Номер 194, страница 303 - гдз по алгебре 10-11 класс учебник Колмогоров, Абрамов
 
                                                Авторы: Колмогоров А. Н., Абрамов А. М., Дудницын Ю. П.
Тип: Учебник
Издательство: Просвещение
Год издания: 2008 - 2025
Цвет обложки: зелёный, чёрный
ISBN: 978-5-09-019513-3
Рекомендовано Министерством образования и науки Российской Федерации
Алгебра и начала математического анализа
Популярные ГДЗ в 10 классе
Глава 5. Задачи на повторение. Параграф 4. Уравнения, неравенства, системы уравнений и неравенств - номер 194, страница 303.
№194 (с. 303)
Условие. №194 (с. 303)
скриншот условия
 
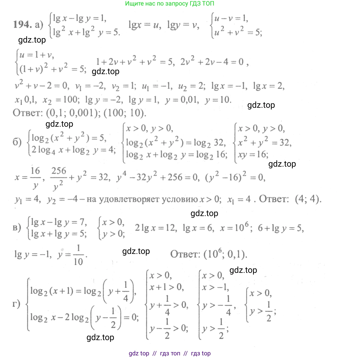
                                                                                                                                        194. a) $ \lg x - \lg y = 1 $,
$ \lg^2 x + \lg^2 y = 5; $
б) $ \log_2 (x^2 + y^2) = 5 $,
$ 2 \log_4 x + \log_2 y = 4; $
в) $ \lg x - \lg y = 7 $,
$ \lg x + \lg y = 5; $
г) $ \log_2 (x + 1) = \log_2 \left(y + \frac{1}{4}\right) $,
$ \log_2 x - 2 \log_2 \left(y - \frac{1}{2}\right) = 0. $
Решение 1. №194 (с. 303)
 
                                                                                                                        Решение 3. №194 (с. 303)
 
                                                                            
                                                                                                         
