Номер 181, страница 301 - гдз по алгебре 10-11 класс учебник Колмогоров, Абрамов
 
                                                Авторы: Колмогоров А. Н., Абрамов А. М., Дудницын Ю. П.
Тип: Учебник
Издательство: Просвещение
Год издания: 2008 - 2025
Цвет обложки: зелёный, чёрный
ISBN: 978-5-09-019513-3
Рекомендовано Министерством образования и науки Российской Федерации
Алгебра и начала математического анализа
Популярные ГДЗ в 10 классе
Глава 5. Задачи на повторение. Параграф 4. Уравнения, неравенства, системы уравнений и неравенств - номер 181, страница 301.
№181 (с. 301)
Условие. №181 (с. 301)
скриншот условия
 
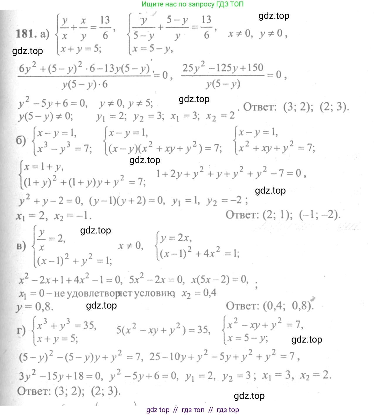
                                                                                                                                        181. а) $\begin{cases} \frac{y}{x} + \frac{x}{y} = \frac{13}{6}, \\ x + y = 5; \end{cases}$
б) $\begin{cases} x - y = 1, \\ x^3 - y^3 = 7; \end{cases}$
в) $\begin{cases} \frac{y}{x} = 2, \\ (x - 1)^2 + y^2 = 1; \end{cases}$
г) $\begin{cases} x^3 + y^3 = 35, \\ x + y = 5. \end{cases}$
Решение 1. №181 (с. 301)
 
                                                                                                                        Решение 3. №181 (с. 301)
 
