Номер 310, страница 158 - гдз по алгебре 10-11 класс учебник Колмогоров, Абрамов
 
                                                Авторы: Колмогоров А. Н., Абрамов А. М., Дудницын Ю. П.
Тип: Учебник
Издательство: Просвещение
Год издания: 2008 - 2025
Цвет обложки: зелёный, чёрный
ISBN: 978-5-09-019513-3
Рекомендовано Министерством образования и науки Российской Федерации
Алгебра и начала математического анализа
Популярные ГДЗ в 10 классе
Глава 2. Производная и её применения. Параграф 6. Применения производной к исследованию функции - номер 310, страница 158.
№310 (с. 158)
Условие. №310 (с. 158)
скриншот условия
 
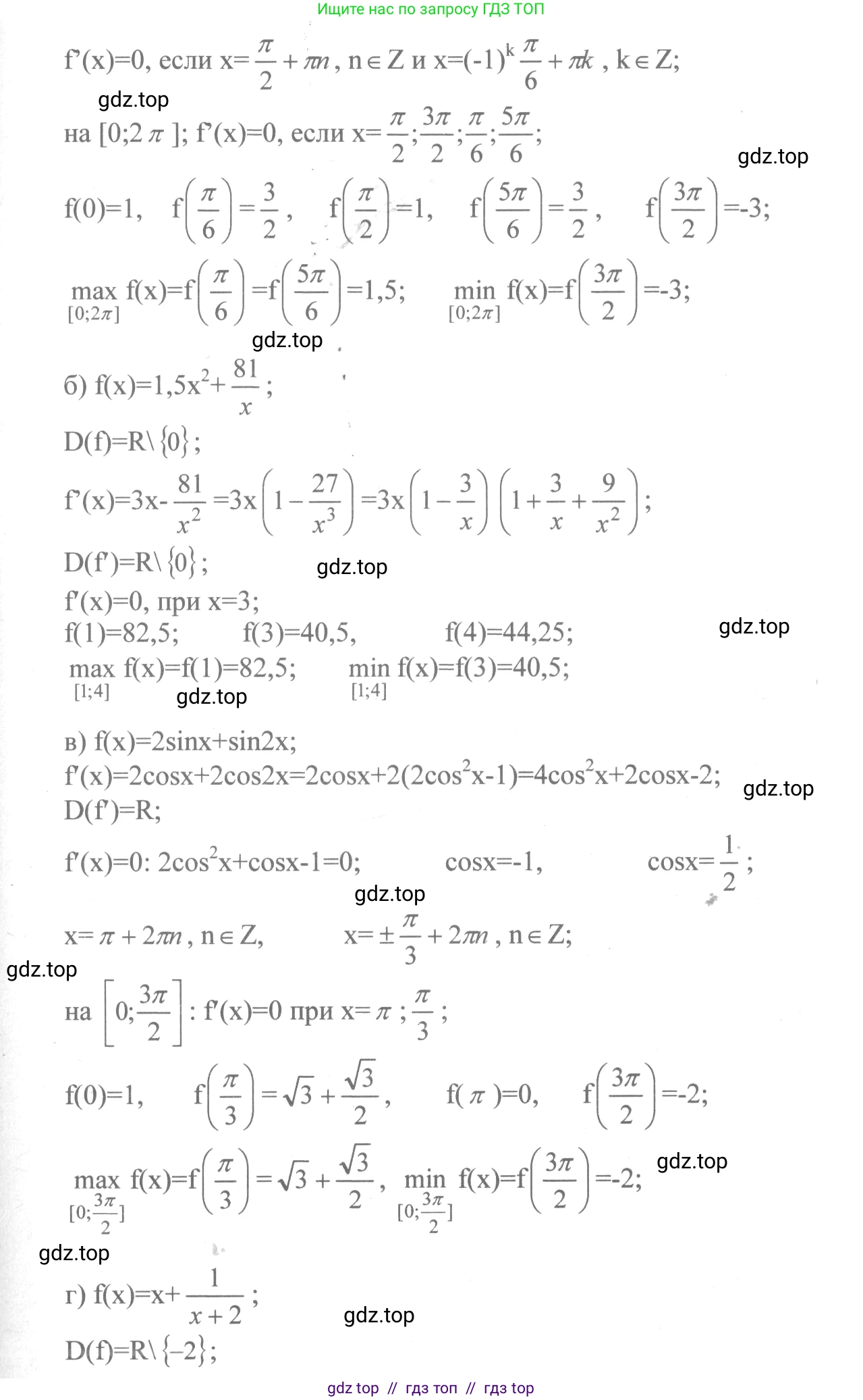
                                                                                                                                        310.— Найдите наибольшее и наименьшее значения функции $f$ на данном промежутке:
а) $f(x) = 2 \sin x + \cos 2x$, $[0; 2\pi]$;
б) $f(x) = 1,5x^2 + \frac{81}{x}$, $[1; 4]$;
в) $f(x) = 2 \sin x + \sin 2x$, $[0; \frac{3\pi}{2}]$;
г) $f(x) = x + \frac{1}{x+2}$, $[-5; -2,5]$.
Решение 1. №310 (с. 158)
 
