Номер 59.16, страница 231, часть 2 - гдз по алгебре 10-11 класс задачник Мордкович, Семенов


Авторы: Мордкович А. Г., Семенов П. В., Денищева Л. О., Корешкова Т. А., Мишустина Т. Н., Тульчинская Е. Е.
Тип: Задачник
Издательство: Мнемозина
Год издания: 2019 - 2025
Уровень обучения: базовый
Часть: 2
Цвет обложки:
ISBN: 978-5-346-04509-0 (общ.), 978-5-346-04510-6 (ч. 1), 978-5-346-04511-3 (ч. 2)
Рекомендовано Министерством образования и науки Российской Федерации
Математика: алгебра и начала математического анализа, геометрия
Популярные ГДЗ в 10 классе
§59. Системы уравнений. Глава 10. Уравнения и неравенства. Системы уравнений и неравенств. ч. 2 - номер 59.16, страница 231.
№59.16 (с. 231)
Условие. №59.16 (с. 231)
скриншот условия

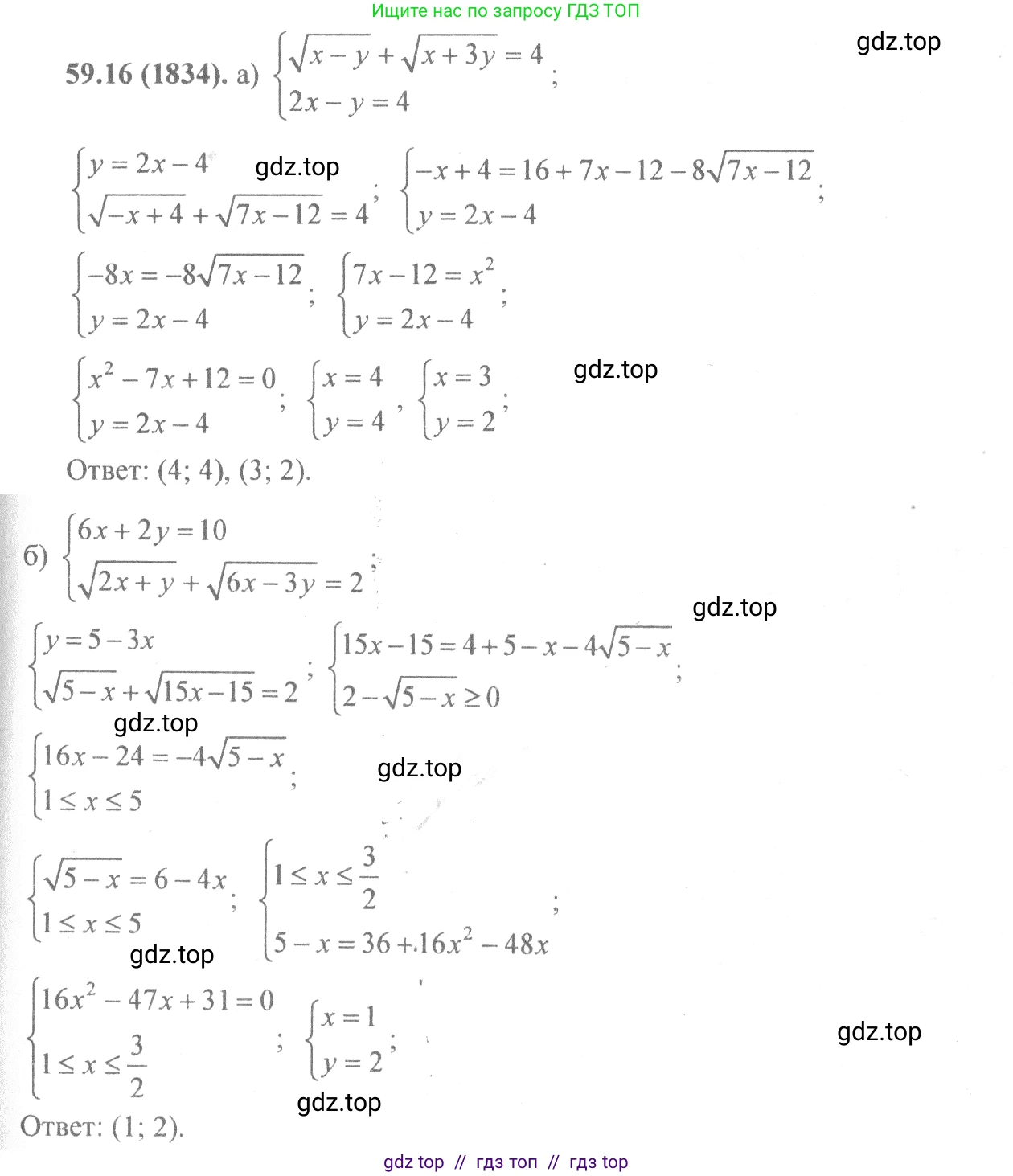
59.16 a)
$\begin{cases} \sqrt{x - y} + \sqrt{x + 3y} = 4, \\ 2x - y = 4; \end{cases}$
б) $\begin{cases} 6x + 2y = 10, \\ \sqrt{2x + y} + \sqrt{6x - 3y} = 2. \end{cases}$
Решение 1. №59.16 (с. 231)