                                                                                                                        Решение 5. №194 (с. 303)
а)
Дана система уравнений: $$ \begin{cases} \lg x - \lg y = 1 \\ \lg^2 x + \lg^2 y = 5 \end{cases} $$ Область допустимых значений (ОДЗ): $x > 0$, $y > 0$.
Введем замену переменных. Пусть $u = \lg x$ и $v = \lg y$. Система примет вид: $$ \begin{cases} u - v = 1 \\ u^2 + v^2 = 5 \end{cases} $$
Из первого уравнения выразим $u$: $u = 1 + v$.
Подставим это выражение во второе уравнение: $$ (1 + v)^2 + v^2 = 5 $$ $$ 1 + 2v + v^2 + v^2 = 5 $$ $$ 2v^2 + 2v - 4 = 0 $$ Разделим уравнение на 2: $$ v^2 + v - 2 = 0 $$
Решим полученное квадратное уравнение относительно $v$. По теореме Виета, корни уравнения: $v_1 = 1$ и $v_2 = -2$.
Рассмотрим два случая.
Случай 1: $v = 1$.
Тогда $u = 1 + v = 1 + 1 = 2$.
Возвращаемся к исходным переменным:
$\lg x = 2 \implies x = 10^2 = 100$.
$\lg y = 1 \implies y = 10^1 = 10$.
Получили пару $(100, 10)$. Эта пара удовлетворяет ОДЗ.
Случай 2: $v = -2$.
Тогда $u = 1 + v = 1 - 2 = -1$.
Возвращаемся к исходным переменным:
$\lg x = -1 \implies x = 10^{-1} = 0.1$.
$\lg y = -2 \implies y = 10^{-2} = 0.01$.
Получили пару $(0.1, 0.01)$. Эта пара также удовлетворяет ОДЗ.
Обе пары являются решениями системы.
Ответ: $(100, 10)$, $(0.1, 0.01)$.
б)
Дана система уравнений: $$ \begin{cases} \log_2(x^2 + y^2) = 5 \\ 2 \log_4 x + \log_2 y = 4 \end{cases} $$ ОДЗ: $x > 0$, $y > 0$.
Преобразуем каждое уравнение системы.
Из первого уравнения по определению логарифма: $$ x^2 + y^2 = 2^5 = 32 $$
Во втором уравнении приведем логарифм к основанию 2, используя формулу перехода к новому основанию $\log_a b = \frac{\log_c b}{\log_c a}$: $$ 2 \log_4 x = 2 \frac{\log_2 x}{\log_2 4} = 2 \frac{\log_2 x}{2} = \log_2 x $$ Тогда второе уравнение примет вид: $$ \log_2 x + \log_2 y = 4 $$ Используя свойство суммы логарифмов: $$ \log_2(xy) = 4 $$ Отсюда по определению логарифма: $$ xy = 2^4 = 16 $$
Получили систему алгебраических уравнений: $$ \begin{cases} x^2 + y^2 = 32 \\ xy = 16 \end{cases} $$ Из второго уравнения выразим $y = \frac{16}{x}$ (это возможно, так как $x>0$) и подставим в первое: $$ x^2 + \left(\frac{16}{x}\right)^2 = 32 $$ $$ x^2 + \frac{256}{x^2} = 32 $$ Умножим обе части на $x^2$: $$ x^4 + 256 = 32x^2 $$ $$ x^4 - 32x^2 + 256 = 0 $$ Это биквадратное уравнение. Сделаем замену $t = x^2$ ($t>0$): $$ t^2 - 32t + 256 = 0 $$ Это полный квадрат: $(t - 16)^2 = 0$.
Отсюда $t = 16$.
Возвращаемся к переменной $x$: $$ x^2 = 16 $$ Так как по ОДЗ $x > 0$, то $x = 4$.
Находим $y$: $$ y = \frac{16}{x} = \frac{16}{4} = 4 $$ Решение $(4, 4)$ удовлетворяет ОДЗ.
Ответ: $(4, 4)$.
в)
Дана система уравнений: $$ \begin{cases} \lg x - \lg y = 7 \\ \lg x + \lg y = 5 \end{cases} $$ ОДЗ: $x > 0$, $y > 0$.
Это линейная система относительно $\lg x$ и $\lg y$. Сложим два уравнения системы: $$ (\lg x - \lg y) + (\lg x + \lg y) = 7 + 5 $$ $$ 2 \lg x = 12 $$ $$ \lg x = 6 $$ Отсюда $x = 10^6 = 1000000$.
Подставим $\lg x = 6$ во второе уравнение системы: $$ 6 + \lg y = 5 $$ $$ \lg y = 5 - 6 = -1 $$ Отсюда $y = 10^{-1} = 0.1$.
Полученная пара $(1000000, 0.1)$ удовлетворяет ОДЗ.
Ответ: $(1000000, 0.1)$.
г)
Дана система уравнений: $$ \begin{cases} \log_2(x+1) = \log_2(y + \frac{1}{4}) \\ \log_2 x - 2\log_2(y - \frac{1}{2}) = 0 \end{cases} $$ ОДЗ определяется условиями: $$ \begin{cases} x+1 > 0 \implies x > -1 \\ y + \frac{1}{4} > 0 \implies y > -\frac{1}{4} \\ x > 0 \\ y - \frac{1}{2} > 0 \implies y > \frac{1}{2} \end{cases} $$ Объединяя условия, получаем: $x > 0$, $y > \frac{1}{2}$.
Из первого уравнения, так как основания логарифмов равны, приравниваем аргументы: $$ x + 1 = y + \frac{1}{4} $$ $$ y = x + 1 - \frac{1}{4} \implies y = x + \frac{3}{4} $$
Преобразуем второе уравнение: $$ \log_2 x = 2\log_2\left(y - \frac{1}{2}\right) $$ Используя свойство степени логарифма: $$ \log_2 x = \log_2\left(\left(y - \frac{1}{2}\right)^2\right) $$ Приравниваем аргументы: $$ x = \left(y - \frac{1}{2}\right)^2 $$
Подставим выражение для $y$ из первого уравнения во второе: $$ x = \left(\left(x + \frac{3}{4}\right) - \frac{1}{2}\right)^2 $$ $$ x = \left(x + \frac{1}{4}\right)^2 $$ $$ x = x^2 + 2 \cdot x \cdot \frac{1}{4} + \left(\frac{1}{4}\right)^2 $$ $$ x = x^2 + \frac{1}{2}x + \frac{1}{16} $$ $$ x^2 - \frac{1}{2}x + \frac{1}{16} = 0 $$ Это полный квадрат: $$ \left(x - \frac{1}{4}\right)^2 = 0 $$ Отсюда $x = \frac{1}{4}$.
Находим $y$: $$ y = x + \frac{3}{4} = \frac{1}{4} + \frac{3}{4} = 1 $$ Решение $(\frac{1}{4}, 1)$ удовлетворяет ОДЗ ($x = \frac{1}{4} > 0$ и $y = 1 > \frac{1}{2}$).
Ответ: $(\frac{1}{4}, 1)$.
Другие задания:
Помогло решение? Оставьте отзыв в комментариях ниже.
Присоединяйтесь к Телеграм-группе @top_gdz
ПрисоединитьсяМы подготовили для вас ответ c подробным объяснением домашего задания по алгебре за 10-11 класс, для упражнения номер 194 расположенного на странице 303 к учебнику 2008 года издания для учащихся школ и гимназий.
Теперь на нашем сайте ГДЗ.ТОП вы всегда легко и бесплатно найдёте условие с правильным ответом на вопрос «Как решить ДЗ» и «Как сделать» задание по алгебре к упражнению №194 (с. 303), авторов: Колмогоров (Андрей Николаевич), Абрамов (Александр Михайлович), Дудницын (Юрий Павлович), учебного пособия издательства Просвещение.
 
                     
                     
                     
                     
                     
                     
                     
                     
                     
                     
                     
                     
                     
                     
                     
                     
                     
                     
                    