Номер 56.38, страница 223, часть 2 - гдз по алгебре 10-11 класс задачник Мордкович, Семенов


Авторы: Мордкович А. Г., Семенов П. В., Денищева Л. О., Корешкова Т. А., Мишустина Т. Н., Тульчинская Е. Е.
Тип: Задачник
Издательство: Мнемозина
Год издания: 2019 - 2025
Уровень обучения: базовый
Часть: 2
Цвет обложки:
ISBN: 978-5-346-04509-0 (общ.), 978-5-346-04510-6 (ч. 1), 978-5-346-04511-3 (ч. 2)
Рекомендовано Министерством образования и науки Российской Федерации
Математика: алгебра и начала математического анализа, геометрия
Популярные ГДЗ в 10 классе
§56. Общие методы решения уравнений. Глава 10. Уравнения и неравенства. Системы уравнений и неравенств. ч. 2 - номер 56.38, страница 223.
№56.38 (с. 223)
Условие. №56.38 (с. 223)
скриншот условия

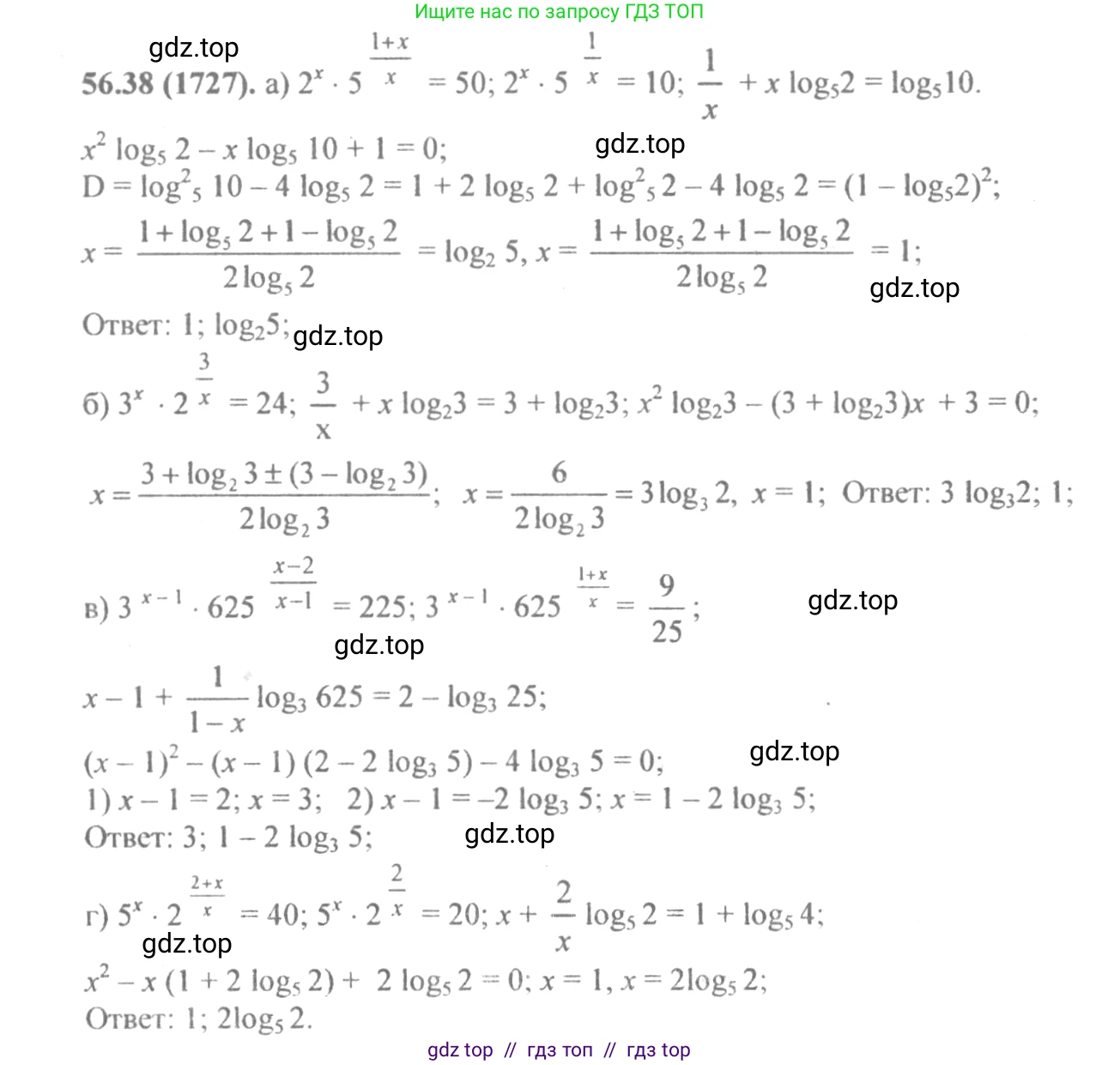
56.38 a) $2^x \cdot 5^{\frac{1+x}{x}} = 50;$
б) $3^x \cdot 2^{\frac{3}{x}} = 24;$
в) $3^{x-1} \cdot 625^{\frac{x-2}{x-1}} = 225;$
г) $5^x \cdot 2^{\frac{2-x}{x}} = 40.$
Решение 1. №56.38 (с. 223)

Решение 2. №56.38 (с. 223)



Решение 5. №56.38 (с. 223)



Решение 6. №56.38 (с. 223)
а) $2^x \cdot 5^{\frac{1+x}{x}} = 50$
Область допустимых значений (ОДЗ) для данного уравнения: $x \neq 0$.
