Номер 256, страница 134 - гдз по алгебре 10-11 класс учебник Колмогоров, Абрамов
 
                                                Авторы: Колмогоров А. Н., Абрамов А. М., Дудницын Ю. П.
Тип: Учебник
Издательство: Просвещение
Год издания: 2008 - 2025
Цвет обложки: зелёный, чёрный
ISBN: 978-5-09-019513-3
Рекомендовано Министерством образования и науки Российской Федерации
Алгебра и начала математического анализа
Популярные ГДЗ в 10 классе
Глава 2. Производная и её применения. Параграф 5. Применения непрерывности и производной - номер 256, страница 134.
№256 (с. 134)
Условие. №256 (с. 134)
скриншот условия
 
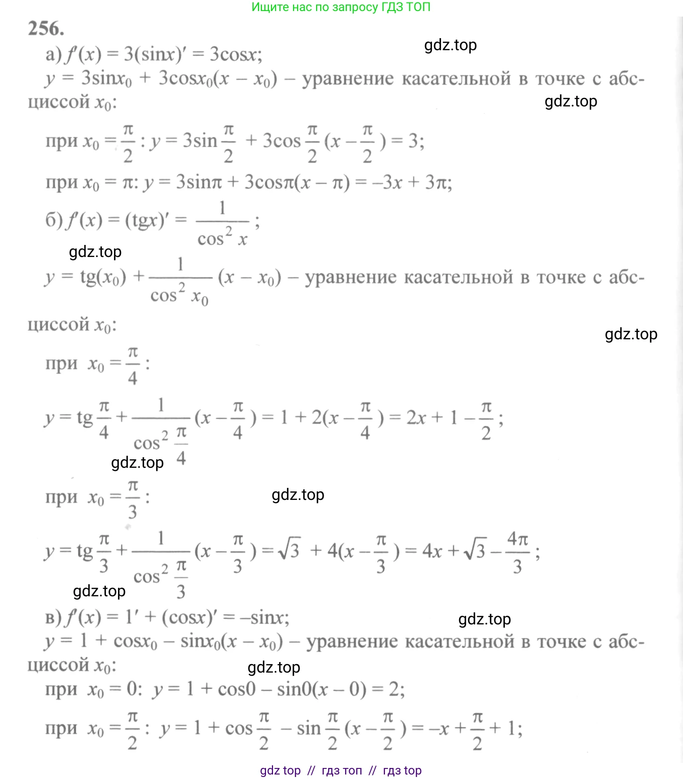
                                                                                                                                        256. а) $f(x) = 3 \sin x, x_0 = \frac{\pi}{2}, x_0 = \pi;$
б) $f(x) = \operatorname{tg} x, x_0 = \frac{\pi}{4}, x_0 = \frac{\pi}{3};$
в) $f(x) = 1 + \cos x, x_0 = 0, x_0 = \frac{\pi}{2};$
г) $f(x) = -2 \sin x, x_0 = -\frac{\pi}{2}, x_0 = \pi.$
Решение 1. №256 (с. 134)
 
                                                                            
                                                                                                         
                                                                                                                        Решение 3. №256 (с. 134)
 
                                                                            
                                                                                                         
                                                                                                                        Решение 4. №256 (с. 134)
 
                                                                            
                                                                                                         