                                                                                                                        Решение 5. №181 (с. 301)
а)
Дана система уравнений:
$\begin{cases} \frac{y}{x} + \frac{x}{y} = \frac{13}{6} \\ x + y = 5 \end{cases}$
Область допустимых значений: $x \neq 0, y \neq 0$.
Преобразуем первое уравнение, приведя левую часть к общему знаменателю:
$\frac{y^2 + x^2}{xy} = \frac{13}{6}$
$6(x^2 + y^2) = 13xy$
Из второго уравнения системы $x + y = 5$. Возведем обе части в квадрат:
$(x + y)^2 = 5^2$
$x^2 + 2xy + y^2 = 25$
Отсюда выразим $x^2 + y^2 = 25 - 2xy$.
Подставим это выражение в преобразованное первое уравнение:
$6(25 - 2xy) = 13xy$
$150 - 12xy = 13xy$
$150 = 25xy$
$xy = 6$
Теперь решаем новую, более простую систему:
$\begin{cases} x + y = 5 \\ xy = 6 \end{cases}$
Согласно теореме Виета, $x$ и $y$ являются корнями квадратного уравнения $t^2 - 5t + 6 = 0$.
Находим корни: $t_1 = 2, t_2 = 3$.
Следовательно, решениями системы являются пары чисел $(2, 3)$ и $(3, 2)$. Обе пары удовлетворяют ОДЗ.
Ответ: $(2, 3), (3, 2)$.
б)
Дана система уравнений:
$\begin{cases} x - y = 1 \\ x^3 - y^3 = 7 \end{cases}$
Используем формулу разности кубов $a^3 - b^3 = (a - b)(a^2 + ab + b^2)$ для второго уравнения:
$(x - y)(x^2 + xy + y^2) = 7$
Подставим $x - y = 1$ из первого уравнения:
$1 \cdot (x^2 + xy + y^2) = 7$
$x^2 + xy + y^2 = 7$
Из первого уравнения $x - y = 1$ также следует, что $(x-y)^2 = 1^2$, то есть $x^2 - 2xy + y^2 = 1$.
Преобразуем выражение $x^2 + xy + y^2$, выделив полный квадрат разности:
$(x^2 - 2xy + y^2) + 3xy = 7$
Подставим $x^2 - 2xy + y^2 = 1$:
$1 + 3xy = 7$
$3xy = 6$
$xy = 2$
Решаем систему:
$\begin{cases} x - y = 1 \\ xy = 2 \end{cases}$
Из первого уравнения выражаем $x = y + 1$ и подставляем во второе:
$(y + 1)y = 2$
$y^2 + y - 2 = 0$
Решаем квадратное уравнение, например, по теореме Виета: $y_1 = 1, y_2 = -2$.
Находим соответствующие значения $x$:
Если $y_1 = 1$, то $x_1 = 1 + 1 = 2$.
Если $y_2 = -2$, то $x_2 = -2 + 1 = -1$.
Получаем две пары решений.
Ответ: $(2, 1), (-1, -2)$.
в)
Дана система уравнений:
$\begin{cases} \frac{y}{x} = 2 \\ (x - 1)^2 + y^2 = 1 \end{cases}$
Область допустимых значений: $x \neq 0$.
Из первого уравнения выражаем $y$: $y = 2x$.
Подставляем это выражение во второе уравнение:
$(x - 1)^2 + (2x)^2 = 1$
Раскрываем скобки и упрощаем:
$x^2 - 2x + 1 + 4x^2 = 1$
$5x^2 - 2x = 0$
Выносим $x$ за скобки:
$x(5x - 2) = 0$
Получаем два возможных значения для $x$: $x_1 = 0$ или $x_2 = \frac{2}{5}$.
Так как $x \neq 0$, корень $x_1 = 0$ является посторонним.
Остается $x = \frac{2}{5}$.
Находим соответствующее значение $y$: $y = 2x = 2 \cdot \frac{2}{5} = \frac{4}{5}$.
Ответ: $(\frac{2}{5}, \frac{4}{5})$.
г)
Дана система уравнений:
$\begin{cases} x^3 + y^3 = 35 \\ x + y = 5 \end{cases}$
Используем формулу суммы кубов $a^3 + b^3 = (a + b)(a^2 - ab + b^2)$ для первого уравнения:
$(x + y)(x^2 - xy + y^2) = 35$
Подставляем $x + y = 5$ из второго уравнения:
$5(x^2 - xy + y^2) = 35$
$x^2 - xy + y^2 = 7$
Из второго уравнения $x + y = 5$ следует, что $(x+y)^2 = 5^2$, то есть $x^2 + 2xy + y^2 = 25$. Отсюда $x^2 + y^2 = 25 - 2xy$.
Подставим это в преобразованное первое уравнение:
$(25 - 2xy) - xy = 7$
$25 - 3xy = 7$
$18 = 3xy$
$xy = 6$
Теперь решаем систему:
$\begin{cases} x + y = 5 \\ xy = 6 \end{cases}$
Эта система идентична системе из пункта а). Согласно теореме Виета, $x$ и $y$ являются корнями квадратного уравнения $t^2 - 5t + 6 = 0$.
Корни уравнения: $t_1 = 2, t_2 = 3$.
Следовательно, решениями системы являются пары чисел $(2, 3)$ и $(3, 2)$.
Ответ: $(2, 3), (3, 2)$.
Другие задания:
Помогло решение? Оставьте отзыв в комментариях ниже.
Присоединяйтесь к Телеграм-группе @top_gdz
ПрисоединитьсяМы подготовили для вас ответ c подробным объяснением домашего задания по алгебре за 10-11 класс, для упражнения номер 181 расположенного на странице 301 к учебнику 2008 года издания для учащихся школ и гимназий.
Теперь на нашем сайте ГДЗ.ТОП вы всегда легко и бесплатно найдёте условие с правильным ответом на вопрос «Как решить ДЗ» и «Как сделать» задание по алгебре к упражнению №181 (с. 301), авторов: Колмогоров (Андрей Николаевич), Абрамов (Александр Михайлович), Дудницын (Юрий Павлович), учебного пособия издательства Просвещение.
 
                     
                     
                     
                     
                     
                     
                     
                     
                     
                     
                     
                     
                     
                     
                     
                     
                     
                     
                    