                                                                            
                                                                                                         
                                                                            
                                                                                                         
                                                                                                                        Решение 3. №310 (с. 158)
 
                                                                            
                                                                                                         
                                                                                                                        Решение 5. №310 (с. 158)
а)
Чтобы найти наибольшее и наименьшее значения функции $f(x) = 2 \sin x + \cos 2x$ на промежутке $[0; 2\pi]$, мы воспользуемся алгоритмом исследования функции на отрезке.
1. Найдем производную функции $f(x)$. Используем формулу косинуса двойного угла $\cos 2x = 1 - 2\sin^2 x$, чтобы упростить выражение, но для нахождения производной это не обязательно. $f'(x) = (2 \sin x + \cos 2x)' = 2 \cos x - 2 \sin 2x$.
2. Найдем критические точки, приравняв производную к нулю: $f'(x) = 0$. $2 \cos x - 2 \sin 2x = 0$. Используя формулу синуса двойного угла $\sin 2x = 2 \sin x \cos x$, получаем: $2 \cos x - 2(2 \sin x \cos x) = 0$ $2 \cos x (1 - 2 \sin x) = 0$. Это равенство выполняется, если $\cos x = 0$ или $1 - 2 \sin x = 0$.
3. Решим полученные уравнения на промежутке $[0; 2\pi]$: Из $\cos x = 0$ получаем $x_1 = \frac{\pi}{2}$ и $x_2 = \frac{3\pi}{2}$. Из $1 - 2 \sin x = 0$, то есть $\sin x = \frac{1}{2}$, получаем $x_3 = \frac{\pi}{6}$ и $x_4 = \frac{5\pi}{6}$. Все найденные критические точки принадлежат отрезку $[0; 2\pi]$.
4. Вычислим значения функции в этих критических точках и на концах отрезка: $f(0) = 2 \sin(0) + \cos(0) = 0 + 1 = 1$. $f(2\pi) = 2 \sin(2\pi) + \cos(4\pi) = 0 + 1 = 1$. $f(\frac{\pi}{6}) = 2 \sin(\frac{\pi}{6}) + \cos(\frac{\pi}{3}) = 2 \cdot \frac{1}{2} + \frac{1}{2} = 1 + 0,5 = 1,5$. $f(\frac{5\pi}{6}) = 2 \sin(\frac{5\pi}{6}) + \cos(\frac{5\pi}{3}) = 2 \cdot \frac{1}{2} + \frac{1}{2} = 1 + 0,5 = 1,5$. $f(\frac{\pi}{2}) = 2 \sin(\frac{\pi}{2}) + \cos(\pi) = 2 \cdot 1 - 1 = 1$. $f(\frac{3\pi}{2}) = 2 \sin(\frac{3\pi}{2}) + \cos(3\pi) = 2 \cdot (-1) + (-1) = -2 - 1 = -3$.
5. Сравнивая вычисленные значения $\{1; 1,5; 1; -3\}$, заключаем, что наибольшее значение функции равно $1,5$, а наименьшее равно $-3$.
Ответ: наибольшее значение: $1,5$; наименьшее значение: $-3$.
б)
Найдем наибольшее и наименьшее значения функции $f(x) = 1,5x^2 + \frac{81}{x}$ на промежутке $[1; 4]$.
1. Найдем производную функции: $f'(x) = (1,5x^2 + 81x^{-1})' = 1,5 \cdot 2x - 81x^{-2} = 3x - \frac{81}{x^2}$.
2. Найдем критические точки, решив уравнение $f'(x) = 0$: $3x - \frac{81}{x^2} = 0$. $3x = \frac{81}{x^2}$. $3x^3 = 81$. $x^3 = 27$. $x = 3$. Производная не существует в точке $x=0$, но эта точка не входит в заданный промежуток $[1; 4]$.
3. Критическая точка $x=3$ принадлежит отрезку $[1; 4]$.
4. Вычислим значения функции в критической точке $x=3$ и на концах отрезка $x=1$ и $x=4$: $f(1) = 1,5(1)^2 + \frac{81}{1} = 1,5 + 81 = 82,5$. $f(3) = 1,5(3)^2 + \frac{81}{3} = 1,5 \cdot 9 + 27 = 13,5 + 27 = 40,5$. $f(4) = 1,5(4)^2 + \frac{81}{4} = 1,5 \cdot 16 + 20,25 = 24 + 20,25 = 44,25$.
5. Сравнивая значения $\{82,5; 40,5; 44,25\}$, видим, что наибольшее значение функции равно $82,5$, а наименьшее равно $40,5$.
Ответ: наибольшее значение: $82,5$; наименьшее значение: $40,5$.
в)
Найдем наибольшее и наименьшее значения функции $f(x) = 2 \sin x + \sin 2x$ на промежутке $[0; \frac{3\pi}{2}]$.
