Номер 196, страница 303 - гдз по алгебре 10-11 класс учебник Колмогоров, Абрамов
 
                                                Авторы: Колмогоров А. Н., Абрамов А. М., Дудницын Ю. П.
Тип: Учебник
Издательство: Просвещение
Год издания: 2008 - 2025
Цвет обложки: зелёный, чёрный
ISBN: 978-5-09-019513-3
Рекомендовано Министерством образования и науки Российской Федерации
Алгебра и начала математического анализа
Популярные ГДЗ в 10 классе
Глава 5. Задачи на повторение. Параграф 4. Уравнения, неравенства, системы уравнений и неравенств - номер 196, страница 303.
№196 (с. 303)
Условие. №196 (с. 303)
скриншот условия
 
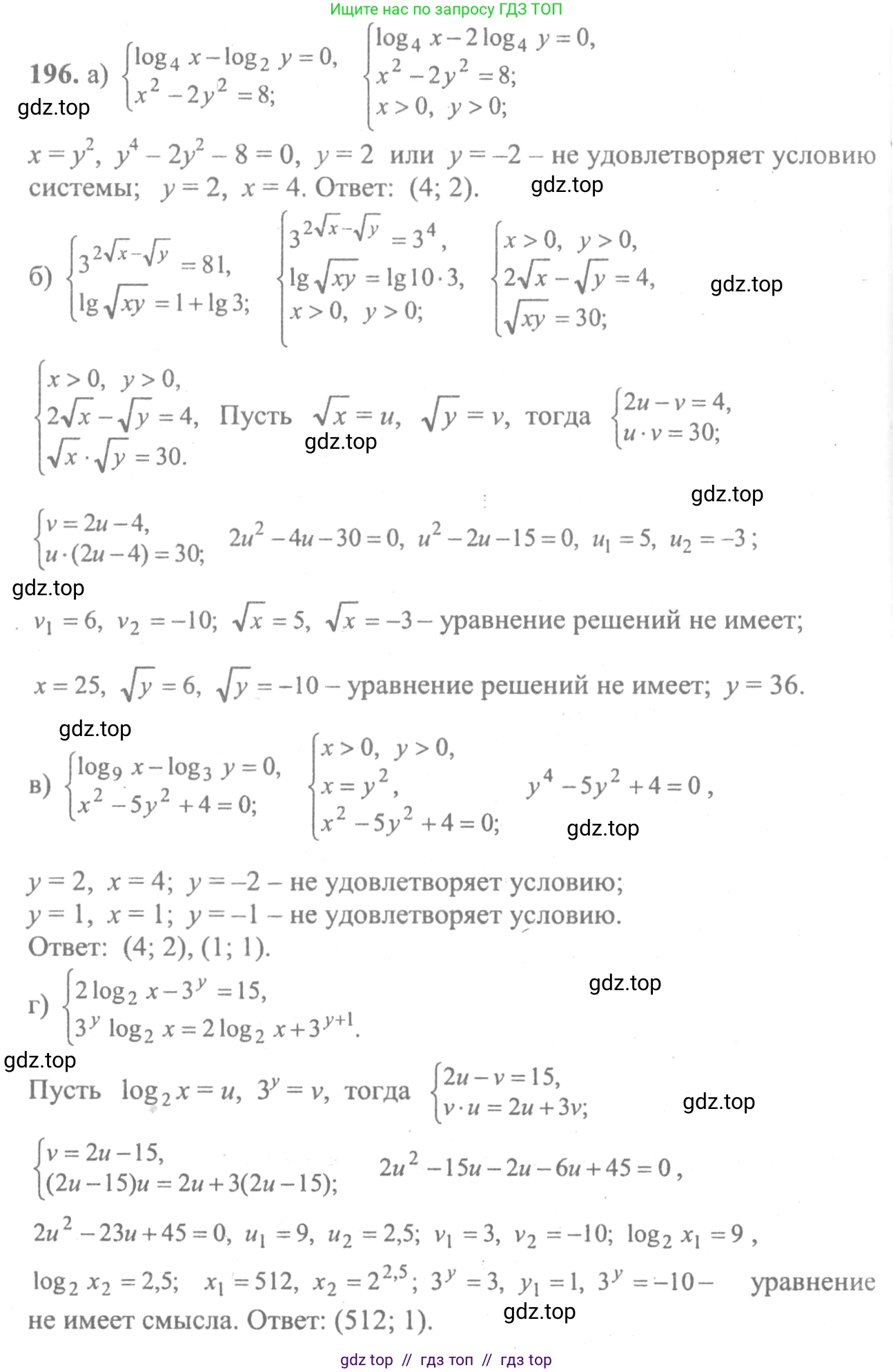
                                                                                                                                        196. a) $\begin{cases} \log_4 x - \log_2 y = 0, \\ x^2 - 2y^2 = 8; \end{cases}$
б) $\begin{cases} 3^{2\sqrt{x}-\sqrt{y}} = 81, \\ \lg \sqrt{xy} = 1 + \lg 3; \end{cases}$
В) $\begin{cases} \log_9 x - \log_3 y = 0, \\ x^2 - 5y^2 + 4 = 0; \end{cases}$
Г) $\begin{cases} 2 \log_2 x - 3^y = 15, \\ 3^y \log_2 x = 2 \log_2 x + 3^{y+1}. \end{cases}$
Решение 1. №196 (с. 303)
 