Преобразуем показатель степени у числа 5: $\frac{1+x}{x} = \frac{1}{x} + \frac{x}{x} = \frac{1}{x} + 1$.
Подставим это в исходное уравнение:
$2^x \cdot 5^{\frac{1}{x} + 1} = 50$
Используя свойство степени $a^{m+n} = a^m \cdot a^n$, получаем:
$2^x \cdot 5^{\frac{1}{x}} \cdot 5^1 = 50$
Разделим обе части уравнения на 5:
$2^x \cdot 5^{\frac{1}{x}} = 10$
Прологарифмируем обе части уравнения по основанию 10:
$\lg(2^x \cdot 5^{\frac{1}{x}}) = \lg(10)$
$x \lg 2 + \frac{1}{x} \lg 5 = 1$
Умножим обе части на $x$ (так как $x \neq 0$):
$x^2 \lg 2 + \lg 5 = x$
$x^2 \lg 2 - x + \lg 5 = 0$
Это квадратное уравнение относительно $x$. Найдем дискриминант $D$:
$D = (-1)^2 - 4(\lg 2)(\lg 5) = 1 - 4\lg 2 \lg 5$
Так как $\lg 5 = \lg(10/2) = \lg 10 - \lg 2 = 1 - \lg 2$, то:
$D = 1 - 4\lg 2 (1 - \lg 2) = 1 - 4\lg 2 + 4(\lg 2)^2 = (1 - 2\lg 2)^2$
Найдем корни уравнения:
$x = \frac{1 \pm \sqrt{(1-2\lg 2)^2}}{2\lg 2} = \frac{1 \pm (1-2\lg 2)}{2\lg 2}$
Первый корень:
$x_1 = \frac{1 + (1 - 2\lg 2)}{2\lg 2} = \frac{2 - 2\lg 2}{2\lg 2} = \frac{1 - \lg 2}{\lg 2} = \frac{\lg 5}{\lg 2} = \log_2 5$
Второй корень:
$x_2 = \frac{1 - (1 - 2\lg 2)}{2\lg 2} = \frac{2\lg 2}{2\lg 2} = 1$
Оба корня удовлетворяют ОДЗ.
Ответ: $1; \log_2 5$.
б) $3^x \cdot 2^{\frac{3}{x}} = 24$
ОДЗ: $x \neq 0$.
