Номер 59.26, страница 233, часть 2 - гдз по алгебре 10-11 класс задачник Мордкович, Семенов


Авторы: Мордкович А. Г., Семенов П. В., Денищева Л. О., Корешкова Т. А., Мишустина Т. Н., Тульчинская Е. Е.
Тип: Задачник
Издательство: Мнемозина
Год издания: 2019 - 2025
Уровень обучения: базовый
Часть: 2
Цвет обложки:
ISBN: 978-5-346-04509-0 (общ.), 978-5-346-04510-6 (ч. 1), 978-5-346-04511-3 (ч. 2)
Рекомендовано Министерством образования и науки Российской Федерации
Математика: алгебра и начала математического анализа, геометрия
Популярные ГДЗ в 10 классе
§59. Системы уравнений. Глава 10. Уравнения и неравенства. Системы уравнений и неравенств. ч. 2 - номер 59.26, страница 233.
№59.26 (с. 233)
Условие. №59.26 (с. 233)
скриншот условия

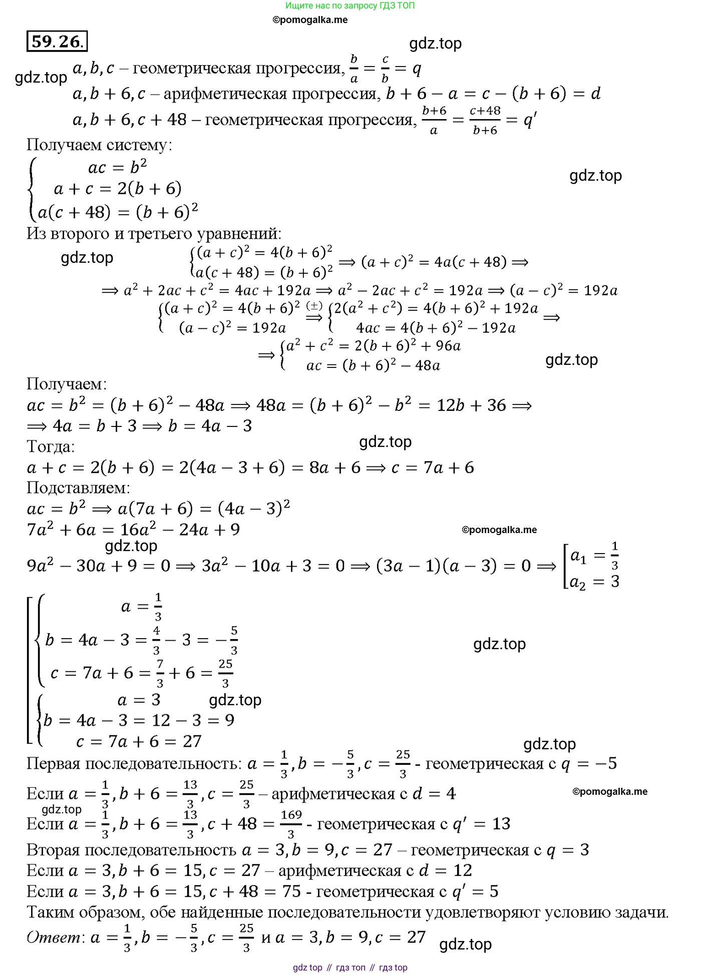
59.26 Три числа в заданном порядке образуют конечную геометрическую прогрессию. Если второе число увеличить на 6, то получится конечная арифметическая прогрессия. Если после этого третье число увеличить на 48, то снова получится геометрическая прогрессия. Найдите три исходных числа.
Решение 1. №59.26 (с. 233)

Решение 2. №59.26 (с. 233)


Решение 5. №59.26 (с. 233)


