Номер 29.22, страница 108, часть 2 - гдз по алгебре 10-11 класс задачник Мордкович, Семенов


Авторы: Мордкович А. Г., Семенов П. В., Денищева Л. О., Корешкова Т. А., Мишустина Т. Н., Тульчинская Е. Е.
Тип: Задачник
Издательство: Мнемозина
Год издания: 2019 - 2025
Уровень обучения: базовый
Часть: 2
Цвет обложки:
ISBN: 978-5-346-04509-0 (общ.), 978-5-346-04510-6 (ч. 1), 978-5-346-04511-3 (ч. 2)
Рекомендовано Министерством образования и науки Российской Федерации
Математика: алгебра и начала математического анализа, геометрия
Популярные ГДЗ в 10 классе
§29. Уравнение касательной к графику функции. Глава 5. Производная. ч. 2 - номер 29.22, страница 108.
№29.22 (с. 108)
Условие. №29.22 (с. 108)
скриншот условия

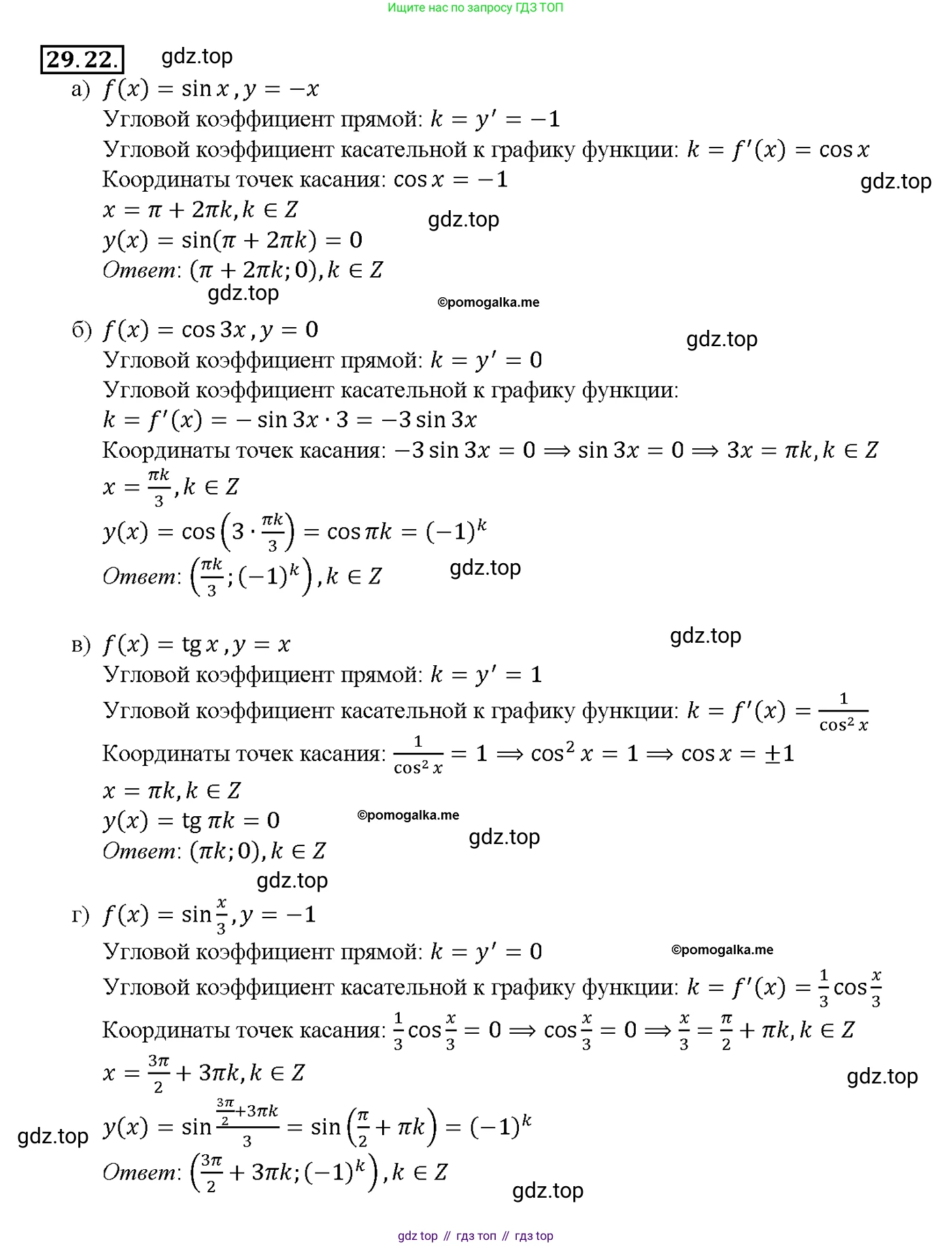
29.22 a) $f(x) = \sin x, y = -x$;
б) $f(x) = \cos 3x, y = 0$;
В) $f(x) = \text{tg } x, y = x$;
Г) $f(x) = \sin \frac{x}{3}, y = -1?$;
Решение 1. №29.22 (с. 108)

