популярные ГДЗ в 10 классе
Глава 5. Задачи на повторение. Параграф 4. Уравнения, неравенства, системы уравнений и неравенств - номер 190, страница 302.
№190 (с. 302)
Условие. №190 (с. 302)
скриншот условия
 
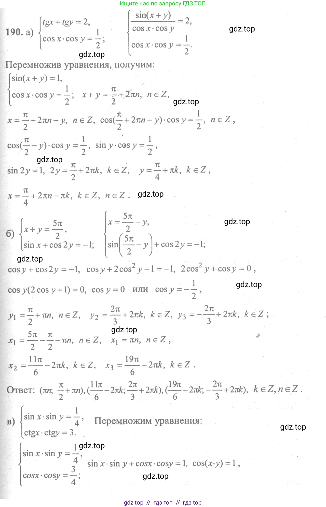
                                                                                                                                        190. а) $\left\{ \begin{array}{l} \operatorname{tg} x + \operatorname{tg} y = 2, \\ \cos x \cos y = \frac{1}{2}; \end{array} \right.$
б) $\left\{ \begin{array}{l} x + y = \frac{5\pi}{2}, \\ \sin x + \cos 2y = -1; \end{array} \right.$
в) $\left\{ \begin{array}{l} \sin x \sin y = \frac{1}{4}, \\ \operatorname{ctg} x \operatorname{ctg} y = 3; \end{array} \right.$
г) $\left\{ \begin{array}{l} \cos 2y + \cos x = 1, \\ x + y = \frac{\pi}{2}. \end{array} \right.$
Решение 1. №190 (с. 302)
 
                                                                                                                        Решение 3. №190 (с. 302)
 