1. Найдем производную функции: $f'(x) = (2 \sin x + \sin 2x)' = 2 \cos x + 2 \cos 2x$.
2. Найдем критические точки из уравнения $f'(x) = 0$: $2 \cos x + 2 \cos 2x = 0$. $\cos x + \cos 2x = 0$. Используем формулу $\cos 2x = 2\cos^2 x - 1$: $\cos x + 2\cos^2 x - 1 = 0$. $2\cos^2 x + \cos x - 1 = 0$. Сделаем замену $y = \cos x$, получим квадратное уравнение $2y^2 + y - 1 = 0$. Корни этого уравнения: $y_1 = \frac{-1 + \sqrt{1^2 - 4 \cdot 2 \cdot (-1)}}{2 \cdot 2} = \frac{-1+3}{4} = \frac{1}{2}$ и $y_2 = \frac{-1-3}{4} = -1$.
3. Вернемся к переменной $x$: $\cos x = \frac{1}{2}$ или $\cos x = -1$. На промежутке $[0; \frac{3\pi}{2}]$ решениями являются: Из $\cos x = \frac{1}{2}$ получаем $x = \frac{\pi}{3}$. Из $\cos x = -1$ получаем $x = \pi$.
4. Вычислим значения функции в критических точках $x=\frac{\pi}{3}$, $x=\pi$ и на концах отрезка $x=0$ и $x=\frac{3\pi}{2}$: $f(0) = 2 \sin(0) + \sin(0) = 0$. $f(\frac{3\pi}{2}) = 2 \sin(\frac{3\pi}{2}) + \sin(3\pi) = 2(-1) + 0 = -2$. $f(\frac{\pi}{3}) = 2 \sin(\frac{\pi}{3}) + \sin(\frac{2\pi}{3}) = 2 \cdot \frac{\sqrt{3}}{2} + \frac{\sqrt{3}}{2} = \frac{3\sqrt{3}}{2}$. $f(\pi) = 2 \sin(\pi) + \sin(2\pi) = 0 + 0 = 0$.
5. Сравнивая значения $\{0; -2; \frac{3\sqrt{3}}{2}\}$, ($\frac{3\sqrt{3}}{2} \approx 2,598$), находим, что наибольшее значение функции равно $\frac{3\sqrt{3}}{2}$, а наименьшее равно $-2$.
Ответ: наибольшее значение: $\frac{3\sqrt{3}}{2}$; наименьшее значение: $-2$.
г)
Найдем наибольшее и наименьшее значения функции $f(x) = x + \frac{1}{x+2}$ на промежутке $[-5; -2,5]$.
1. Найдем производную функции: $f'(x) = (x + (x+2)^{-1})' = 1 - (x+2)^{-2} = 1 - \frac{1}{(x+2)^2}$.
2. Найдем критические точки из уравнения $f'(x) = 0$: $1 - \frac{1}{(x+2)^2} = 0$. $\frac{1}{(x+2)^2} = 1$. $(x+2)^2 = 1$. $x+2 = 1$ или $x+2 = -1$. $x_1 = -1$, $x_2 = -3$.
3. Проверим принадлежность критических точек отрезку $[-5; -2,5]$: $x_1 = -1$ не принадлежит отрезку. $x_2 = -3$ принадлежит отрезку.
4. Вычислим значения функции в критической точке $x=-3$ и на концах отрезка $x=-5$ и $x=-2,5$: $f(-5) = -5 + \frac{1}{-5+2} = -5 + \frac{1}{-3} = -5 - \frac{1}{3} = -\frac{16}{3}$. $f(-3) = -3 + \frac{1}{-3+2} = -3 + \frac{1}{-1} = -3 - 1 = -4$. $f(-2,5) = -2,5 + \frac{1}{-2,5+2} = -2,5 + \frac{1}{-0,5} = -2,5 - 2 = -4,5 = -\frac{9}{2}$.
5. Сравним полученные значения: $\{-\frac{16}{3}; -4; -4,5\}$. Так как $-\frac{16}{3} = -5,333...$, то $-\frac{16}{3} < -4,5 < -4$. Наибольшее значение функции равно $-4$, а наименьшее равно $-\frac{16}{3}$.
Ответ: наибольшее значение: $-4$; наименьшее значение: $-\frac{16}{3}$.
Другие задания:
Помогло решение? Оставьте отзыв в комментариях ниже.
Присоединяйтесь к Телеграм-группе @top_gdz
ПрисоединитьсяМы подготовили для вас ответ c подробным объяснением домашего задания по алгебре за 10-11 класс, для упражнения номер 310 расположенного на странице 158 к учебнику 2008 года издания для учащихся школ и гимназий.
Теперь на нашем сайте ГДЗ.ТОП вы всегда легко и бесплатно найдёте условие с правильным ответом на вопрос «Как решить ДЗ» и «Как сделать» задание по алгебре к упражнению №310 (с. 158), авторов: Колмогоров (Андрей Николаевич), Абрамов (Александр Михайлович), Дудницын (Юрий Павлович), учебного пособия издательства Просвещение.
 
                     
                     
                     
                     
                     
                     
                     
                     
                     
                     
                     
                     
                     
                     
                     
                     
                     
                     
                    