Представим правую часть уравнения в виде произведения степеней с основаниями 3 и 2:
$24 = 3 \cdot 8 = 3^1 \cdot 2^3$
Тогда уравнение примет вид:
$3^x \cdot 2^{\frac{3}{x}} = 3^1 \cdot 2^3$
Сравнивая показатели степеней при одинаковых основаниях, можно предположить, что решением является система:
$\begin{cases} x = 1 \\ \frac{3}{x} = 3 \end{cases}$
Подставляя $x=1$ во второе уравнение, получаем $\frac{3}{1}=3$, что является верным равенством. Значит, $x=1$ является корнем уравнения.
Чтобы найти все возможные корни, прологарифмируем обе части исходного уравнения по основанию 10:
$x \lg 3 + \frac{3}{x} \lg 2 = \lg 24$
Умножим на $x$ ($x \neq 0$):
$x^2 \lg 3 + 3 \lg 2 = x \lg 24$
$x^2 \lg 3 - x \lg 24 + 3 \lg 2 = 0$
Это квадратное уравнение. Найдем дискриминант:
$D = (\lg 24)^2 - 4(\lg 3)(3\lg 2) = (\lg(3 \cdot 8))^2 - 12\lg 3 \lg 2 = (\lg 3 + 3\lg 2)^2 - 12\lg 3 \lg 2$
$D = (\lg 3)^2 + 6\lg 3 \lg 2 + 9(\lg 2)^2 - 12\lg 3 \lg 2 = (\lg 3)^2 - 6\lg 3 \lg 2 + 9(\lg 2)^2 = (\lg 3 - 3\lg 2)^2$
Корни уравнения:
$x = \frac{\lg 24 \pm \sqrt{(\lg 3 - 3\lg 2)^2}}{2\lg 3} = \frac{\lg 3 + 3\lg 2 \pm (\lg 3 - 3\lg 2)}{2\lg 3}$
Первый корень:
$x_1 = \frac{(\lg 3 + 3\lg 2) + (\lg 3 - 3\lg 2)}{2\lg 3} = \frac{2\lg 3}{2\lg 3} = 1$
Второй корень:
$x_2 = \frac{(\lg 3 + 3\lg 2) - (\lg 3 - 3\lg 2)}{2\lg 3} = \frac{6\lg 2}{2\lg 3} = 3 \frac{\lg 2}{\lg 3} = 3\log_3 2 = \log_3 (2^3) = \log_3 8$
Оба корня удовлетворяют ОДЗ.
Ответ: $1; \log_3 8$.
в) $3^{x-1} \cdot 625^{\frac{x-2}{x-1}} = 225$
ОДЗ: $x-1 \neq 0 \implies x \neq 1$.
Представим числа 625 и 225 в виде степеней простых чисел:
$625 = 5^4$, $225 = 9 \cdot 25 = 3^2 \cdot 5^2$.
Подставим в уравнение:
$3^{x-1} \cdot (5^4)^{\frac{x-2}{x-1}} = 3^2 \cdot 5^2$
$3^{x-1} \cdot 5^{\frac{4(x-2)}{x-1}} = 3^2 \cdot 5^2$
Разделим обе части уравнения на $3^2 \cdot 5^2$ (это выражение не равно нулю):
$\frac{3^{x-1}}{3^2} \cdot \frac{5^{\frac{4(x-2)}{x-1}}}{5^2} = 1$
$3^{x-1-2} \cdot 5^{\frac{4(x-2)}{x-1}-2} = 1$
$3^{x-3} \cdot 5^{\frac{4x-8-2(x-1)}{x-1}} = 1$
$3^{x-3} \cdot 5^{\frac{4x-8-2x+2}{x-1}} = 1$
$3^{x-3} \cdot 5^{\frac{2x-6}{x-1}} = 1$
$3^{x-3} \cdot 5^{\frac{2(x-3)}{x-1}} = 1$
Один из корней можно найти, приравняв показатель к нулю: $x-3=0 \implies x=3$. Этот корень удовлетворяет ОДЗ.