                                                                                                                        Решение 5. №190 (с. 302)
a)
Дана система уравнений: $ \begin{cases} \tg x + \tg y = 2, \\ \cos x \cos y = \frac{1}{2} \end{cases} $
Область допустимых значений: $\cos x \neq 0, \cos y \neq 0$. Второе уравнение системы гарантирует выполнение этого условия. Преобразуем первое уравнение, используя формулу суммы тангенсов: $\tg x + \tg y = \frac{\sin x}{\cos x} + \frac{\sin y}{\cos y} = \frac{\sin x \cos y + \cos x \sin y}{\cos x \cos y} = \frac{\sin(x+y)}{\cos x \cos y}$.
Подставив в это выражение второе уравнение системы, получим: $\frac{\sin(x+y)}{1/2} = 2$, откуда $\sin(x+y) = 1$.
Из $\sin(x+y) = 1$ следует, что $x+y = \frac{\pi}{2} + 2k\pi$, где $k \in \mathbb{Z}$. Теперь воспользуемся формулой косинуса суммы: $\cos(x+y) = \cos x \cos y - \sin x \sin y$. Так как $x+y = \frac{\pi}{2} + 2k\pi$, то $\cos(x+y) = \cos(\frac{\pi}{2} + 2k\pi) = 0$. Подставляем известные значения: $0 = \frac{1}{2} - \sin x \sin y$, откуда $\sin x \sin y = \frac{1}{2}$.
Теперь используем формулу косинуса разности: $\cos(x-y) = \cos x \cos y + \sin x \sin y$. $\cos(x-y) = \frac{1}{2} + \frac{1}{2} = 1$. Отсюда $x-y = 2m\pi$, где $m \in \mathbb{Z}$.
Мы получили систему линейных уравнений относительно $x$ и $y$: $ \begin{cases} x+y = \frac{\pi}{2} + 2k\pi, \\ x-y = 2m\pi \end{cases} $
Складывая уравнения, получаем: $2x = \frac{\pi}{2} + 2k\pi + 2m\pi \implies x = \frac{\pi}{4} + (k+m)\pi$. Вычитая второе уравнение из первого, получаем: $2y = \frac{\pi}{2} + 2k\pi - 2m\pi \implies y = \frac{\pi}{4} + (k-m)\pi$.
Обозначим $n = k+m$ и $p = k-m$. Тогда $n-p = (k+m)-(k-m)=2m$. Так как $2m$ — четное число, то $n$ и $p$ должны иметь одинаковую четность (оба четные или оба нечетные).
Ответ: $x = \frac{\pi}{4} + n\pi, y = \frac{\pi}{4} + p\pi$, где $n, p \in \mathbb{Z}$ и имеют одинаковую четность.
б)
Дана система уравнений: $ \begin{cases} x + y = \frac{5\pi}{2}, \\ \sin x + \cos 2y = -1 \end{cases} $
Из первого уравнения выразим $x$: $x = \frac{5\pi}{2} - y$. Подставим это выражение во второе уравнение: $\sin(\frac{5\pi}{2} - y) + \cos 2y = -1$.
Используем формулу приведения: $\sin(\frac{5\pi}{2} - y) = \sin(2\pi + \frac{\pi}{2} - y) = \sin(\frac{\pi}{2} - y) = \cos y$. Уравнение принимает вид: $\cos y + \cos 2y = -1$.
Применим формулу косинуса двойного угла $\cos 2y = 2\cos^2 y - 1$: $\cos y + (2\cos^2 y - 1) = -1$, $2\cos^2 y + \cos y = 0$, $\cos y (2\cos y + 1) = 0$.
Это уравнение распадается на два случая:
1) $\cos y = 0 \implies y = \frac{\pi}{2} + k\pi$, где $k \in \mathbb{Z}$. Тогда $x = \frac{5\pi}{2} - y = \frac{5\pi}{2} - (\frac{\pi}{2} + k\pi) = 2\pi - k\pi$.
2) $2\cos y + 1 = 0 \implies \cos y = -\frac{1}{2}$. Отсюда $y = \pm \frac{2\pi}{3} + 2k\pi$, где $k \in \mathbb{Z}$. Рассмотрим оба подслучая:
2a) $y = \frac{2\pi}{3} + 2k\pi$. Тогда $x = \frac{5\pi}{2} - y = \frac{5\pi}{2} - (\frac{2\pi}{3} + 2k\pi) = \frac{15\pi - 4\pi}{6} - 2k\pi = \frac{11\pi}{6} - 2k\pi$.
2b) $y = -\frac{2\pi}{3} + 2k\pi$. Тогда $x = \frac{5\pi}{2} - y = \frac{5\pi}{2} - (-\frac{2\pi}{3} + 2k\pi) = \frac{15\pi + 4\pi}{6} - 2k\pi = \frac{19\pi}{6} - 2k\pi$.
Ответ: $(2\pi - k\pi, \frac{\pi}{2} + k\pi)$; $(\frac{11\pi}{6} - 2k\pi, \frac{2\pi}{3} + 2k\pi)$; $(\frac{19\pi}{6} - 2k\pi, -\frac{2\pi}{3} + 2k\pi)$, где $k \in \mathbb{Z}$.
в)
Дана система уравнений: $ \begin{cases} \sin x \sin y = \frac{1}{4}, \\ \operatorname{ctg} x \operatorname{ctg} y = 3 \end{cases} $
Область допустимых значений: $\sin x \neq 0, \sin y \neq 0$. Первое уравнение гарантирует это. Преобразуем второе уравнение: $\operatorname{ctg} x \operatorname{ctg} y = \frac{\cos x}{\sin x} \cdot \frac{\cos y}{\sin y} = \frac{\cos x \cos y}{\sin x \sin y} = 3$.
