Номер 1.13, страница 5, часть 2 - гдз по алгебре 10-11 класс задачник Мордкович, Семенов


Авторы: Мордкович А. Г., Семенов П. В., Денищева Л. О., Корешкова Т. А., Мишустина Т. Н., Тульчинская Е. Е.
Тип: Задачник
Издательство: Мнемозина
Год издания: 2019 - 2025
Уровень обучения: базовый
Часть: 2
Цвет обложки:
ISBN: 978-5-346-04509-0 (общ.), 978-5-346-04510-6 (ч. 1), 978-5-346-04511-3 (ч. 2)
Рекомендовано Министерством образования и науки Российской Федерации
Математика: алгебра и начала математического анализа, геометрия
Популярные ГДЗ в 10 классе
§1. Определение числовой функции и способы её задания. Глава 1. Числовые функции. ч. 2 - номер 1.13, страница 5.
№1.13 (с. 5)
Условие. №1.13 (с. 5)
скриншот условия

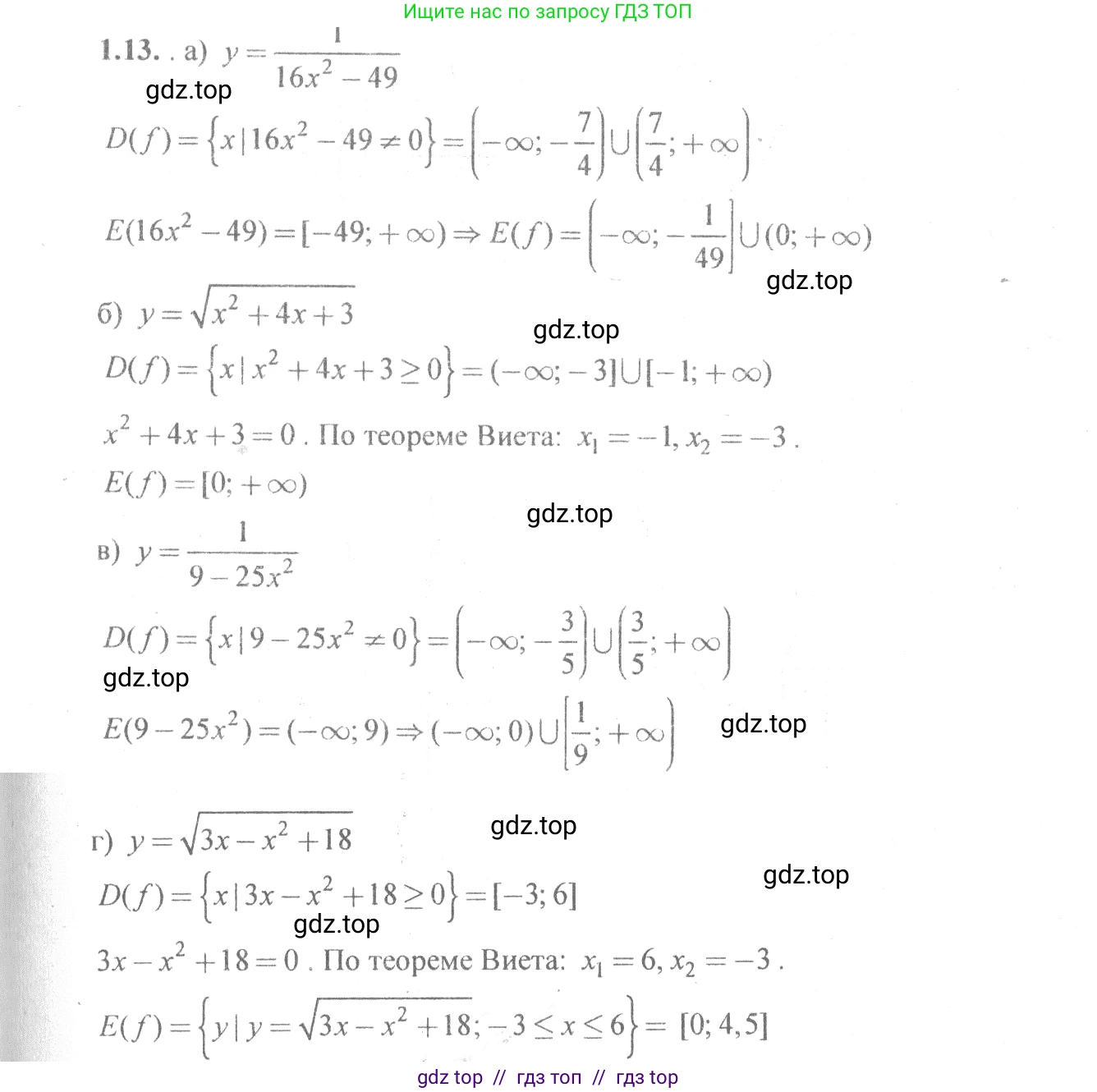
1.13 Найдите область определения и область значений функции:
a) $y = \frac{1}{16x^2 - 49}$;
в) $y = \frac{1}{9 - 25x^2}$;
б) $y = \sqrt{x^2 + 4x + 3}$;
г) $y = \sqrt{3x - x^2 + 18}$.
Решение 1. №1.13 (с. 5)

