Номер 187, страница 302 - гдз по алгебре 10-11 класс учебник Колмогоров, Абрамов
 
                                                Авторы: Колмогоров А. Н., Абрамов А. М., Дудницын Ю. П.
Тип: Учебник
Издательство: Просвещение
Год издания: 2008 - 2025
Цвет обложки: зелёный, чёрный
ISBN: 978-5-09-019513-3
Рекомендовано Министерством образования и науки Российской Федерации
Алгебра и начала математического анализа
Популярные ГДЗ в 10 классе
Глава 5. Задачи на повторение. Параграф 4. Уравнения, неравенства, системы уравнений и неравенств - номер 187, страница 302.
№187 (с. 302)
Условие. №187 (с. 302)
скриншот условия
 
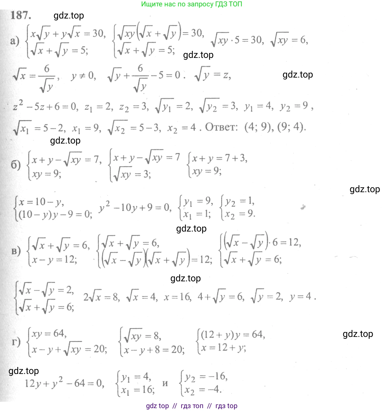
                                                                                                                                        187. a) $\begin{cases} x \sqrt{y} + y \sqrt{x} = 30, \\ \sqrt{x} + \sqrt{y} = 5; \end{cases}$
б) $\begin{cases} x + y - \sqrt{xy} = 7, \\ xy = 9; \end{cases}$
в) $\begin{cases} \sqrt{x} + \sqrt{y} = 6, \\ x - y = 12; \end{cases}$
г) $\begin{cases} xy = 64, \\ x - y + \sqrt{xy} = 20. \end{cases}$
Решение 1. №187 (с. 302)
 
                                                                                                                        Решение 3. №187 (с. 302)
 