                                                                                                                        Решение 5. №196 (с. 303)
а)
Дана система уравнений:
$ \begin{cases} \log_4 x - \log_2 y = 0, \\ x^2 - 2y^2 = 8; \end{cases} $
Найдем область допустимых значений (ОДЗ). Аргументы логарифмов должны быть строго положительными:
$x > 0, y > 0$.
Преобразуем первое уравнение системы, используя формулу перехода к новому основанию логарифма $\log_{a^k} b = \frac{1}{k}\log_a b$:
$\log_4 x - \log_2 y = 0$
$\log_{2^2} x - \log_2 y = 0$
$\frac{1}{2}\log_2 x - \log_2 y = 0$
$\log_2 x^{1/2} = \log_2 y$
$\log_2 \sqrt{x} = \log_2 y$
Из равенства логарифмов следует равенство их аргументов:
$\sqrt{x} = y$
Так как $y > 0$, можно возвести обе части в квадрат: $x = y^2$.
Подставим выражение для $x$ во второе уравнение системы:
$(y^2)^2 - 2y^2 = 8$
$y^4 - 2y^2 - 8 = 0$
Это биквадратное уравнение. Сделаем замену $z = y^2$. Так как $y > 0$, то $z > 0$.
$z^2 - 2z - 8 = 0$
Решим полученное квадратное уравнение с помощью дискриминанта:
$D = (-2)^2 - 4 \cdot 1 \cdot (-8) = 4 + 32 = 36 = 6^2$
$z_1 = \frac{2 + 6}{2} = 4$
$z_2 = \frac{2 - 6}{2} = -2$
Корень $z_2 = -2$ не удовлетворяет условию $z > 0$. Следовательно, $z=4$.
Вернемся к переменной $y$:
$y^2 = 4$
Так как по ОДЗ $y > 0$, то $y = 2$.
Найдем $x$:
$x = y^2 = 2^2 = 4$.
Полученное решение $(4; 2)$ удовлетворяет ОДЗ ($4 > 0, 2 > 0$).
Проверим решение, подставив в исходную систему:
$\log_4 4 - \log_2 2 = 1 - 1 = 0$
$4^2 - 2 \cdot 2^2 = 16 - 2 \cdot 4 = 16 - 8 = 8$
Оба уравнения верны.
Ответ: $(4; 2)$.
б)
Дана система уравнений:
$ \begin{cases} 3^{2\sqrt{x} - \sqrt{y}} = 81, \\ \lg \sqrt{xy} = 1 + \lg 3; \end{cases} $
Найдем ОДЗ. Из-за наличия квадратных корней и логарифма, переменные должны удовлетворять условиям $x \ge 0, y \ge 0$ и $xy > 0$. Отсюда следует, что $x > 0, y > 0$.
Преобразуем первое уравнение:
$3^{2\sqrt{x} - \sqrt{y}} = 3^4$
$2\sqrt{x} - \sqrt{y} = 4$
Преобразуем второе уравнение, используя свойства логарифмов ($\lg 10 = 1$ и $\lg a + \lg b = \lg(ab)$):
$\lg \sqrt{xy} = \lg 10 + \lg 3$
$\lg \sqrt{xy} = \lg (10 \cdot 3)$
$\lg \sqrt{xy} = \lg 30$
$\sqrt{xy} = 30$
Возведем обе части в квадрат: $xy = 900$.
Получили новую систему:
$ \begin{cases} 2\sqrt{x} - \sqrt{y} = 4, \\ xy = 900; \end{cases} $
Из первого уравнения выразим $\sqrt{y} = 2\sqrt{x} - 4$. Так как $\sqrt{y} \ge 0$, то $2\sqrt{x} - 4 \ge 0$, откуда $\sqrt{x} \ge 2$ и $x \ge 4$.
