Номер 59.20, страница 232, часть 2 - гдз по алгебре 10-11 класс задачник Мордкович, Семенов


Авторы: Мордкович А. Г., Семенов П. В., Денищева Л. О., Корешкова Т. А., Мишустина Т. Н., Тульчинская Е. Е.
Тип: Задачник
Издательство: Мнемозина
Год издания: 2019 - 2025
Уровень обучения: базовый
Часть: 2
Цвет обложки:
ISBN: 978-5-346-04509-0 (общ.), 978-5-346-04510-6 (ч. 1), 978-5-346-04511-3 (ч. 2)
Рекомендовано Министерством образования и науки Российской Федерации
Математика: алгебра и начала математического анализа, геометрия
Популярные ГДЗ в 10 классе
§59. Системы уравнений. Глава 10. Уравнения и неравенства. Системы уравнений и неравенств. ч. 2 - номер 59.20, страница 232.
№59.20 (с. 232)
Условие. №59.20 (с. 232)
скриншот условия

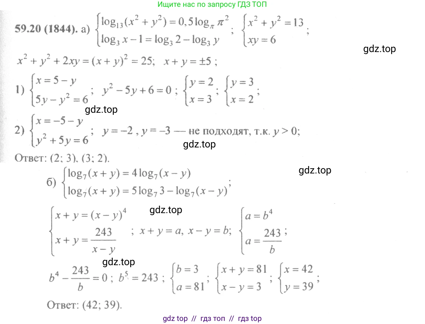
59.20 a) $$\begin{cases} \log_{13}(x^2 + y^2) = 0,5 \log_{\pi} \pi^2, \\ \log_3 x - 1 = \log_3 2 - \log_3 y; \end{cases}$$
б) $$\begin{cases} \log_7(x + y) = 4 \log_7(x - y), \\ \log_7(x + y) = 5 \log_7 3 - \log_7(x - y). \end{cases}$$
Решение 1. №59.20 (с. 232)

Решение 2. №59.20 (с. 232)


Решение 5. №59.20 (с. 232)