                                                                                                                        Решение 5. №187 (с. 302)
а)
Дана система уравнений:
$ \begin{cases} x\sqrt{y} + y\sqrt{x} = 30, \\ \sqrt{x} + \sqrt{y} = 5; \end{cases} $
Область допустимых значений: $x \ge 0, y \ge 0$.
Преобразуем первое уравнение, вынеся за скобки общий множитель $\sqrt{xy}$:
$\sqrt{x}\sqrt{y}(\sqrt{x} + \sqrt{y}) = 30$.
Из второго уравнения системы нам известно, что $\sqrt{x} + \sqrt{y} = 5$. Подставим это значение в преобразованное первое уравнение:
$\sqrt{xy} \cdot 5 = 30$.
$\sqrt{xy} = 6$.
Теперь мы имеем новую, более простую систему:
$ \begin{cases} \sqrt{x} + \sqrt{y} = 5, \\ \sqrt{xy} = 6. \end{cases} $
Введем новые переменные: $a = \sqrt{x}$ и $b = \sqrt{y}$. Система примет вид:
$ \begin{cases} a + b = 5, \\ ab = 6. \end{cases} $
Согласно теореме Виета, $a$ и $b$ являются корнями квадратного уравнения $t^2 - 5t + 6 = 0$.
Решим это уравнение: $t_1 = 2, t_2 = 3$.
Таким образом, у нас есть два возможных случая:
1) $\sqrt{x} = 2$ и $\sqrt{y} = 3$. Отсюда $x = 4$ и $y = 9$.
2) $\sqrt{x} = 3$ и $\sqrt{y} = 2$. Отсюда $x = 9$ и $y = 4$.
Оба решения удовлетворяют ОДЗ.
Ответ: $(4; 9), (9; 4)$.
б)
Дана система уравнений:
$ \begin{cases} x + y - \sqrt{xy} = 7, \\ xy = 9. \end{cases} $
Из второго уравнения $xy=9$ следует, что $\sqrt{xy} = \sqrt{9} = 3$.
Подставим это значение в первое уравнение системы:
$x + y - 3 = 7$.
$x + y = 10$.
Теперь решаем систему:
$ \begin{cases} x + y = 10, \\ xy = 9. \end{cases} $
По теореме Виета, $x$ и $y$ являются корнями квадратного уравнения $t^2 - 10t + 9 = 0$.
Решим это уравнение. Корни можно легко найти: $t_1 = 1, t_2 = 9$.
Следовательно, у нас есть два решения:
1) $x = 1, y = 9$.
2) $x = 9, y = 1$.
Ответ: $(1; 9), (9; 1)$.
в)
Дана система уравнений:
$ \begin{cases} \sqrt{x} + \sqrt{y} = 6, \\ x - y = 12. \end{cases} $
Область допустимых значений: $x \ge 0, y \ge 0$.
Преобразуем второе уравнение, используя формулу разности квадратов $x - y = (\sqrt{x})^2 - (\sqrt{y})^2$:
$(\sqrt{x} - \sqrt{y})(\sqrt{x} + \sqrt{y}) = 12$.
Из первого уравнения системы известно, что $\sqrt{x} + \sqrt{y} = 6$. Подставим это значение в преобразованное второе уравнение:
$(\sqrt{x} - \sqrt{y}) \cdot 6 = 12$.
$\sqrt{x} - \sqrt{y} = 2$.
Теперь у нас есть система линейных уравнений относительно $\sqrt{x}$ и $\sqrt{y}$:
$ \begin{cases} \sqrt{x} + \sqrt{y} = 6, \\ \sqrt{x} - \sqrt{y} = 2. \end{cases} $
Сложим два уравнения: $(\sqrt{x} + \sqrt{y}) + (\sqrt{x} - \sqrt{y}) = 6 + 2$, что дает $2\sqrt{x} = 8$, откуда $\sqrt{x} = 4$.
Следовательно, $x = 4^2 = 16$.
Подставим $\sqrt{x} = 4$ в первое уравнение новой системы: $4 + \sqrt{y} = 6$, откуда $\sqrt{y} = 2$.
Следовательно, $y = 2^2 = 4$.
Полученное решение $(16; 4)$ удовлетворяет ОДЗ.
Ответ: $(16; 4)$.
г)
Дана система уравнений:
$ \begin{cases} xy = 64, \\ x - y + \sqrt{xy} = 20. \end{cases} $
Из первого уравнения $xy=64$ следует, что $\sqrt{xy} = \sqrt{64} = 8$.
Подставим это значение во второе уравнение системы:
$x - y + 8 = 20$.
$x - y = 12$.
Теперь решаем систему:
$ \begin{cases} x - y = 12, \\ xy = 64. \end{cases} $
Из первого уравнения выразим $x$: $x = y + 12$.
Подставим это выражение во второе уравнение:
$(y + 12)y = 64$.
$y^2 + 12y - 64 = 0$.
Решим это квадратное уравнение относительно $y$ с помощью дискриминанта:
$D = 12^2 - 4 \cdot 1 \cdot (-64) = 144 + 256 = 400 = 20^2$.
$y_1 = \frac{-12 - 20}{2} = \frac{-32}{2} = -16$.
$y_2 = \frac{-12 + 20}{2} = \frac{8}{2} = 4$.
Теперь найдем соответствующие значения $x$:
1) Если $y = -16$, то $x = -16 + 12 = -4$. Получаем решение $(-4; -16)$.
2) Если $y = 4$, то $x = 4 + 12 = 16$. Получаем решение $(16; 4)$.
Оба решения удовлетворяют исходной системе.
Ответ: $(-4; -16), (16; 4)$.
Другие задания:
Помогло решение? Оставьте отзыв в комментариях ниже.
Присоединяйтесь к Телеграм-группе @top_gdz
ПрисоединитьсяМы подготовили для вас ответ c подробным объяснением домашего задания по алгебре за 10-11 класс, для упражнения номер 187 расположенного на странице 302 к учебнику 2008 года издания для учащихся школ и гимназий.
Теперь на нашем сайте ГДЗ.ТОП вы всегда легко и бесплатно найдёте условие с правильным ответом на вопрос «Как решить ДЗ» и «Как сделать» задание по алгебре к упражнению №187 (с. 302), авторов: Колмогоров (Андрей Николаевич), Абрамов (Александр Михайлович), Дудницын (Юрий Павлович), учебного пособия издательства Просвещение.
 
                     
                     
                     
                     
                     
                     
                     
                     
                     
                     
                     
                     
                     
                     
                     
                     
                     
                     
                    