Решение 2. №59.16 (с. 231)


Решение 5. №59.16 (с. 231)





Решение 6. №59.16 (с. 231)
а) Рассматриваем систему уравнений:
$\begin{cases}\sqrt{x - y} + \sqrt{x + 3y} = 4 \\2x - y = 4\end{cases}$
Сначала определим область допустимых значений (ОДЗ) для переменных, исходя из того, что выражения под корнями должны быть неотрицательными:
$x - y \ge 0$
$x + 3y \ge 0$
Из второго уравнения системы выразим y через x:
$y = 2x - 4$
Подставим это выражение в первое уравнение и в условия ОДЗ.
Проверка ОДЗ:
1) $x - (2x - 4) \ge 0 \implies -x + 4 \ge 0 \implies x \le 4$.
2) $x + 3(2x - 4) \ge 0 \implies x + 6x - 12 \ge 0 \implies 7x \ge 12 \implies x \ge \frac{12}{7}$.
Таким образом, ОДЗ для x: $\frac{12}{7} \le x \le 4$.
Подставим $y = 2x - 4$ в первое уравнение:
$\sqrt{x - (2x - 4)} + \sqrt{x + 3(2x - 4)} = 4$
$\sqrt{4 - x} + \sqrt{7x - 12} = 4$
Для решения этого иррационального уравнения введем замену переменных. Пусть $a = \sqrt{4 - x}$ и $b = \sqrt{7x - 12}$, где $a \ge 0$ и $b \ge 0$.
Тогда уравнение примет вид $a + b = 4$.
Возведем выражения для a и b в квадрат: $a^2 = 4 - x$ и $b^2 = 7x - 12$.
Из первого равенства выразим x: $x = 4 - a^2$. Подставим во второе:
$b^2 = 7(4 - a^2) - 12 = 28 - 7a^2 - 12 = 16 - 7a^2$.
Получили систему для a и b:
$\begin{cases}a + b = 4 \\7a^2 + b^2 = 16\end{cases}$
Из первого уравнения выразим b: $b = 4 - a$. Подставим во второе:
$7a^2 + (4 - a)^2 = 16$
$7a^2 + 16 - 8a + a^2 = 16$
$8a^2 - 8a = 0$
$8a(a - 1) = 0$
Отсюда получаем два возможных значения для a: $a_1 = 0$ и $a_2 = 1$. Оба значения неотрицательны, поэтому подходят.
Рассмотрим оба случая:
1) Если $a = 0$, то $\sqrt{4 - x} = 0$, откуда $x = 4$. Этот корень удовлетворяет ОДЗ. Найдем y: $y = 2(4) - 4 = 4$. Получили решение $(4, 4)$.
2) Если $a = 1$, то $\sqrt{4 - x} = 1$, откуда $4 - x = 1$, то есть $x = 3$. Этот корень удовлетворяет ОДЗ. Найдем y: $y = 2(3) - 4 = 2$. Получили решение $(3, 2)$.
Проверим оба решения, подставив их в исходную систему. Оба решения удовлетворяют уравнениям системы.
Ответ: $(3; 2), (4; 4)$.
б) Рассматриваем систему уравнений:
$\begin{cases}6x + 2y = 10 \\\sqrt{2x + y} + \sqrt{6x - 3y} = 2\end{cases}$
Упростим первое уравнение, разделив обе части на 2:
$3x + y = 5$
Выразим y через x:
$y = 5 - 3x$
Определим область допустимых значений (ОДЗ):
$2x + y \ge 0$
$6x - 3y \ge 0$
Подставим $y = 5 - 3x$ в условия ОДЗ:
1) $2x + (5 - 3x) \ge 0 \implies 5 - x \ge 0 \implies x \le 5$.
2) $6x - 3(5 - 3x) \ge 0 \implies 6x - 15 + 9x \ge 0 \implies 15x - 15 \ge 0 \implies x \ge 1$.
Таким образом, ОДЗ для x: $1 \le x \le 5$.
Подставим $y = 5 - 3x$ во второе уравнение системы:
$\sqrt{2x + (5 - 3x)} + \sqrt{6x - 3(5 - 3x)} = 2$
$\sqrt{5 - x} + \sqrt{15x - 15} = 2$
Для решения введем замену. Пусть $a = \sqrt{5 - x}$ и $b = \sqrt{15x - 15}$, где $a \ge 0$ и $b \ge 0$.
Уравнение примет вид $a + b = 2$.
Возведем выражения для a и b в квадрат: $a^2 = 5 - x$ и $b^2 = 15x - 15$.
Из первого равенства $x = 5 - a^2$. Подставим во второе:
$b^2 = 15(5 - a^2) - 15 = 75 - 15a^2 - 15 = 60 - 15a^2$.
Получили систему для a и b:
$\begin{cases}a + b = 2 \\15a^2 + b^2 = 60\end{cases}$
Из первого уравнения $b = 2 - a$. Подставим во второе:
$15a^2 + (2 - a)^2 = 60$
$15a^2 + 4 - 4a + a^2 = 60$
$16a^2 - 4a - 56 = 0$
Разделим уравнение на 4:
$4a^2 - a - 14 = 0$
Решим квадратное уравнение. Дискриминант $D = (-1)^2 - 4 \cdot 4 \cdot (-14) = 1 + 224 = 225 = 15^2$.
$a = \frac{1 \pm 15}{8}$
$a_1 = \frac{1 + 15}{8} = 2$
$a_2 = \frac{1 - 15}{8} = -\frac{7}{4}$
Так как по определению $a = \sqrt{5 - x} \ge 0$, то корень $a_2 = -7/4$ является посторонним.
Остается единственное значение $a = 2$.
Вернемся к замене: $\sqrt{5 - x} = 2$.
Возведем в квадрат: $5 - x = 4$, откуда $x = 1$.
Этот корень удовлетворяет ОДЗ ($1 \le 1 \le 5$).
Найдем соответствующее значение y:
$y = 5 - 3(1) = 2$.
Получили единственное решение $(1, 2)$. Проверка показывает, что оно удовлетворяет исходной системе.
Ответ: $(1; 2)$.
Другие задания:
Помогло решение? Оставьте отзыв в комментариях ниже.
Мы подготовили для вас ответ c подробным объяснением домашего задания по алгебре за 10-11 класс, для упражнения номер 59.16 расположенного на странице 231 для 2-й части к задачнику 2019 года издания для учащихся школ и гимназий.
Теперь на нашем сайте ГДЗ.ТОП вы всегда легко и бесплатно найдёте условие с правильным ответом на вопрос «Как решить ДЗ» и «Как сделать» задание по алгебре к упражнению №59.16 (с. 231), авторов: Мордкович (Александр Григорьевич), Семенов (Павел Владимирович), Денищева (Лариса Олеговна), Корешкова (Т А), Мишустина (Татьяна Николаевна), Тульчинская (Елена Ефимовна), 2-й части ФГОС (старый) базовый уровень обучения учебного пособия издательства Мнемозина.