Возведем в квадрат: $y = (2\sqrt{x} - 4)^2 = 4x - 16\sqrt{x} + 16$.
Подставим это во второе уравнение $xy=900$:
$x(4x - 16\sqrt{x} + 16) = 900$
Сделаем замену $t = \sqrt{x}$, тогда $x=t^2$. Условие $x \ge 4$ превращается в $t \ge 2$.
$t^2(4t^2 - 16t + 16) = 900$
$4t^4 - 16t^3 + 16t^2 - 900 = 0$
Разделим на 4: $t^4 - 4t^3 + 4t^2 - 225 = 0$
$(t^2 - 2t)^2 - 225 = 0$
$(t^2 - 2t - 15)(t^2 - 2t + 15) = 0$
Рассмотрим уравнение $t^2 - 2t + 15 = 0$. Дискриминант $D = (-2)^2 - 4 \cdot 1 \cdot 15 = 4 - 60 = -56 < 0$, действительных корней нет.
Рассмотрим уравнение $t^2 - 2t - 15 = 0$. Корни по теореме Виета: $t_1 = 5, t_2 = -3$.
Так как $t = \sqrt{x}$, то $t \ge 0$. Корень $t_2 = -3$ не подходит. Остается $t=5$, что удовлетворяет условию $t \ge 2$.
Вернемся к переменной $x$:
$\sqrt{x} = 5 \implies x = 25$.
Найдем $y$ из уравнения $xy=900$:
$y = \frac{900}{25} = 36$.
Решение $(25; 36)$ удовлетворяет ОДЗ ($25 > 0, 36 > 0$).
Проверка:
$3^{2\sqrt{25} - \sqrt{36}} = 3^{2 \cdot 5 - 6} = 3^{10-6} = 3^4 = 81$
$\lg\sqrt{25 \cdot 36} = \lg\sqrt{900} = \lg 30$. Также $1 + \lg 3 = \lg 10 + \lg 3 = \lg 30$.
Оба уравнения верны.
Ответ: $(25; 36)$.
в)
Дана система уравнений:
$ \begin{cases} \log_9 x - \log_3 y = 0, \\ x^2 - 5y^2 + 4 = 0; \end{cases} $
ОДЗ: $x > 0, y > 0$.
Преобразуем первое уравнение:
$\log_{3^2} x - \log_3 y = 0$
$\frac{1}{2}\log_3 x - \log_3 y = 0$
$\log_3 \sqrt{x} = \log_3 y$
$\sqrt{x} = y \implies x = y^2$.
Подставим $x = y^2$ во второе уравнение:
$(y^2)^2 - 5y^2 + 4 = 0$
$y^4 - 5y^2 + 4 = 0$
Сделаем замену $z = y^2$. Условие $z > 0$.
$z^2 - 5z + 4 = 0$
По теореме Виета, корни $z_1 = 1, z_2 = 4$. Оба корня положительны.
Рассмотрим оба случая:
1) $z = 1 \implies y^2 = 1$. Так как $y > 0$, то $y = 1$. Тогда $x = y^2 = 1^2 = 1$. Получили решение $(1; 1)$.
2) $z = 4 \implies y^2 = 4$. Так как $y > 0$, то $y = 2$. Тогда $x = y^2 = 2^2 = 4$. Получили решение $(4; 2)$.
Оба решения удовлетворяют ОДЗ.
Проверим решение $(1; 1)$:
$\log_9 1 - \log_3 1 = 0 - 0 = 0$
$1^2 - 5 \cdot 1^2 + 4 = 1 - 5 + 4 = 0$
Верно.
Проверим решение $(4; 2)$:
$\log_9 4 - \log_3 2 = \log_{3^2} 2^2 - \log_3 2 = \frac{2}{2}\log_3 2 - \log_3 2 = \log_3 2 - \log_3 2 = 0$
$4^2 - 5 \cdot 2^2 + 4 = 16 - 5 \cdot 4 + 4 = 16 - 20 + 4 = 0$
Верно.
Ответ: $(1; 1), (4; 2)$.
г)
Дана система уравнений:
$ \begin{cases} 2 \log_2 x - 3^y = 15, \\ 3^y \log_2 x = 2 \log_2 x + 3^{y+1}; \end{cases} $
