Номер 188, страница 302 - гдз по алгебре 10-11 класс учебник Колмогоров, Абрамов
 
                                                Авторы: Колмогоров А. Н., Абрамов А. М., Дудницын Ю. П.
Тип: Учебник
Издательство: Просвещение
Год издания: 2008 - 2025
Цвет обложки: зелёный, чёрный
ISBN: 978-5-09-019513-3
Рекомендовано Министерством образования и науки Российской Федерации
Алгебра и начала математического анализа
Популярные ГДЗ в 10 классе
Глава 5. Задачи на повторение. Параграф 4. Уравнения, неравенства, системы уравнений и неравенств - номер 188, страница 302.
№188 (с. 302)
Условие. №188 (с. 302)
скриншот условия
 
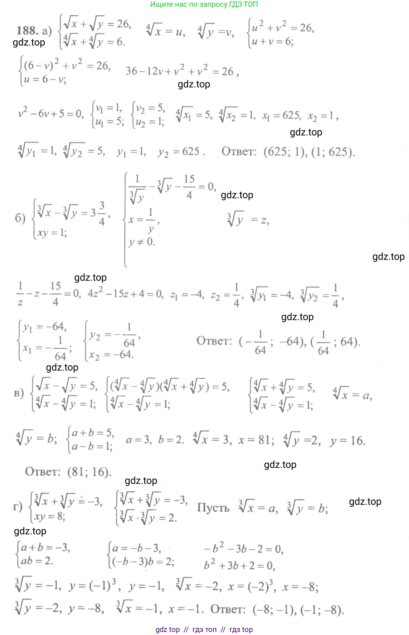
                                                                                                                                        188. а) $\begin{cases} \sqrt{x} + \sqrt{y} = 26, \\ \sqrt[4]{x} + \sqrt[4]{y} = 6; \end{cases}$
б) $\begin{cases} \sqrt[3]{x} - \sqrt[3]{y} = 3 \frac{3}{4}, \\ xy = 1; \end{cases}$
в) $\begin{cases} \sqrt{x} - \sqrt{y} = 5, \\ \sqrt[4]{x} - \sqrt[4]{y} = 1; \end{cases}$
г) $\begin{cases} \sqrt[3]{x} + \sqrt[3]{y} = -3, \\ xy = 8. \end{cases}$
Решение 1. №188 (с. 302)
 