Решение 2. №29.22 (с. 108)


Решение 3. №29.22 (с. 108)

Решение 5. №29.22 (с. 108)



Решение 6. №29.22 (с. 108)
а) Чтобы найти точки пересечения графиков функций $f(x) = \sin x$ и $y = -x$, необходимо решить уравнение $f(x) = y$, то есть $\sin x = -x$.
Перенесем все члены уравнения в одну сторону: $\sin x + x = 0$.
Очевидно, что $x=0$ является решением данного уравнения, так как $\sin 0 + 0 = 0 + 0 = 0$.
Чтобы определить, есть ли другие решения, рассмотрим функцию $g(x) = \sin x + x$. Найдем ее производную: $g'(x) = (\sin x + x)' = \cos x + 1$.
Так как область значений функции косинус $[-1, 1]$, то производная $g'(x)$ всегда неотрицательна: $0 \le \cos x + 1 \le 2$. Поскольку производная равна нулю только в отдельных точках (при $x = \pi + 2\pi k$, $k \in Z$), функция $g(x)$ является строго возрастающей на всей числовой прямой. Строго возрастающая функция может принимать любое свое значение, в том числе и 0, только один раз.
Следовательно, $x=0$ — это единственное решение уравнения. Найдем соответствующую ординату: $y = -0 = 0$.
Ответ: $(0, 0)$.
б) Чтобы найти точки пересечения графиков функций $f(x) = \cos 3x$ и $y = 0$, необходимо решить уравнение $\cos 3x = 0$.
Это частный случай тригонометрического уравнения. Решение уравнения $\cos t = 0$ имеет вид $t = \frac{\pi}{2} + \pi k$, где $k$ — любое целое число ($k \in Z$).
В нашем случае $t = 3x$. Приравниваем: $3x = \frac{\pi}{2} + \pi k$.
Чтобы найти $x$, разделим обе части уравнения на 3: $x = \frac{\pi}{6} + \frac{\pi k}{3}$, где $k \in Z$.
Ордината всех точек пересечения равна $y=0$.
Ответ: $(\frac{\pi}{6} + \frac{\pi k}{3}, 0)$, где $k \in Z$.
в) Чтобы найти точки пересечения графиков функций $f(x) = \operatorname{tg} x$ и $y = x$, необходимо решить уравнение $\operatorname{tg} x = x$.
Методом подбора можно найти одно решение: $x=0$, так как $\operatorname{tg} 0 = 0$. Этой точке соответствует точка пересечения с координатами $(0, 0)$.
Данное уравнение является трансцендентным. Графический анализ показывает, что кроме $x=0$, существует бесконечное множество других решений, так как прямая $y=x$ пересекает каждую ветвь графика $y=\operatorname{tg} x$. Эти решения не могут быть выражены через элементарные функции и находятся численными методами.
В рамках школьного курса обычно достаточно указать очевидное решение.
Ответ: $(0, 0)$.
г) Чтобы найти точки пересечения графиков функций $f(x) = \sin^2 \frac{x}{3}$ и $y = -1$, необходимо решить уравнение $\sin^2 \frac{x}{3} = -1$.
Функция синус принимает значения в диапазоне $[-1, 1]$. Следовательно, квадрат синуса, $\sin^2 \frac{x}{3}$, может принимать значения только в диапазоне $[0, 1]$.
Таким образом, выражение $\sin^2 \frac{x}{3}$ всегда является неотрицательным числом. Уравнение $\sin^2 \frac{x}{3} = -1$ не имеет решений в действительных числах, так как неотрицательная величина не может быть равна отрицательному числу.
Это означает, что графики данных функций не пересекаются.
Ответ: решений нет.
Другие задания:
Помогло решение? Оставьте отзыв в комментариях ниже.
Мы подготовили для вас ответ c подробным объяснением домашего задания по алгебре за 10-11 класс, для упражнения номер 29.22 расположенного на странице 108 для 2-й части к задачнику 2019 года издания для учащихся школ и гимназий.
Теперь на нашем сайте ГДЗ.ТОП вы всегда легко и бесплатно найдёте условие с правильным ответом на вопрос «Как решить ДЗ» и «Как сделать» задание по алгебре к упражнению №29.22 (с. 108), авторов: Мордкович (Александр Григорьевич), Семенов (Павел Владимирович), Денищева (Лариса Олеговна), Корешкова (Т А), Мишустина (Татьяна Николаевна), Тульчинская (Елена Ефимовна), 2-й части ФГОС (старый) базовый уровень обучения учебного пособия издательства Мнемозина.