Решение 6. №59.20 (с. 232)
а)
Дана система уравнений:
$ \begin{cases} \log_{13}(x^2 + y^2) = 0,5 \log_{\pi} \pi^2, \\ \log_3 x - 1 = \log_3 2 - \log_3 y; \end{cases} $
Найдем область допустимых значений (ОДЗ). Из аргументов логарифмов следует, что $x > 0$ и $y > 0$. При этих условиях $x^2 + y^2 > 0$ также выполняется.
Рассмотрим первое уравнение. Упростим его правую часть, используя свойство логарифма $\log_a b^c = c \log_a b$ и основное логарифмическое тождество $\log_a a = 1$:
$0,5 \log_{\pi} \pi^2 = 0,5 \cdot 2 \cdot \log_{\pi} \pi = 1 \cdot 1 = 1$.
Теперь первое уравнение имеет вид: $\log_{13}(x^2 + y^2) = 1$.
По определению логарифма, это эквивалентно $x^2 + y^2 = 13^1 = 13$.
Рассмотрим второе уравнение. Представим $1$ как логарифм по основанию 3: $1 = \log_3 3$.
$\log_3 x - \log_3 3 = \log_3 2 - \log_3 y$
Используя свойство разности логарифмов $\log_b a - \log_b c = \log_b(a/c)$, преобразуем обе части уравнения:
$\log_3(x/3) = \log_3(2/y)$
Так как основания логарифмов равны, то и их аргументы должны быть равны:
$x/3 = 2/y$, откуда получаем $xy = 6$.
В результате мы получили систему алгебраических уравнений:
$ \begin{cases} x^2 + y^2 = 13, \\ xy = 6. \end{cases} $
Из второго уравнения выразим $y$ через $x$: $y = 6/x$. (Деление на $x$ возможно, так как по ОДЗ $x > 0$). Подставим это выражение в первое уравнение:
$x^2 + (6/x)^2 = 13$
$x^2 + 36/x^2 = 13$
Умножим обе части уравнения на $x^2$ (которое не равно нулю):
$x^4 + 36 = 13x^2$
$x^4 - 13x^2 + 36 = 0$
Это биквадратное уравнение. Сделаем замену переменной $t = x^2$. Так как $x > 0$, то $t > 0$.
$t^2 - 13t + 36 = 0$
Решим это квадратное уравнение. По теореме Виета, сумма корней равна 13, а произведение равно 36. Корни: $t_1 = 4$ и $t_2 = 9$. Оба корня положительны, поэтому оба подходят.
Выполним обратную замену:
1) Если $t = 4$, то $x^2 = 4$. Так как $x > 0$, то $x = 2$. Тогда $y = 6/x = 6/2 = 3$. Эта пара (2, 3) удовлетворяет ОДЗ ($2 > 0$ и $3 > 0$).
2) Если $t = 9$, то $x^2 = 9$. Так как $x > 0$, то $x = 3$. Тогда $y = 6/x = 6/3 = 2$. Эта пара (3, 2) также удовлетворяет ОДЗ ($3 > 0$ и $2 > 0$).
Ответ: (2, 3), (3, 2).
б)
Дана система уравнений:
$ \begin{cases} \log_7(x + y) = 4 \log_7(x - y), \\ \log_7(x + y) = 5 \log_7 3 - \log_7(x - y). \end{cases} $
ОДЗ: $x+y > 0$ и $x-y > 0$.
Для удобства решения введем замену: пусть $a = \log_7(x + y)$ и $b = \log_7(x - y)$. Система уравнений примет вид:
$ \begin{cases} a = 4b, \\ a = 5 \log_7 3 - b. \end{cases} $
Поскольку левые части уравнений равны, приравняем их правые части:
$4b = 5 \log_7 3 - b$
$5b = 5 \log_7 3$
$b = \log_7 3$
Теперь найдем $a$, подставив значение $b$ в первое уравнение системы: $a = 4b = 4 \log_7 3$.
Выполним обратную замену:
1) $b = \log_7(x - y)$. Так как $b = \log_7 3$, то $\log_7(x - y) = \log_7 3$, откуда $x - y = 3$.
2) $a = \log_7(x + y)$. Так как $a = 4 \log_7 3$, то $\log_7(x + y) = 4 \log_7 3$. Используя свойство степени логарифма, $c \log_b a = \log_b a^c$, получаем: $\log_7(x+y) = \log_7 3^4 = \log_7 81$. Отсюда $x + y = 81$.
В результате мы получили систему линейных уравнений:
$ \begin{cases} x + y = 81, \\ x - y = 3. \end{cases} $
Сложим эти два уравнения: $(x+y) + (x-y) = 81+3$, что дает $2x = 84$, и $x = 42$.
Подставим найденное значение $x=42$ в первое уравнение: $42 + y = 81$, откуда $y = 81 - 42 = 39$.
Проверим, удовлетворяет ли найденное решение (42, 39) ОДЗ:
$x+y = 42+39 = 81 > 0$.
$x-y = 42-39 = 3 > 0$.
Оба условия выполнены, следовательно, решение верно.
Ответ: (42, 39).
Другие задания:
Помогло решение? Оставьте отзыв в комментариях ниже.
Мы подготовили для вас ответ c подробным объяснением домашего задания по алгебре за 10-11 класс, для упражнения номер 59.20 расположенного на странице 232 для 2-й части к задачнику 2019 года издания для учащихся школ и гимназий.
Теперь на нашем сайте ГДЗ.ТОП вы всегда легко и бесплатно найдёте условие с правильным ответом на вопрос «Как решить ДЗ» и «Как сделать» задание по алгебре к упражнению №59.20 (с. 232), авторов: Мордкович (Александр Григорьевич), Семенов (Павел Владимирович), Денищева (Лариса Олеговна), Корешкова (Т А), Мишустина (Татьяна Николаевна), Тульчинская (Елена Ефимовна), 2-й части ФГОС (старый) базовый уровень обучения учебного пособия издательства Мнемозина.