Номер 56.29, страница 222, часть 2 - гдз по алгебре 10-11 класс задачник Мордкович, Семенов


Авторы: Мордкович А. Г., Семенов П. В., Денищева Л. О., Корешкова Т. А., Мишустина Т. Н., Тульчинская Е. Е.
Тип: Задачник
Издательство: Мнемозина
Год издания: 2019 - 2025
Уровень обучения: базовый
Часть: 2
Цвет обложки:
ISBN: 978-5-346-04509-0 (общ.), 978-5-346-04510-6 (ч. 1), 978-5-346-04511-3 (ч. 2)
Рекомендовано Министерством образования и науки Российской Федерации
Математика: алгебра и начала математического анализа, геометрия
Популярные ГДЗ в 10 классе
§56. Общие методы решения уравнений. Глава 10. Уравнения и неравенства. Системы уравнений и неравенств. ч. 2 - номер 56.29, страница 222.
№56.29 (с. 222)
Условие. №56.29 (с. 222)
скриншот условия

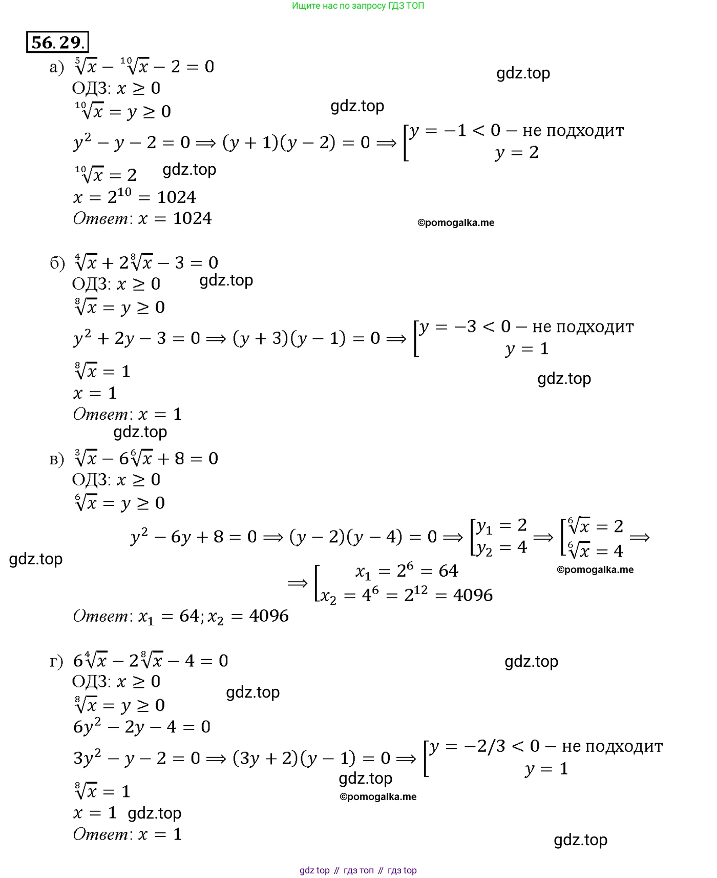
56.29 a) $ \sqrt[5]{x} - \sqrt[10]{x} - 2 = 0; $
б) $ \sqrt[4]{x} + 2\sqrt[8]{x} - 3 = 0; $
В) $ \sqrt[3]{x} - 6\sqrt[6]{x} + 8 = 0; $
Г) $ 3\sqrt[4]{x} - \sqrt[8]{x} - 2 = 0. $
Решение 1. №56.29 (с. 222)

Решение 2. №56.29 (с. 222)


Решение 5. №56.29 (с. 222)