Решение 2. №1.13 (с. 5)


Решение 3. №1.13 (с. 5)

Решение 5. №1.13 (с. 5)




Решение 6. №1.13 (с. 5)
а) $y = \frac{1}{16x^2 - 49}$
Область определения:
Функция определена для всех значений $x$, при которых знаменатель дроби не равен нулю. Найдем значения $x$, при которых знаменатель обращается в ноль:
$16x^2 - 49 = 0$
$16x^2 = 49$
$x^2 = \frac{49}{16}$
$x = \pm\sqrt{\frac{49}{16}}$
$x = \pm\frac{7}{4}$
Таким образом, область определения функции ($D(y)$) — это все действительные числа, кроме $x = -\frac{7}{4}$ и $x = \frac{7}{4}$.
$D(y): x \in (-\infty; -\frac{7}{4}) \cup (-\frac{7}{4}; \frac{7}{4}) \cup (\frac{7}{4}; +\infty)$.
Область значений:
Чтобы найти область значений ($E(y)$), исследуем, какие значения может принимать знаменатель $z = 16x^2 - 49$. Это парабола с ветвями вверх, ее вершина находится в точке $x=0$, где $z = 16(0)^2 - 49 = -49$. Это минимальное значение знаменателя. Таким образом, знаменатель может принимать значения в диапазоне $[-49, +\infty)$. Однако, мы уже установили, что $z \neq 0$. Следовательно, множество значений знаменателя: $[-49, 0) \cup (0, +\infty)$.
Рассмотрим, какие значения принимает $y = \frac{1}{z}$:
- Если $z$ принимает значения из интервала $(0, +\infty)$, то $y$ принимает значения $(0, +\infty)$.
- Если $z$ принимает значения из интервала $[-49, 0)$, то $y$ принимает значения $(-\infty, -\frac{1}{49}]$.
Объединяя эти два случая, получаем область значений функции.
$E(y): y \in (-\infty; -\frac{1}{49}] \cup (0; +\infty)$.
Ответ: Область определения: $x \in (-\infty; -\frac{7}{4}) \cup (-\frac{7}{4}; \frac{7}{4}) \cup (\frac{7}{4}; +\infty)$. Область значений: $y \in (-\infty; -\frac{1}{49}] \cup (0; +\infty)$.
б) $y = \sqrt{x^2 + 4x + 3}$
Область определения:
Функция определена, когда подкоренное выражение неотрицательно:
$x^2 + 4x + 3 \ge 0$
Найдем корни квадратного трехчлена $x^2 + 4x + 3 = 0$. По теореме Виета, корни $x_1 = -3$ и $x_2 = -1$.
График функции $f(x) = x^2 + 4x + 3$ — это парабола с ветвями вверх. Неравенство выполняется на промежутках, где парабола находится выше или на оси абсцисс, то есть вне интервала между корнями.
$D(y): x \in (-\infty; -3] \cup [-1; +\infty)$.
Область значений:
По определению, арифметический квадратный корень всегда принимает неотрицательные значения, поэтому $y \ge 0$.
Рассмотрим подкоренное выражение $u(x) = x^2 + 4x + 3$ на области определения. Минимальное значение этого выражения достигается на границах области определения, то есть в точках $x=-3$ и $x=-1$. В этих точках $u(-3) = u(-1) = 0$. При $x \to \pm\infty$, $u(x) \to +\infty$.
Таким образом, подкоренное выражение принимает значения из промежутка $[0, +\infty)$. Следовательно, функция $y = \sqrt{u}$ будет принимать значения от $\sqrt{0}$ до $+\infty$.
$E(y): y \in [0; +\infty)$.
Ответ: Область определения: $x \in (-\infty; -3] \cup [-1; +\infty)$. Область значений: $y \in [0; +\infty)$.
в) $y = \frac{1}{9 - 25x^2}$
Область определения:
Знаменатель дроби не должен быть равен нулю:
$9 - 25x^2 \neq 0$
$25x^2 \neq 9$
$x^2 \neq \frac{9}{25}$
$x \neq \pm\frac{3}{5}$
$D(y): x \in (-\infty; -\frac{3}{5}) \cup (-\frac{3}{5}; \frac{3}{5}) \cup (\frac{3}{5}; +\infty)$.