Если $x \neq 3$, то мы можем преобразовать уравнение:
$3^{x-3} = (5^{\frac{2}{x-1}})^{-(x-3)} = 5^{-\frac{2(x-3)}{x-1}}$
Прологарифмируем обе части по основанию $e$ (натуральный логарифм):
$(x-3)\ln 3 = -\frac{2(x-3)}{x-1}\ln 5$
Так как мы рассматриваем случай $x \neq 3$, можно разделить обе части на $(x-3)$:
$\ln 3 = -\frac{2\ln 5}{x-1}$
$(x-1)\ln 3 = -2\ln 5$
$x-1 = -2 \frac{\ln 5}{\ln 3} = -2\log_3 5 = \log_3 (5^{-2}) = \log_3(\frac{1}{25})$
$x = 1 + \log_3(\frac{1}{25}) = \log_3 3 + \log_3(\frac{1}{25}) = \log_3(3 \cdot \frac{1}{25}) = \log_3(\frac{3}{25})$
Этот корень также удовлетворяет ОДЗ.
Ответ: $3; \log_3(\frac{3}{25})$.
г) $5^x \cdot 2^{\frac{2-x}{x}} = 40$
ОДЗ: $x \neq 0$.
Преобразуем показатель степени у числа 2: $\frac{2-x}{x} = \frac{2}{x} - 1$.
$5^x \cdot 2^{\frac{2}{x}-1} = 40$
$5^x \cdot 2^{\frac{2}{x}} \cdot 2^{-1} = 40$
Умножим обе части на 2:
$5^x \cdot 2^{\frac{2}{x}} = 80$
Прологарифмируем обе части уравнения по основанию 10:
$\lg(5^x \cdot 2^{\frac{2}{x}}) = \lg(80)$
$x \lg 5 + \frac{2}{x} \lg 2 = \lg 80$
Умножим все члены уравнения на $x$:
$x^2 \lg 5 + 2\lg 2 = x \lg 80$
Перенесем все члены в левую часть, чтобы получить квадратное уравнение относительно $x$:
$x^2 \lg 5 - x \lg 80 + 2\lg 2 = 0$
Это квадратное уравнение вида $ax^2+bx+c=0$, где $a=\lg 5$, $b=-\lg 80$, $c=2\lg 2 = \lg 4$.
Корни этого уравнения можно найти по стандартной формуле:
$x = \frac{-b \pm \sqrt{b^2-4ac}}{2a}$
$x = \frac{\lg 80 \pm \sqrt{(\lg 80)^2 - 4(\lg 5)(2\lg 2)}}{2\lg 5}$
$x = \frac{\lg 80 \pm \sqrt{(\lg 80)^2 - 8\lg 5 \lg 2}}{2\lg 5}$
Дискриминант $D = (\lg 80)^2 - 8\lg 5 \lg 2 > 0$, поэтому уравнение имеет два действительных корня.
Ответ: $\frac{\lg 80 \pm \sqrt{(\lg 80)^2 - 8\lg 5 \lg 2}}{2\lg 5}$.
Другие задания:
Помогло решение? Оставьте отзыв в комментариях ниже.
Мы подготовили для вас ответ c подробным объяснением домашего задания по алгебре за 10-11 класс, для упражнения номер 56.38 расположенного на странице 223 для 2-й части к задачнику 2019 года издания для учащихся школ и гимназий.
Теперь на нашем сайте ГДЗ.ТОП вы всегда легко и бесплатно найдёте условие с правильным ответом на вопрос «Как решить ДЗ» и «Как сделать» задание по алгебре к упражнению №56.38 (с. 223), авторов: Мордкович (Александр Григорьевич), Семенов (Павел Владимирович), Денищева (Лариса Олеговна), Корешкова (Т А), Мишустина (Татьяна Николаевна), Тульчинская (Елена Ефимовна), 2-й части ФГОС (старый) базовый уровень обучения учебного пособия издательства Мнемозина.