Решение 6. №56.29 (с. 222)
а)
Исходное уравнение: $\sqrt[5]{x} - \sqrt[10]{x} - 2 = 0$.
Область допустимых значений (ОДЗ) для этого уравнения определяется наличием корня четной степени ($\sqrt[10]{x}$), поэтому $x \ge 0$.
Заметим, что $\sqrt[5]{x} = (\sqrt[10]{x})^2$. Сделаем замену переменной. Пусть $t = \sqrt[10]{x}$. Поскольку корень четной степени не может быть отрицательным, $t \ge 0$.
Подставив $t$ в исходное уравнение, получим квадратное уравнение:
$t^2 - t - 2 = 0$
Найдем корни этого уравнения с помощью дискриминанта:
$D = b^2 - 4ac = (-1)^2 - 4 \cdot 1 \cdot (-2) = 1 + 8 = 9$
$t_{1,2} = \frac{-b \pm \sqrt{D}}{2a} = \frac{1 \pm \sqrt{9}}{2} = \frac{1 \pm 3}{2}$
$t_1 = \frac{1+3}{2} = 2$
$t_2 = \frac{1-3}{2} = -1$
Проверим корни на соответствие условию $t \ge 0$.
Корень $t_1 = 2$ удовлетворяет условию $t \ge 0$.
Корень $t_2 = -1$ не удовлетворяет условию $t \ge 0$, поэтому является посторонним.
Выполним обратную замену для $t_1 = 2$:
$\sqrt[10]{x} = 2$
Возведем обе части уравнения в 10-ю степень, чтобы найти $x$:
$x = 2^{10} = 1024$
Полученное значение $x=1024$ удовлетворяет ОДЗ ($x \ge 0$).
Ответ: $1024$.
б)
Исходное уравнение: $\sqrt[4]{x} + 2\sqrt[8]{x} - 3 = 0$.
ОДЗ: $x \ge 0$ (из-за наличия корней $\sqrt[4]{x}$ и $\sqrt[8]{x}$).
Заметим, что $\sqrt[4]{x} = (\sqrt[8]{x})^2$. Сделаем замену переменной. Пусть $t = \sqrt[8]{x}$, при этом $t \ge 0$.
Уравнение принимает вид:
$t^2 + 2t - 3 = 0$
Найдем корни. По теореме Виета:
$t_1 + t_2 = -2$
$t_1 \cdot t_2 = -3$
Подбором находим корни $t_1 = 1$ и $t_2 = -3$.
Проверим корни на соответствие условию $t \ge 0$.
Корень $t_1 = 1$ подходит.
Корень $t_2 = -3$ не подходит.
Выполним обратную замену для $t_1 = 1$:
$\sqrt[8]{x} = 1$
Возведем обе части в 8-ю степень:
$x = 1^8 = 1$
Значение $x=1$ удовлетворяет ОДЗ.
Ответ: $1$.
в)
Исходное уравнение: $\sqrt[3]{x} - 6\sqrt[6]{x} + 8 = 0$.
ОДЗ: $x \ge 0$ (из-за наличия корня $\sqrt[6]{x}$).
Заметим, что $\sqrt[3]{x} = (\sqrt[6]{x})^2$. Сделаем замену переменной. Пусть $t = \sqrt[6]{x}$, при этом $t \ge 0$.
Уравнение принимает вид:
$t^2 - 6t + 8 = 0$
Найдем корни. По теореме Виета:
$t_1 + t_2 = 6$
$t_1 \cdot t_2 = 8$
Подбором находим корни $t_1 = 2$ и $t_2 = 4$.
Оба корня удовлетворяют условию $t \ge 0$.
Выполним обратную замену для каждого корня.
1) $\sqrt[6]{x} = 2$
$x_1 = 2^6 = 64$
2) $\sqrt[6]{x} = 4$
$x_2 = 4^6 = (2^2)^6 = 2^{12} = 4096$
Оба значения $x_1=64$ и $x_2=4096$ удовлетворяют ОДЗ.
Ответ: $64; 4096$.
г)
Исходное уравнение: $3\sqrt[4]{x} - \sqrt[8]{x} - 2 = 0$.
ОДЗ: $x \ge 0$ (из-за наличия корней $\sqrt[4]{x}$ и $\sqrt[8]{x}$).
Заметим, что $\sqrt[4]{x} = (\sqrt[8]{x})^2$. Сделаем замену переменной. Пусть $t = \sqrt[8]{x}$, при этом $t \ge 0$.
Уравнение принимает вид:
$3t^2 - t - 2 = 0$
Найдем корни этого уравнения с помощью дискриминанта:
$D = b^2 - 4ac = (-1)^2 - 4 \cdot 3 \cdot (-2) = 1 + 24 = 25$
$t_{1,2} = \frac{-b \pm \sqrt{D}}{2a} = \frac{1 \pm \sqrt{25}}{2 \cdot 3} = \frac{1 \pm 5}{6}$
$t_1 = \frac{1+5}{6} = 1$
$t_2 = \frac{1-5}{6} = -\frac{4}{6} = -\frac{2}{3}$
Проверим корни на соответствие условию $t \ge 0$.
Корень $t_1 = 1$ подходит.
Корень $t_2 = -2/3$ не подходит.
Выполним обратную замену для $t_1 = 1$:
$\sqrt[8]{x} = 1$
Возведем обе части в 8-ю степень:
$x = 1^8 = 1$
Значение $x=1$ удовлетворяет ОДЗ.
Ответ: $1$.
Другие задания:
Помогло решение? Оставьте отзыв в комментариях ниже.
Мы подготовили для вас ответ c подробным объяснением домашего задания по алгебре за 10-11 класс, для упражнения номер 56.29 расположенного на странице 222 для 2-й части к задачнику 2019 года издания для учащихся школ и гимназий.
Теперь на нашем сайте ГДЗ.ТОП вы всегда легко и бесплатно найдёте условие с правильным ответом на вопрос «Как решить ДЗ» и «Как сделать» задание по алгебре к упражнению №56.29 (с. 222), авторов: Мордкович (Александр Григорьевич), Семенов (Павел Владимирович), Денищева (Лариса Олеговна), Корешкова (Т А), Мишустина (Татьяна Николаевна), Тульчинская (Елена Ефимовна), 2-й части ФГОС (старый) базовый уровень обучения учебного пособия издательства Мнемозина.