                                                                                                                        Решение 5. №188 (с. 302)
а)
Дана система уравнений: $\begin{cases} \sqrt{x} + \sqrt{y} = 26 \\ \sqrt[4]{x} + \sqrt[4]{y} = 6 \end{cases}$
Введем замену переменных. Пусть $u = \sqrt[4]{x}$ и $v = \sqrt[4]{y}$. Поскольку корень четной степени извлекается из неотрицательного числа, то $x \ge 0, y \ge 0$, а значит $u \ge 0$ и $v \ge 0$.
Тогда $\sqrt{x} = (\sqrt[4]{x})^2 = u^2$ и $\sqrt{y} = (\sqrt[4]{y})^2 = v^2$.
Система уравнений в новых переменных примет вид:
$\begin{cases} u^2 + v^2 = 26 \\ u + v = 6 \end{cases}$
Из второго уравнения выразим $v$: $v = 6 - u$.
Подставим это выражение в первое уравнение:
$u^2 + (6 - u)^2 = 26$
$u^2 + 36 - 12u + u^2 = 26$
$2u^2 - 12u + 10 = 0$
Разделим обе части уравнения на 2:
$u^2 - 6u + 5 = 0$
Это приведенное квадратное уравнение. По теореме Виета, его корни $u_1 = 1$ и $u_2 = 5$. Оба корня удовлетворяют условию $u \ge 0$.
Рассмотрим два возможных случая:
1. Если $u = 1$, то $v = 6 - 1 = 5$. Возвращаемся к исходным переменным:
$\sqrt[4]{x} = 1 \implies x = 1^4 = 1$
$\sqrt[4]{y} = 5 \implies y = 5^4 = 625$
Получаем пару чисел $(1, 625)$.
2. Если $u = 5$, то $v = 6 - 5 = 1$. Возвращаемся к исходным переменным:
$\sqrt[4]{x} = 5 \implies x = 5^4 = 625$
$\sqrt[4]{y} = 1 \implies y = 1^4 = 1$
Получаем пару чисел $(625, 1)$.
Ответ: $(1, 625), (625, 1)$.
б)
Дана система уравнений: $\begin{cases} \sqrt[3]{x} - \sqrt[3]{y} = 3\frac{3}{4} \\ xy = 1 \end{cases}$
Преобразуем смешанную дробь в неправильную: $3\frac{3}{4} = \frac{3 \cdot 4 + 3}{4} = \frac{15}{4}$.
Из второго уравнения (при $x \ne 0$) выразим $y$: $y = \frac{1}{x}$.
Подставим это выражение в первое уравнение:
$\sqrt[3]{x} - \sqrt[3]{\frac{1}{x}} = \frac{15}{4}$
$\sqrt[3]{x} - \frac{1}{\sqrt[3]{x}} = \frac{15}{4}$
Введем замену $t = \sqrt[3]{x}$. Уравнение примет вид:
$t - \frac{1}{t} = \frac{15}{4}$
Умножим обе части на $4t$ (при $t \ne 0$):
$4t^2 - 4 = 15t$
$4t^2 - 15t - 4 = 0$
Решим это квадратное уравнение. Найдем дискриминант:
$D = (-15)^2 - 4 \cdot 4 \cdot (-4) = 225 + 64 = 289 = 17^2$
Найдем корни:
$t_1 = \frac{15 - 17}{2 \cdot 4} = \frac{-2}{8} = -\frac{1}{4}$
$t_2 = \frac{15 + 17}{2 \cdot 4} = \frac{32}{8} = 4$
Рассмотрим два случая:
1. Если $t = 4$, то $\sqrt[3]{x} = 4$, откуда $x = 4^3 = 64$. Тогда $y = \frac{1}{x} = \frac{1}{64}$. Получаем решение $(64, \frac{1}{64})$.
2. Если $t = -\frac{1}{4}$, то $\sqrt[3]{x} = -\frac{1}{4}$, откуда $x = (-\frac{1}{4})^3 = -\frac{1}{64}$. Тогда $y = \frac{1}{x} = \frac{1}{-1/64} = -64$. Получаем решение $(-\frac{1}{64}, -64)$.
Ответ: $(64, \frac{1}{64}), (-\frac{1}{64}, -64)$.
в)
Дана система уравнений: $\begin{cases} \sqrt{x} - \sqrt{y} = 5 \\ \sqrt[4]{x} - \sqrt[4]{y} = 1 \end{cases}$
Введем замену переменных. Пусть $u = \sqrt[4]{x}$ и $v = \sqrt[4]{y}$. Так как $x \ge 0, y \ge 0$, то $u \ge 0$ и $v \ge 0$.
Тогда $\sqrt{x} = u^2$ и $\sqrt{y} = v^2$.
Система примет вид:
$\begin{cases} u^2 - v^2 = 5 \\ u - v = 1 \end{cases}$
Используем формулу разности квадратов для первого уравнения: $(u - v)(u + v) = 5$.
Подставим $u - v = 1$ из второго уравнения в первое:
$1 \cdot (u + v) = 5 \implies u + v = 5$.
Получаем новую, более простую систему:
$\begin{cases} u + v = 5 \\ u - v = 1 \end{cases}$
Сложим эти два уравнения: $(u + v) + (u - v) = 5 + 1$, что дает $2u = 6$, откуда $u = 3$.
Подставим $u = 3$ в первое уравнение новой системы: $3 + v = 5$, откуда $v = 2$.
Оба значения $u=3$ и $v=2$ неотрицательны, что соответствует условиям замены.
Вернемся к исходным переменным:
$\sqrt[4]{x} = 3 \implies x = 3^4 = 81$
$\sqrt[4]{y} = 2 \implies y = 2^4 = 16$
Проверка: $\sqrt{81} - \sqrt{16} = 9 - 4 = 5$; $\sqrt[4]{81} - \sqrt[4]{16} = 3 - 2 = 1$. Решение верно.
Ответ: $(81, 16)$.
г)
Дана система уравнений: $\begin{cases} \sqrt[3]{x} + \sqrt[3]{y} = -3 \\ xy = 8 \end{cases}$
Введем замену переменных. Пусть $u = \sqrt[3]{x}$ и $v = \sqrt[3]{y}$.
Возведем второе уравнение в степень $\frac{1}{3}$: $(xy)^{1/3} = 8^{1/3}$, что равносильно $\sqrt[3]{x}\sqrt[3]{y} = \sqrt[3]{8}$, или $uv = 2$.
Система в новых переменных примет вид:
$\begin{cases} u + v = -3 \\ uv = 2 \end{cases}$
Согласно обратной теореме Виета, $u$ и $v$ являются корнями квадратного уравнения $t^2 - (u+v)t + uv = 0$.
Подставим значения суммы и произведения:
$t^2 - (-3)t + 2 = 0$
$t^2 + 3t + 2 = 0$
Корнями этого уравнения являются $t_1 = -1$ и $t_2 = -2$.
Следовательно, у нас есть две пары решений для $(u, v)$: $(-1, -2)$ и $(-2, -1)$.
Рассмотрим оба случая:
1. Если $u = -1$ и $v = -2$.
$\sqrt[3]{x} = -1 \implies x = (-1)^3 = -1$
$\sqrt[3]{y} = -2 \implies y = (-2)^3 = -8$
Получаем решение $(-1, -8)$.
2. Если $u = -2$ и $v = -1$.
$\sqrt[3]{x} = -2 \implies x = (-2)^3 = -8$
$\sqrt[3]{y} = -1 \implies y = (-1)^3 = -1$
Получаем решение $(-8, -1)$.
Ответ: $(-1, -8), (-8, -1)$.
Другие задания:
Помогло решение? Оставьте отзыв в комментариях ниже.
Присоединяйтесь к Телеграм-группе @top_gdz
ПрисоединитьсяМы подготовили для вас ответ c подробным объяснением домашего задания по алгебре за 10-11 класс, для упражнения номер 188 расположенного на странице 302 к учебнику 2008 года издания для учащихся школ и гимназий.
Теперь на нашем сайте ГДЗ.ТОП вы всегда легко и бесплатно найдёте условие с правильным ответом на вопрос «Как решить ДЗ» и «Как сделать» задание по алгебре к упражнению №188 (с. 302), авторов: Колмогоров (Андрей Николаевич), Абрамов (Александр Михайлович), Дудницын (Юрий Павлович), учебного пособия издательства Просвещение.
 
                     
                     
                     
                     
                     
                     
                     
                     
                     
                     
                     
                     
                     
                     
                     
                     
                     
                     
                    