Решение 6. №59.26 (с. 233)
Пусть искомые три числа, образующие конечную геометрическую прогрессию, это $b_1$, $b_2$ и $b_3$. Обозначим первый член этой прогрессии через $b$, а ее знаменатель — через $q$. Тогда эти числа можно записать как $b$, $bq$, $bq^2$.
Согласно первому условию, если второе число увеличить на 6, то получится конечная арифметическая прогрессия. Новая последовательность чисел: $b, bq+6, bq^2$. Характеристическое свойство арифметической прогрессии гласит, что каждый ее член, начиная со второго, равен среднему арифметическому своих соседей. Применительно к нашему случаю это означает: $bq+6 = \frac{b + bq^2}{2}$.
Преобразуем это уравнение: $2(bq+6) = b + bq^2$ $2bq + 12 = b + bq^2$ $12 = bq^2 - 2bq + b$ $12 = b(q^2 - 2q + 1)$ $12 = b(q-1)^2$ (1)
Согласно второму условию, если в полученной арифметической прогрессии ($b$, $bq+6$, $bq^2$) увеличить третье число на 48, то снова получится геометрическая прогрессия. Новая последовательность: $b$, $bq+6$, $bq^2+48$. Характеристическое свойство геометрической прогрессии гласит, что квадрат каждого ее члена, начиная со второго, равен произведению его соседей. Применим это свойство: $(bq+6)^2 = b \cdot (bq^2+48)$.
Раскроем скобки и упростим: $b^2q^2 + 12bq + 36 = b^2q^2 + 48b$ $12bq + 36 = 48b$ Разделим все члены уравнения на 12: $bq + 3 = 4b$, откуда $b(q-4) = -3$ (2).
Мы получили систему из двух уравнений с двумя переменными $b$ и $q$: $\begin{cases} b(q-1)^2 = 12 \\ b(q-4) = -3 \end{cases}$
Из второго уравнения выразим $b$ через $q$ (отметим, что $q \neq 4$, иначе второе уравнение примет вид $0 = -3$, что неверно): $b = \frac{-3}{q-4} = \frac{3}{4-q}$.
Подставим это выражение в первое уравнение системы: $\frac{3}{4-q}(q-1)^2 = 12$.
Разделим обе части на 3 и преобразуем: $(q-1)^2 = 4(4-q)$ $q^2 - 2q + 1 = 16 - 4q$ $q^2 + 2q - 15 = 0$.
Решим полученное квадратное уравнение. По теореме Виета, его корни $q_1=3$ и $q_2=-5$.
Теперь найдем соответствующие значения $b$ и исходные наборы чисел для каждого из найденных значений $q$.
Если $q = 3$, то $b = \frac{3}{4-3} = 3$. Исходные числа: $b_1 = 3$, $b_2 = 3 \cdot 3 = 9$, $b_3 = 3 \cdot 3^2 = 27$. Получаем первый набор чисел: 3, 9, 27.
Если $q = -5$, то $b = \frac{3}{4-(-5)} = \frac{3}{9} = \frac{1}{3}$. Исходные числа: $b_1 = \frac{1}{3}$, $b_2 = \frac{1}{3} \cdot (-5) = -\frac{5}{3}$, $b_3 = \frac{1}{3} \cdot (-5)^2 = \frac{25}{3}$. Получаем второй набор чисел: $\frac{1}{3}, -\frac{5}{3}, \frac{25}{3}$.
Оба найденных набора чисел удовлетворяют условиям задачи.
Ответ: 3, 9, 27 или $\frac{1}{3}, -\frac{5}{3}, \frac{25}{3}$.
Другие задания:
Помогло решение? Оставьте отзыв в комментариях ниже.
Мы подготовили для вас ответ c подробным объяснением домашего задания по алгебре за 10-11 класс, для упражнения номер 59.26 расположенного на странице 233 для 2-й части к задачнику 2019 года издания для учащихся школ и гимназий.
Теперь на нашем сайте ГДЗ.ТОП вы всегда легко и бесплатно найдёте условие с правильным ответом на вопрос «Как решить ДЗ» и «Как сделать» задание по алгебре к упражнению №59.26 (с. 233), авторов: Мордкович (Александр Григорьевич), Семенов (Павел Владимирович), Денищева (Лариса Олеговна), Корешкова (Т А), Мишустина (Татьяна Николаевна), Тульчинская (Елена Ефимовна), 2-й части ФГОС (старый) базовый уровень обучения учебного пособия издательства Мнемозина.