Номер 260, страница 134 - гдз по алгебре 10-11 класс учебник Колмогоров, Абрамов
 
                                                Авторы: Колмогоров А. Н., Абрамов А. М., Дудницын Ю. П.
Тип: Учебник
Издательство: Просвещение
Год издания: 2008 - 2025
Цвет обложки: зелёный, чёрный
ISBN: 978-5-09-019513-3
Рекомендовано Министерством образования и науки Российской Федерации
Алгебра и начала математического анализа
Популярные ГДЗ в 10 классе
Глава 2. Производная и её применения. Параграф 5. Применения непрерывности и производной - номер 260, страница 134.
№260 (с. 134)
Условие. №260 (с. 134)
скриншот условия
 
                                                                                                                                        260. Под каким углом пересекается с осью $Oy$ график функции:
a) $f(x) = \frac{1}{x-1};$
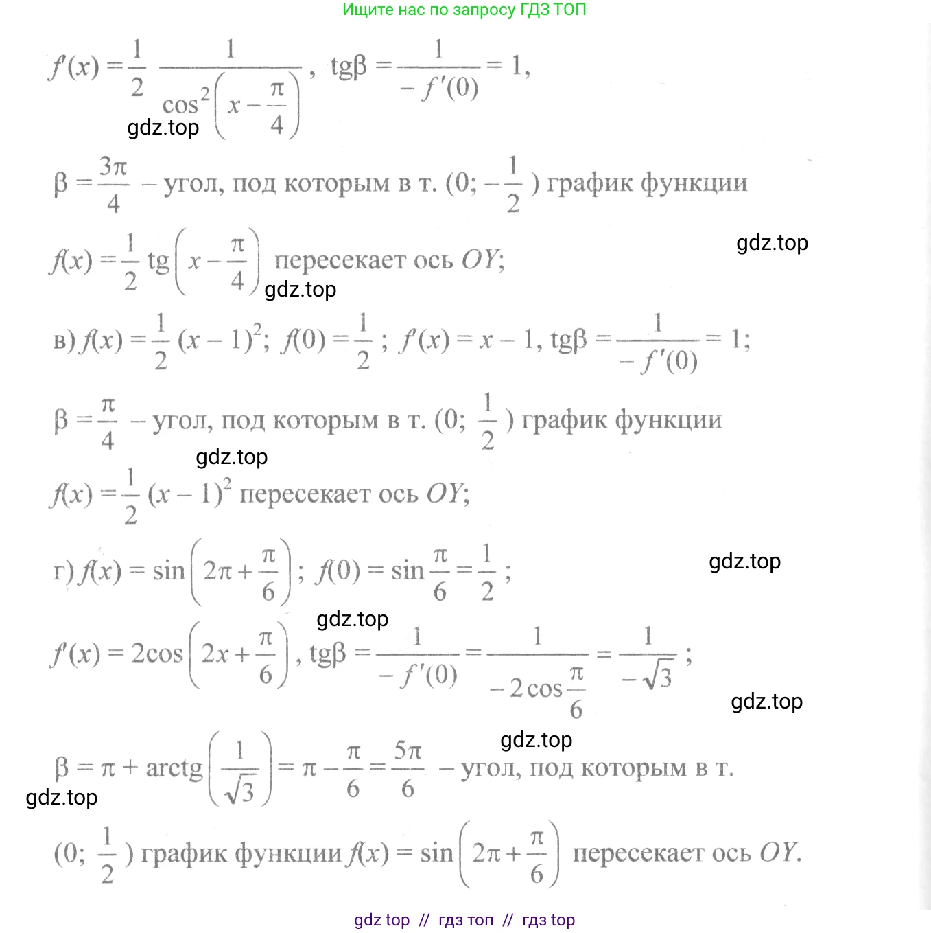
б) $f(x) = \frac{1}{2} \operatorname{tg}\left(x - \frac{\pi}{4}\right);$
в) $f(x) = \frac{1}{2}(x-1)^2;$
г) $f(x) = \sin\left(2x + \frac{\pi}{6}\right)?$
Решение 1. №260 (с. 134)
 
                                                                            
                                                                                                         
                                                                                                                        Решение 3. №260 (с. 134)
 
                                                                                                                        Решение 4. №260 (с. 134)
 
                                                                            
                                                                                                         