                                                                                                                        Решение 5. №256 (с. 134)
а) Дана функция $f(x) = 3 \sin x$ и точки $x_0 = \frac{\pi}{2}$ и $x_0 = \pi$.
Задача состоит в том, чтобы найти значение производной функции $f(x)$ в указанных точках $x_0$.
1. Находим производную функции $f(x)$. Используем правило дифференцирования произведения константы на функцию и производную синуса: $(c \cdot u)' = c \cdot u'$ и $(\sin x)' = \cos x$.
$f'(x) = (3 \sin x)' = 3 \cdot (\sin x)' = 3 \cos x$.
2. Вычисляем значение производной в каждой из заданных точек, подставляя значение $x_0$ в выражение для $f'(x)$.
Для точки $x_0 = \frac{\pi}{2}$:
$f'(\frac{\pi}{2}) = 3 \cos(\frac{\pi}{2}) = 3 \cdot 0 = 0$.
Для точки $x_0 = \pi$:
$f'(\pi) = 3 \cos(\pi) = 3 \cdot (-1) = -3$.
Ответ: $f'(\frac{\pi}{2}) = 0$; $f'(\pi) = -3$.
б) Дана функция $f(x) = \operatorname{tg} x$ и точки $x_0 = \frac{\pi}{4}$ и $x_0 = \frac{\pi}{3}$.
1. Находим производную функции $f(x)$. Производная тангенса равна $(\operatorname{tg} x)' = \frac{1}{\cos^2 x}$.
$f'(x) = \frac{1}{\cos^2 x}$.
2. Вычисляем значение производной в каждой из заданных точек.
Для точки $x_0 = \frac{\pi}{4}$:
$f'(\frac{\pi}{4}) = \frac{1}{\cos^2(\frac{\pi}{4})} = \frac{1}{(\frac{\sqrt{2}}{2})^2} = \frac{1}{\frac{2}{4}} = \frac{1}{\frac{1}{2}} = 2$.
Для точки $x_0 = \frac{\pi}{3}$:
$f'(\frac{\pi}{3}) = \frac{1}{\cos^2(\frac{\pi}{3})} = \frac{1}{(\frac{1}{2})^2} = \frac{1}{\frac{1}{4}} = 4$.
Ответ: $f'(\frac{\pi}{4}) = 2$; $f'(\frac{\pi}{3}) = 4$.
в) Дана функция $f(x) = 1 + \cos x$ и точки $x_0 = 0$ и $x_0 = \frac{\pi}{2}$.
1. Находим производную функции $f(x)$. Используем правило дифференцирования суммы, производную константы и производную косинуса: $(u+v)' = u' + v'$, $(C)'=0$ и $(\cos x)' = -\sin x$.
$f'(x) = (1 + \cos x)' = (1)' + (\cos x)' = 0 - \sin x = -\sin x$.
2. Вычисляем значение производной в каждой из заданных точек.
Для точки $x_0 = 0$:
$f'(0) = -\sin(0) = -0 = 0$.
Для точки $x_0 = \frac{\pi}{2}$:
$f'(\frac{\pi}{2}) = -\sin(\frac{\pi}{2}) = -1$.
Ответ: $f'(0) = 0$; $f'(\frac{\pi}{2}) = -1$.
г) Дана функция $f(x) = -2 \sin x$ и точки $x_0 = -\frac{\pi}{2}$ и $x_0 = \pi$.
1. Находим производную функции $f(x)$.
$f'(x) = (-2 \sin x)' = -2 \cdot (\sin x)' = -2 \cos x$.
2. Вычисляем значение производной в каждой из заданных точек.
Для точки $x_0 = -\frac{\pi}{2}$:
Поскольку функция косинус является четной ($\cos(-x) = \cos(x)$), имеем:
$f'(-\frac{\pi}{2}) = -2 \cos(-\frac{\pi}{2}) = -2 \cos(\frac{\pi}{2}) = -2 \cdot 0 = 0$.
Для точки $x_0 = \pi$:
$f'(\pi) = -2 \cos(\pi) = -2 \cdot (-1) = 2$.
Ответ: $f'(-\frac{\pi}{2}) = 0$; $f'(\pi) = 2$.
Другие задания:
Помогло решение? Оставьте отзыв в комментариях ниже.
Присоединяйтесь к Телеграм-группе @top_gdz
ПрисоединитьсяМы подготовили для вас ответ c подробным объяснением домашего задания по алгебре за 10-11 класс, для упражнения номер 256 расположенного на странице 134 к учебнику 2008 года издания для учащихся школ и гимназий.
Теперь на нашем сайте ГДЗ.ТОП вы всегда легко и бесплатно найдёте условие с правильным ответом на вопрос «Как решить ДЗ» и «Как сделать» задание по алгебре к упражнению №256 (с. 134), авторов: Колмогоров (Андрей Николаевич), Абрамов (Александр Михайлович), Дудницын (Юрий Павлович), учебного пособия издательства Просвещение.
 
                     
                     
                     
                     
                     
                     
                     
                     
                     
                     
                     
                     
                     
                     
                     
                     
                     
                     
                    