Номер 29.21, страница 108, часть 2 - гдз по алгебре 10-11 класс задачник Мордкович, Семенов


Авторы: Мордкович А. Г., Семенов П. В., Денищева Л. О., Корешкова Т. А., Мишустина Т. Н., Тульчинская Е. Е.
Тип: Задачник
Издательство: Мнемозина
Год издания: 2019 - 2025
Уровень обучения: базовый
Часть: 2
Цвет обложки:
ISBN: 978-5-346-04509-0 (общ.), 978-5-346-04510-6 (ч. 1), 978-5-346-04511-3 (ч. 2)
Рекомендовано Министерством образования и науки Российской Федерации
Математика: алгебра и начала математического анализа, геометрия
Популярные ГДЗ в 10 классе
§29. Уравнение касательной к графику функции. Глава 5. Производная. ч. 2 - номер 29.21, страница 108.
№29.21 (с. 108)
Условие. №29.21 (с. 108)
скриншот условия

В каких точках касательная к графику заданной функции $y = f(x)$ параллельна заданной прямой $y = kx + m$:
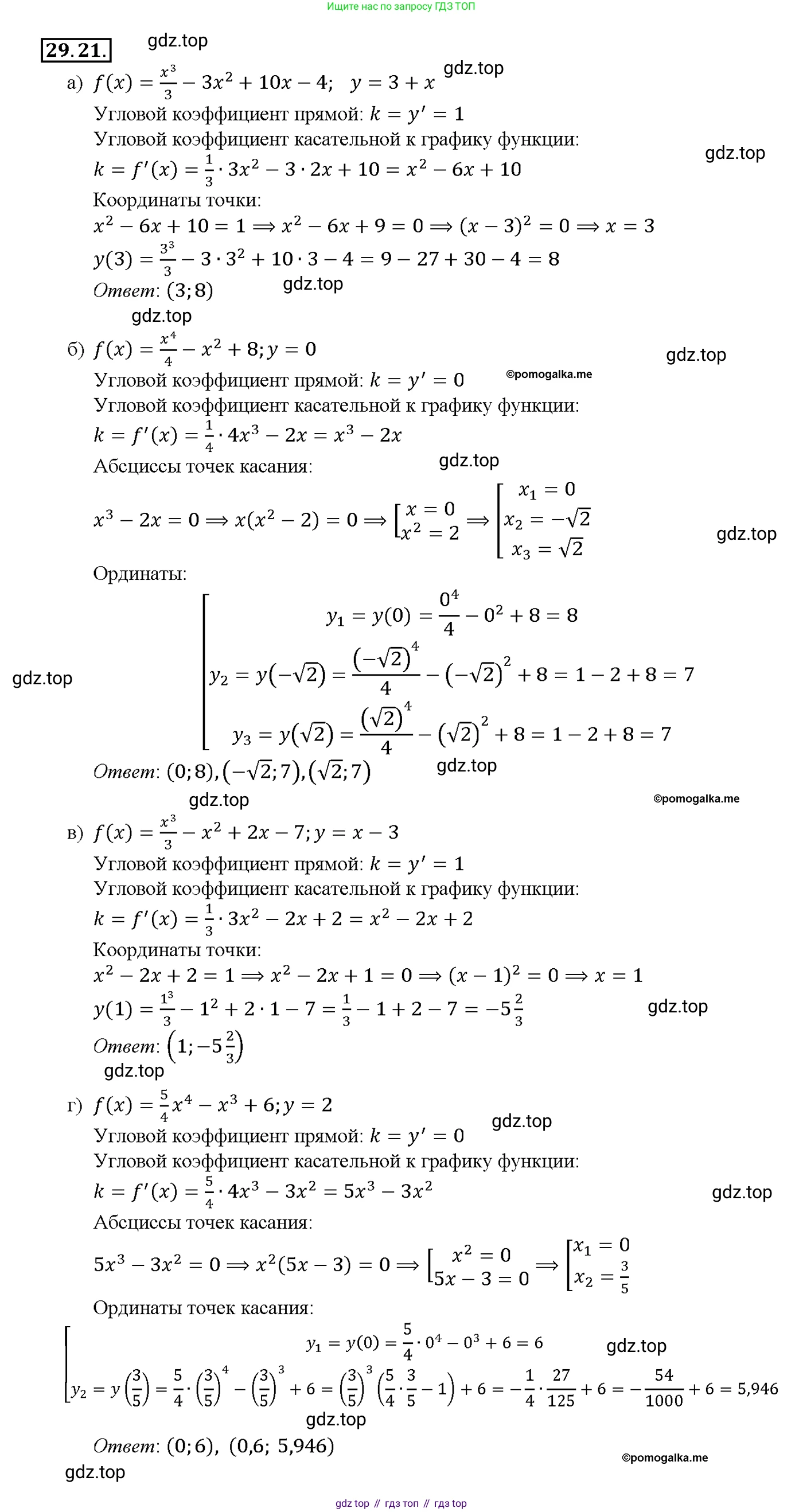
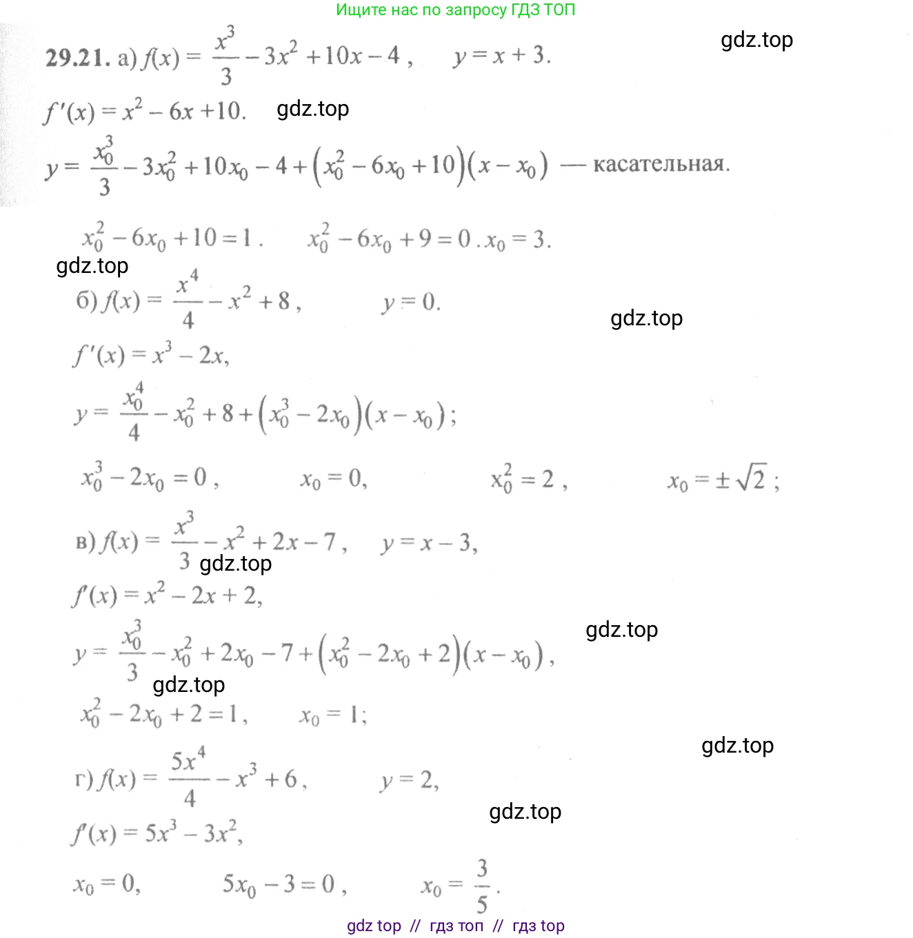
29.21 a) $f(x) = \frac{x^3}{3} - 3x^2 + 10x - 4$, $y = 3 + x$;
б) $f(x) = \frac{x^4}{4} - x^2 + 8$, $y = 0$;
в) $f(x) = \frac{x^3}{3} - x^2 + 2x - 7$, $y = x - 3$;
г) $f(x) = \frac{5}{4}x^4 - x^3 + 6$, $y = 2?