Область значений:
Рассмотрим знаменатель $z = 9 - 25x^2$. Это парабола с ветвями вниз, ее вершина находится в точке $x=0$, где $z = 9 - 25(0)^2 = 9$. Это максимальное значение знаменателя. Таким образом, знаменатель принимает значения в диапазоне $(-\infty, 9]$. Так как $z \neq 0$, множество значений знаменателя: $(-\infty, 0) \cup (0, 9]$.
Рассмотрим, какие значения принимает $y = \frac{1}{z}$:
- Если $z$ принимает значения из интервала $(0, 9]$, то $y$ принимает значения $[\frac{1}{9}, +\infty)$.
- Если $z$ принимает значения из интервала $(-\infty, 0)$, то $y$ принимает значения $(-\infty, 0)$.
Объединяя эти два случая, получаем область значений функции.
$E(y): y \in (-\infty; 0) \cup [\frac{1}{9}; +\infty)$.
Ответ: Область определения: $x \in (-\infty; -0.6) \cup (-0.6; 0.6) \cup (0.6; +\infty)$. Область значений: $y \in (-\infty; 0) \cup [\frac{1}{9}; +\infty)$.
г) $y = \sqrt{3x - x^2 + 18}$
Область определения:
Подкоренное выражение должно быть неотрицательно:
$-x^2 + 3x + 18 \ge 0$
Умножим неравенство на -1, изменив знак на противоположный:
$x^2 - 3x - 18 \le 0$
Найдем корни уравнения $x^2 - 3x - 18 = 0$. По теореме Виета, корни $x_1 = 6$ и $x_2 = -3$.
График функции $f(x) = x^2 - 3x - 18$ — это парабола с ветвями вверх. Неравенство $\le 0$ выполняется на промежутке между корнями, включая сами корни.
$D(y): x \in [-3; 6]$.
Область значений:
Функция $y$ принимает неотрицательные значения, $y \ge 0$. Чтобы найти максимальное значение $y$, нужно найти максимальное значение подкоренного выражения $u(x) = -x^2 + 3x + 18$ на отрезке $[-3; 6]$.
График $u(x)$ — парабола с ветвями вниз. Максимальное значение достигается в вершине. Координата вершины по оси $x$:
$x_v = -\frac{b}{2a} = -\frac{3}{2(-1)} = \frac{3}{2} = 1.5$.
Так как $1.5 \in [-3; 6]$, то максимальное значение подкоренного выражения будет в этой точке:
$u_{max} = -(1.5)^2 + 3(1.5) + 18 = -2.25 + 4.5 + 18 = 20.25 = \frac{81}{4}$.
Минимальное значение подкоренного выражения на области определения равно 0 (в точках $x=-3$ и $x=6$).
Следовательно, подкоренное выражение принимает значения из отрезка $[0; 20.25]$. Тогда функция $y$ принимает значения от $\sqrt{0}$ до $\sqrt{20.25}$.
$y_{min} = 0$
$y_{max} = \sqrt{20.25} = \sqrt{\frac{81}{4}} = \frac{9}{2} = 4.5$
$E(y): y \in [0; 4.5]$.
Ответ: Область определения: $x \in [-3; 6]$. Область значений: $y \in [0; 4.5]$.
Другие задания:
Помогло решение? Оставьте отзыв в комментариях ниже.
Мы подготовили для вас ответ c подробным объяснением домашего задания по алгебре за 10-11 класс, для упражнения номер 1.13 расположенного на странице 5 для 2-й части к задачнику 2019 года издания для учащихся школ и гимназий.
Теперь на нашем сайте ГДЗ.ТОП вы всегда легко и бесплатно найдёте условие с правильным ответом на вопрос «Как решить ДЗ» и «Как сделать» задание по алгебре к упражнению №1.13 (с. 5), авторов: Мордкович (Александр Григорьевич), Семенов (Павел Владимирович), Денищева (Лариса Олеговна), Корешкова (Т А), Мишустина (Татьяна Николаевна), Тульчинская (Елена Ефимовна), 2-й части ФГОС (старый) базовый уровень обучения учебного пособия издательства Мнемозина.