ОДЗ: $x > 0$.
Сделаем замену переменных. Пусть $a = \log_2 x$ и $b = 3^y$. Так как $y$ может быть любым действительным числом, $b = 3^y > 0$.
Система примет вид:
$ \begin{cases} 2a - b = 15, \\ b \cdot a = 2a + 3b; \end{cases} $
Из первого уравнения выразим $b$: $b = 2a - 15$.
Так как $b > 0$, то $2a - 15 > 0$, откуда $a > 7.5$.
Подставим $b = 2a - 15$ во второе уравнение:
$(2a - 15)a = 2a + 3(2a - 15)$
$2a^2 - 15a = 2a + 6a - 45$
$2a^2 - 15a = 8a - 45$
$2a^2 - 23a + 45 = 0$
Решим квадратное уравнение для $a$:
$D = (-23)^2 - 4 \cdot 2 \cdot 45 = 529 - 360 = 169 = 13^2$
$a_1 = \frac{23 + 13}{4} = \frac{36}{4} = 9$
$a_2 = \frac{23 - 13}{4} = \frac{10}{4} = 2.5$
Проверим корни по условию $a > 7.5$.
$a_1 = 9$ удовлетворяет условию $9 > 7.5$.
$a_2 = 2.5$ не удовлетворяет условию $2.5 > 7.5$, поэтому это посторонний корень.
Итак, $a = 9$.
Найдем $b$: $b = 2a - 15 = 2 \cdot 9 - 15 = 18 - 15 = 3$.
Вернемся к исходным переменным:
$a = \log_2 x = 9 \implies x = 2^9 = 512$.
$b = 3^y = 3 \implies 3^y = 3^1 \implies y = 1$.
Получили решение $(512; 1)$. Оно удовлетворяет ОДЗ ($512 > 0$).
Проверка:
$2\log_2 512 - 3^1 = 2 \cdot 9 - 3 = 18 - 3 = 15$
$3^1 \log_2 512 = 3 \cdot 9 = 27$. И $2\log_2 512 + 3^{1+1} = 2 \cdot 9 + 3^2 = 18 + 9 = 27$.
Оба уравнения верны.
Ответ: $(512; 1)$.
Другие задания:
Помогло решение? Оставьте отзыв в комментариях ниже.
Присоединяйтесь к Телеграм-группе @top_gdz
ПрисоединитьсяМы подготовили для вас ответ c подробным объяснением домашего задания по алгебре за 10-11 класс, для упражнения номер 196 расположенного на странице 303 к учебнику 2008 года издания для учащихся школ и гимназий.
Теперь на нашем сайте ГДЗ.ТОП вы всегда легко и бесплатно найдёте условие с правильным ответом на вопрос «Как решить ДЗ» и «Как сделать» задание по алгебре к упражнению №196 (с. 303), авторов: Колмогоров (Андрей Николаевич), Абрамов (Александр Михайлович), Дудницын (Юрий Павлович), учебного пособия издательства Просвещение.
 
                     
                     
                     
                     
                     
                     
                     
                     
                     
                     
                     
                     
                     
                     
                     
                     
                     
                     
                    