Решение 1. №29.21 (с. 108)

Решение 2. №29.21 (с. 108)


Решение 3. №29.21 (с. 108)

Решение 5. №29.21 (с. 108)



Решение 6. №29.21 (с. 108)
Для того чтобы касательная к графику функции $y = f(x)$ в некоторой точке была параллельна прямой $y = kx + m$, необходимо и достаточно, чтобы их угловые коэффициенты были равны. Угловой коэффициент прямой $y = kx + m$ равен $k$. Угловой коэффициент касательной к графику функции в точке с абсциссой $x_0$ равен значению производной этой функции в данной точке, то есть $f'(x_0)$. Следовательно, для нахождения абсцисс искомых точек необходимо решить уравнение $f'(x) = k$. После нахождения абсцисс $x_i$, мы находим соответствующие ординаты $y_i = f(x_i)$, чтобы получить координаты точек $(x_i, y_i)$.
а) Дана функция $f(x) = \frac{x^3}{3} - 3x^2 + 10x - 4$ и прямая $y = 3 + x$.
1. Запишем уравнение прямой в виде $y = kx + m$: $y = x + 3$. Угловой коэффициент этой прямой $k=1$.
2. Найдем производную функции $f(x)$:
$f'(x) = \left(\frac{x^3}{3} - 3x^2 + 10x - 4\right)' = \frac{3x^2}{3} - 3 \cdot 2x + 10 = x^2 - 6x + 10$.
3. Приравняем производную к угловому коэффициенту прямой, чтобы найти абсциссы точек касания:
$f'(x) = k \implies x^2 - 6x + 10 = 1$.
Решим полученное квадратное уравнение:
$x^2 - 6x + 9 = 0$
$(x - 3)^2 = 0$
$x = 3$.
4. Мы нашли абсциссу точки касания $x_0 = 3$. Теперь найдем ординату этой точки, подставив $x_0$ в исходную функцию $f(x)$:
$y_0 = f(3) = \frac{3^3}{3} - 3(3^2) + 10(3) - 4 = 9 - 27 + 30 - 4 = 8$.
Таким образом, касательная к графику функции параллельна заданной прямой в точке $(3, 8)$.
Ответ: $(3, 8)$.
б) Дана функция $f(x) = \frac{x^4}{4} - x^2 + 8$ и прямая $y = 0$.
1. Прямая $y = 0$ является горизонтальной, ее угловой коэффициент $k=0$.
2. Найдем производную функции $f(x)$:
$f'(x) = \left(\frac{x^4}{4} - x^2 + 8\right)' = \frac{4x^3}{4} - 2x = x^3 - 2x$.
3. Приравняем производную к угловому коэффициенту прямой:
$f'(x) = k \implies x^3 - 2x = 0$.
Решим уравнение, вынеся $x$ за скобки:
$x(x^2 - 2) = 0$.
Отсюда получаем три решения: $x_1 = 0$, $x^2 = 2 \implies x_{2,3} = \pm\sqrt{2}$.
4. Найдем ординаты для каждой из найденных абсцисс:
При $x_1 = 0$: $y_1 = f(0) = \frac{0^4}{4} - 0^2 + 8 = 8$. Точка $(0, 8)$.
При $x_2 = \sqrt{2}$: $y_2 = f(\sqrt{2}) = \frac{(\sqrt{2})^4}{4} - (\sqrt{2})^2 + 8 = \frac{4}{4} - 2 + 8 = 1 - 2 + 8 = 7$. Точка $(\sqrt{2}, 7)$.
При $x_3 = -\sqrt{2}$: $y_3 = f(-\sqrt{2}) = \frac{(-\sqrt{2})^4}{4} - (-\sqrt{2})^2 + 8 = \frac{4}{4} - 2 + 8 = 1 - 2 + 8 = 7$. Точка $(-\sqrt{2}, 7)$.
Касательная параллельна прямой $y=0$ в трех точках.
