Номер 195, страница 303 - гдз по алгебре 10-11 класс учебник Колмогоров, Абрамов

Авторы: Колмогоров А. Н., Абрамов А. М., Дудницын Ю. П.
Тип: Учебник
Издательство: Просвещение
Год издания: 2008 - 2025
Цвет обложки: зелёный, чёрный
ISBN: 978-5-09-019513-3
Рекомендовано Министерством образования и науки Российской Федерации
Алгебра и начала математического анализа
Популярные ГДЗ в 10 классе
Параграф 4. Уравнения, неравенства, системы уравнений и неравенств. Глава 5. Задачи на повторение - номер 195, страница 303.
№195 (с. 303)
Условие. №195 (с. 303)
скриншот условия

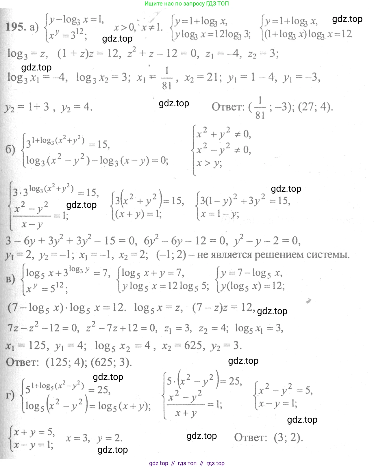
195. a) $\begin{cases} y - \log_3 x = 1, \\ x^y = 3^{12}; \end{cases}$
б) $\begin{cases} 3^{1 + \log_3 (x^2 + y^2)} = 15, \\ \log_3 (x^2 - y^2) - \log_3 (x - y) = 0; \end{cases}$
в) $\begin{cases} \log_5 x + 3^{\log_3 y} = 7, \\ x^y = 5^{12}; \end{cases}$
г) $\begin{cases} 5^{1 + \log_5 (x^2 - y^2)} = 25, \\ \log_5 (x^2 - y^2) = \log_5 (x + y). \end{cases}$
Решение 1. №195 (с. 303)

Решение 3. №195 (с. 303)