                                                                                                                        Решение 5. №260 (с. 134)
Угол, под которым график функции $y=f(x)$ пересекает ось $Oy$, — это угол $\alpha$, который образует касательная к графику в точке пересечения с положительным направлением оси $Ox$. Тангенс этого угла, также известный как угловой коэффициент касательной ($k$), равен значению производной функции $f'(x)$ в точке пересечения. Точка пересечения с осью $Oy$ имеет абсциссу $x_0=0$, поэтому $k = f'(0)$, а сам угол находится как $\alpha = \arctan(k)$.
а) $f(x) = \frac{1}{x-1}$
Находим производную функции:$f'(x) = \left(\frac{1}{x-1}\right)' = \left((x-1)^{-1}\right)' = -1 \cdot (x-1)^{-2} \cdot (x-1)' = -\frac{1}{(x-1)^2}$.
Вычисляем значение производной в точке $x=0$:$k = f'(0) = -\frac{1}{(0-1)^2} = -\frac{1}{1} = -1$.
Угол наклона касательной $\alpha$ равен:$\alpha = \arctan(-1) = 135^\circ$ (или $-\frac{\pi}{4}$ рад).
Ответ: $135^\circ$.
б) $f(x) = \frac{1}{2}\operatorname{tg}\left(x - \frac{\pi}{4}\right)$
Находим производную функции:$f'(x) = \left(\frac{1}{2}\operatorname{tg}\left(x - \frac{\pi}{4}\right)\right)' = \frac{1}{2} \cdot \frac{1}{\cos^2(x - \frac{\pi}{4})} \cdot (x - \frac{\pi}{4})' = \frac{1}{2\cos^2(x - \frac{\pi}{4})}$.
Вычисляем значение производной в точке $x=0$:$k = f'(0) = \frac{1}{2\cos^2(0 - \frac{\pi}{4})} = \frac{1}{2\cos^2(-\frac{\pi}{4})} = \frac{1}{2\left(\frac{\sqrt{2}}{2}\right)^2} = \frac{1}{2 \cdot \frac{2}{4}} = 1$.
Угол наклона касательной $\alpha$ равен:$\alpha = \arctan(1) = 45^\circ$ (или $\frac{\pi}{4}$ рад).
Ответ: $45^\circ$.
в) $f(x) = \frac{1}{2}(x-1)^2$
Находим производную функции:$f'(x) = \left(\frac{1}{2}(x-1)^2\right)' = \frac{1}{2} \cdot 2(x-1) \cdot (x-1)' = x-1$.
Вычисляем значение производной в точке $x=0$:$k = f'(0) = 0 - 1 = -1$.
Угол наклона касательной $\alpha$ равен:$\alpha = \arctan(-1) = 135^\circ$ (или $-\frac{\pi}{4}$ рад).
Ответ: $135^\circ$.
г) $f(x) = \sin\left(2x + \frac{\pi}{6}\right)$
Находим производную функции:$f'(x) = \left(\sin\left(2x + \frac{\pi}{6}\right)\right)' = \cos\left(2x + \frac{\pi}{6}\right) \cdot \left(2x + \frac{\pi}{6}\right)' = 2\cos\left(2x + \frac{\pi}{6}\right)$.
Вычисляем значение производной в точке $x=0$:$k = f'(0) = 2\cos\left(2 \cdot 0 + \frac{\pi}{6}\right) = 2\cos\left(\frac{\pi}{6}\right) = 2 \cdot \frac{\sqrt{3}}{2} = \sqrt{3}$.
Угол наклона касательной $\alpha$ равен:$\alpha = \arctan(\sqrt{3}) = 60^\circ$ (или $\frac{\pi}{3}$ рад).
Ответ: $60^\circ$.
Другие задания:
Помогло решение? Оставьте отзыв в комментариях ниже.
Присоединяйтесь к Телеграм-группе @top_gdz
ПрисоединитьсяМы подготовили для вас ответ c подробным объяснением домашего задания по алгебре за 10-11 класс, для упражнения номер 260 расположенного на странице 134 к учебнику 2008 года издания для учащихся школ и гимназий.
Теперь на нашем сайте ГДЗ.ТОП вы всегда легко и бесплатно найдёте условие с правильным ответом на вопрос «Как решить ДЗ» и «Как сделать» задание по алгебре к упражнению №260 (с. 134), авторов: Колмогоров (Андрей Николаевич), Абрамов (Александр Михайлович), Дудницын (Юрий Павлович), учебного пособия издательства Просвещение.
 
                     
                     
                     
                     
                     
                     
                     
                     
                     
                     
                     
                     
                     
                     
                     
                     
                     
                     
                    