Ответ: $(0, 8)$, $(\sqrt{2}, 7)$, $(-\sqrt{2}, 7)$.
в) Дана функция $f(x) = \frac{x^3}{3} - x^2 + 2x - 7$ и прямая $y = x - 3$.
1. Прямая $y = x - 3$ имеет угловой коэффициент $k=1$.
2. Найдем производную функции $f(x)$:
$f'(x) = \left(\frac{x^3}{3} - x^2 + 2x - 7\right)' = \frac{3x^2}{3} - 2x + 2 = x^2 - 2x + 2$.
3. Приравняем производную к угловому коэффициенту прямой:
$f'(x) = k \implies x^2 - 2x + 2 = 1$.
Решим полученное уравнение:
$x^2 - 2x + 1 = 0$
$(x - 1)^2 = 0$
$x = 1$.
4. Мы нашли абсциссу точки касания $x_0 = 1$. Найдем ординату этой точки:
$y_0 = f(1) = \frac{1^3}{3} - 1^2 + 2(1) - 7 = \frac{1}{3} - 1 + 2 - 7 = \frac{1}{3} - 6 = \frac{1-18}{3} = -\frac{17}{3}$.
Таким образом, искомая точка имеет координаты $(1, -17/3)$.
Ответ: $(1, -\frac{17}{3})$.
г) Дана функция $f(x) = \frac{5}{4}x^4 - x^3 + 6$ и прямая $y = 2$.
1. Прямая $y = 2$ является горизонтальной, ее угловой коэффициент $k=0$.
2. Найдем производную функции $f(x)$:
$f'(x) = \left(\frac{5}{4}x^4 - x^3 + 6\right)' = \frac{5}{4} \cdot 4x^3 - 3x^2 = 5x^3 - 3x^2$.
3. Приравняем производную к угловому коэффициенту прямой:
$f'(x) = k \implies 5x^3 - 3x^2 = 0$.
Решим уравнение, вынеся $x^2$ за скобки:
$x^2(5x - 3) = 0$.
Отсюда получаем два решения: $x_1 = 0$ и $5x - 3 = 0 \implies x_2 = \frac{3}{5}$.
4. Найдем ординаты для каждой из этих абсцисс:
При $x_1 = 0$: $y_1 = f(0) = \frac{5}{4}(0)^4 - (0)^3 + 6 = 6$. Точка $(0, 6)$.
При $x_2 = \frac{3}{5}$: $y_2 = f(\frac{3}{5}) = \frac{5}{4}\left(\frac{3}{5}\right)^4 - \left(\frac{3}{5}\right)^3 + 6 = \frac{5}{4} \cdot \frac{81}{625} - \frac{27}{125} + 6 = \frac{81}{500} - \frac{27 \cdot 4}{125 \cdot 4} + 6 = \frac{81 - 108}{500} + 6 = -\frac{27}{500} + \frac{3000}{500} = \frac{2973}{500}$. Точка $(\frac{3}{5}, \frac{2973}{500})$.
Касательная параллельна прямой $y=2$ в двух точках.
Ответ: $(0, 6)$, $(\frac{3}{5}, \frac{2973}{500})$.
Другие задания:
Помогло решение? Оставьте отзыв в комментариях ниже.
Мы подготовили для вас ответ c подробным объяснением домашего задания по алгебре за 10-11 класс, для упражнения номер 29.21 расположенного на странице 108 для 2-й части к задачнику 2019 года издания для учащихся школ и гимназий.
Теперь на нашем сайте ГДЗ.ТОП вы всегда легко и бесплатно найдёте условие с правильным ответом на вопрос «Как решить ДЗ» и «Как сделать» задание по алгебре к упражнению №29.21 (с. 108), авторов: Мордкович (Александр Григорьевич), Семенов (Павел Владимирович), Денищева (Лариса Олеговна), Корешкова (Т А), Мишустина (Татьяна Николаевна), Тульчинская (Елена Ефимовна), 2-й части ФГОС (старый) базовый уровень обучения учебного пособия издательства Мнемозина.