Решение 5. №195 (с. 303)
а)
Дана система уравнений:
$ \begin{cases} y - \log_3 x = 1, \\ x^y = 3^{12} \end{cases} $
Область допустимых значений (ОДЗ) определяется из условия существования логарифма: $x > 0$.
Прологарифмируем второе уравнение системы по основанию 3, так как обе части уравнения положительны:
$\log_3(x^y) = \log_3(3^{12})$
Используя свойство логарифма $\log_a(b^c) = c \log_a b$, получаем:
$y \cdot \log_3 x = 12$
Теперь система имеет вид:
$ \begin{cases} y - \log_3 x = 1, \\ y \cdot \log_3 x = 12 \end{cases} $
Введем новые переменные. Пусть $u = y$ и $v = \log_3 x$. Система примет вид:
$ \begin{cases} u - v = 1, \\ uv = 12 \end{cases} $
Из первого уравнения выразим $u$: $u = 1 + v$.
Подставим это выражение во второе уравнение:
$(1+v)v = 12$
$v^2 + v - 12 = 0$
Это квадратное уравнение. Его корни по теореме Виета: $v_1 = 3$ и $v_2 = -4$.
Теперь вернемся к исходным переменным.
Случай 1: $v = 3$.
$\log_3 x = 3$, откуда $x = 3^3 = 27$.
$u = 1 + v = 1 + 3 = 4$, откуда $y = 4$.
Получили решение $(27, 4)$. Проверим его, подставив в исходную систему:
$4 - \log_3 27 = 4 - 3 = 1$. (Верно)
$27^4 = (3^3)^4 = 3^{12}$. (Верно)
Случай 2: $v = -4$.
$\log_3 x = -4$, откуда $x = 3^{-4} = \frac{1}{81}$.
$u = 1 + v = 1 - 4 = -3$, откуда $y = -3$.
Получили решение $(\frac{1}{81}, -3)$. Проверим его:
$-3 - \log_3(\frac{1}{81}) = -3 - (-4) = 1$. (Верно)
$(\frac{1}{81})^{-3} = (3^{-4})^{-3} = 3^{12}$. (Верно)
Оба решения удовлетворяют ОДЗ ($x>0$).
Ответ: $(27, 4)$, $(\frac{1}{81}, -3)$.
б)
Дана система уравнений:
$ \begin{cases} 3^{1+\log_3(x^2+y^2)} = 15, \\ \log_3(x^2-y^2) - \log_3(x-y) = 0 \end{cases} $
ОДЗ: $x^2+y^2 > 0$ (выполняется для всех $(x,y)$, кроме $(0,0)$), $x^2-y^2 > 0$, $x-y > 0$.
Из $x-y > 0$ и $x^2-y^2 = (x-y)(x+y) > 0$ следует, что $x+y > 0$.
Итак, ОДЗ: $x-y>0$ и $x+y>0$.
Упростим первое уравнение, используя свойства степени $a^{m+n}=a^m a^n$ и основное логарифмическое тождество $a^{\log_a b} = b$:
$3^1 \cdot 3^{\log_3(x^2+y^2)} = 15$
$3(x^2+y^2) = 15$
$x^2+y^2 = 5$
Упростим второе уравнение, используя свойство логарифма $\log_a b - \log_a c = \log_a(\frac{b}{c})$:
$\log_3(\frac{x^2-y^2}{x-y}) = 0$
По определению логарифма:
$\frac{x^2-y^2}{x-y} = 3^0 = 1$
$\frac{(x-y)(x+y)}{x-y} = 1$
Так как по ОДЗ $x-y \neq 0$, можем сократить:
$x+y=1$
Получили систему:
$ \begin{cases} x^2+y^2=5, \\ x+y=1 \end{cases} $
Из второго уравнения $y=1-x$. Подставим в первое:
$x^2+(1-x)^2 = 5$
$x^2+1-2x+x^2=5$
$2x^2-2x-4=0$
$x^2-x-2=0$
Корни квадратного уравнения: $x_1 = 2$, $x_2 = -1$.
Случай 1: $x=2$.
$y = 1 - 2 = -1$.
Проверим пару $(2, -1)$ по ОДЗ:
$x-y = 2 - (-1) = 3 > 0$. (Верно)
$x+y = 2 + (-1) = 1 > 0$. (Верно)
Решение $(2, -1)$ подходит.
Случай 2: $x=-1$.
$y = 1 - (-1) = 2$.
Проверим пару $(-1, 2)$ по ОДЗ:
$x-y = -1 - 2 = -3$. Условие $x-y>0$ не выполняется.
Это посторонний корень.
Ответ: $(2, -1)$.
в)
Дана система уравнений:
$ \begin{cases} \log_5 x + 3^{\log_3 y} = 7, \\ x^y = 5^{12} \end{cases} $
ОДЗ: $x > 0$ и $y > 0$.
Упростим первое уравнение, используя основное логарифмическое тождество $a^{\log_a b} = b$:
$\log_5 x + y = 7$
Прологарифмируем второе уравнение по основанию 5:
$\log_5(x^y) = \log_5(5^{12})$
$y \cdot \log_5 x = 12$
Получаем систему:
$ \begin{cases} \log_5 x + y = 7, \\ y \cdot \log_5 x = 12 \end{cases} $
Сделаем замену: $u = \log_5 x$ и $v = y$.
$ \begin{cases} u + v = 7, \\ uv = 12 \end{cases} $
По теореме, обратной теореме Виета, $u$ и $v$ являются корнями квадратного уравнения $t^2 - 7t + 12 = 0$.
Корни уравнения: $t_1 = 3, t_2 = 4$.
Возможны два случая.
Случай 1: $u=3, v=4$.
$\log_5 x = 3 \implies x = 5^3 = 125$.
$y = 4$.
Решение $(125, 4)$ удовлетворяет ОДЗ ($125>0, 4>0$).
Случай 2: $u=4, v=3$.
$\log_5 x = 4 \implies x = 5^4 = 625$.
$y = 3$.
Решение $(625, 3)$ удовлетворяет ОДЗ ($625>0, 3>0$).
Проверим оба решения в исходной системе. Они оба подходят.
Ответ: $(125, 4)$, $(625, 3)$.
г)
Дана система уравнений:
$ \begin{cases} 5^{1+\log_5(x^2-y^2)} = 25, \\ \log_5(x^2-y^2) = \log_5(x+y) \end{cases} $
ОДЗ: $x^2-y^2 > 0$ и $x+y > 0$.
Из этих условий следует, что $(x-y)(x+y) > 0$, и так как $x+y > 0$, то и $x-y>0$.
Упростим первое уравнение:
$5^1 \cdot 5^{\log_5(x^2-y^2)} = 25$
$5(x^2-y^2) = 25$
$x^2-y^2 = 5$
Рассмотрим второе уравнение. Так как основания логарифмов равны, приравняем их аргументы:
$x^2-y^2 = x+y$
Теперь у нас есть система из двух полученных уравнений:
$ \begin{cases} x^2-y^2 = 5, \\ x^2-y^2 = x+y \end{cases} $
Отсюда следует, что $x+y=5$.
Подставим это выражение в первое уравнение преобразованной системы:
$(x-y)(x+y) = 5$
$(x-y) \cdot 5 = 5$
$x-y = 1$
Получили простую систему линейных уравнений:
$ \begin{cases} x+y=5, \\ x-y=1 \end{cases} $
Сложим два уравнения: $(x+y)+(x-y) = 5+1 \implies 2x=6 \implies x=3$.
Вычтем второе уравнение из первого: $(x+y)-(x-y) = 5-1 \implies 2y=4 \implies y=2$.
Получили решение $(3, 2)$.
Проверим его по ОДЗ:
$x+y = 3+2 = 5 > 0$. (Верно)
$x-y = 3-2 = 1 > 0$. (Верно)
Решение подходит.
Ответ: $(3, 2)$.
Другие задания:
Помогло решение? Оставьте отзыв в комментариях ниже.
Присоединяйтесь к Телеграм-группе @top_gdz
ПрисоединитьсяМы подготовили для вас ответ c подробным объяснением домашего задания по алгебре за 10-11 класс, для упражнения номер 195 расположенного на странице 303 к учебнику 2008 года издания для учащихся школ и гимназий.
Теперь на нашем сайте ГДЗ.ТОП вы всегда легко и бесплатно найдёте условие с правильным ответом на вопрос «Как решить ДЗ» и «Как сделать» задание по алгебре к упражнению №195 (с. 303), авторов: Колмогоров (Андрей Николаевич), Абрамов (Александр Михайлович), Дудницын (Юрий Павлович), учебного пособия издательства Просвещение.