Подставив в него первое уравнение, получим: $\frac{\cos x \cos y}{1/4} = 3$, откуда $\cos x \cos y = \frac{3}{4}$.
Таким образом, исходная система эквивалентна системе: $ \begin{cases} \sin x \sin y = \frac{1}{4}, \\ \cos x \cos y = \frac{3}{4} \end{cases} $
Используем формулы косинуса суммы и разности. $\cos(x-y) = \cos x \cos y + \sin x \sin y = \frac{3}{4} + \frac{1}{4} = 1$. Отсюда $x-y = 2k\pi$, где $k \in \mathbb{Z}$.
$\cos(x+y) = \cos x \cos y - \sin x \sin y = \frac{3}{4} - \frac{1}{4} = \frac{1}{2}$. Отсюда $x+y = \pm \frac{\pi}{3} + 2m\pi$, где $m \in \mathbb{Z}$.
Получаем две системы линейных уравнений:
1) $\begin{cases} x - y = 2k\pi \\ x + y = \frac{\pi}{3} + 2m\pi \end{cases} \implies \begin{cases} x = \frac{\pi}{6} + (k+m)\pi \\ y = \frac{\pi}{6} + (m-k)\pi \end{cases}$
2) $\begin{cases} x - y = 2k\pi \\ x + y = -\frac{\pi}{3} + 2m\pi \end{cases} \implies \begin{cases} x = -\frac{\pi}{6} + (k+m)\pi \\ y = -\frac{\pi}{6} + (m-k)\pi \end{cases}$
В обоих случаях, если обозначить $n=k+m$ и $p=m-k$, то разность $n-p=2k$ будет четным числом, что означает, что $n$ и $p$ должны иметь одинаковую четность.
Ответ: $( \frac{\pi}{6} + n\pi, \frac{\pi}{6} + p\pi)$; $(-\frac{\pi}{6} + n\pi, -\frac{\pi}{6} + p\pi)$, где $n, p \in \mathbb{Z}$ и имеют одинаковую четность.
г)
Дана система уравнений: $ \begin{cases} \cos 2y + \cos x = 1, \\ x + y = \frac{\pi}{2} \end{cases} $
Из второго уравнения выразим $y$: $y = \frac{\pi}{2} - x$. Подставим это выражение в первое уравнение: $\cos(2(\frac{\pi}{2} - x)) + \cos x = 1$.
Упростим $\cos(2(\frac{\pi}{2} - x)) = \cos(\pi - 2x) = -\cos(2x)$. Уравнение принимает вид: $-\cos 2x + \cos x = 1$, $\cos 2x - \cos x + 1 = 0$.
Применим формулу косинуса двойного угла $\cos 2x = 2\cos^2 x - 1$: $(2\cos^2 x - 1) - \cos x + 1 = 0$, $2\cos^2 x - \cos x = 0$, $\cos x (2\cos x - 1) = 0$.
Это уравнение распадается на два случая:
1) $\cos x = 0 \implies x = \frac{\pi}{2} + k\pi$, где $k \in \mathbb{Z}$. Тогда $y = \frac{\pi}{2} - x = \frac{\pi}{2} - (\frac{\pi}{2} + k\pi) = -k\pi$.
2) $2\cos x - 1 = 0 \implies \cos x = \frac{1}{2}$. Отсюда $x = \pm \frac{\pi}{3} + 2k\pi$, где $k \in \mathbb{Z}$. Рассмотрим оба подслучая:
2a) $x = \frac{\pi}{3} + 2k\pi$. Тогда $y = \frac{\pi}{2} - x = \frac{\pi}{2} - (\frac{\pi}{3} + 2k\pi) = \frac{\pi}{6} - 2k\pi$.
2b) $x = -\frac{\pi}{3} + 2k\pi$. Тогда $y = \frac{\pi}{2} - x = \frac{\pi}{2} - (-\frac{\pi}{3} + 2k\pi) = \frac{5\pi}{6} - 2k\pi$.
Ответ: $(\frac{\pi}{2} + k\pi, -k\pi)$; $(\frac{\pi}{3} + 2k\pi, \frac{\pi}{6} - 2k\pi)$; $(-\frac{\pi}{3} + 2k\pi, \frac{5\pi}{6} - 2k\pi)$, где $k \in \mathbb{Z}$.
Другие задания:
Помогло решение? Оставьте отзыв в комментариях ниже.
Присоединяйтесь к Телеграм-группе @top_gdz
ПрисоединитьсяМы подготовили для вас ответ c подробным объяснением домашего задания по алгебре за 10-11 класс, для упражнения номер 190 расположенного на странице 302 к учебнику 2008 года издания для учащихся школ и гимназий.
Теперь на нашем сайте ГДЗ.ТОП вы всегда легко и бесплатно найдёте условие с правильным ответом на вопрос «Как решить ДЗ» и «Как сделать» задание по алгебре к упражнению №190 (с. 302), авторов: Колмогоров (Андрей Николаевич), Абрамов (Александр Михайлович), Дудницын (Юрий Павлович), учебного пособия издательства Просвещение.
 
                     
                     
                     
                     
                     
                     
                     
                     
                     
                     
                     
                     
                     
                     
                     
                     
                     
                     
                    