Номер 59.18, страница 231, часть 2 - гдз по алгебре 10-11 класс задачник Мордкович, Семенов


Авторы: Мордкович А. Г., Семенов П. В., Денищева Л. О., Корешкова Т. А., Мишустина Т. Н., Тульчинская Е. Е.
Тип: Задачник
Издательство: Мнемозина
Год издания: 2019 - 2025
Уровень обучения: базовый
Часть: 2
Цвет обложки:
ISBN: 978-5-346-04509-0 (общ.), 978-5-346-04510-6 (ч. 1), 978-5-346-04511-3 (ч. 2)
Рекомендовано Министерством образования и науки Российской Федерации
Математика: алгебра и начала математического анализа, геометрия
Популярные ГДЗ в 10 классе
§59. Системы уравнений. Глава 10. Уравнения и неравенства. Системы уравнений и неравенств. ч. 2 - номер 59.18, страница 231.
№59.18 (с. 231)
Условие. №59.18 (с. 231)
скриншот условия

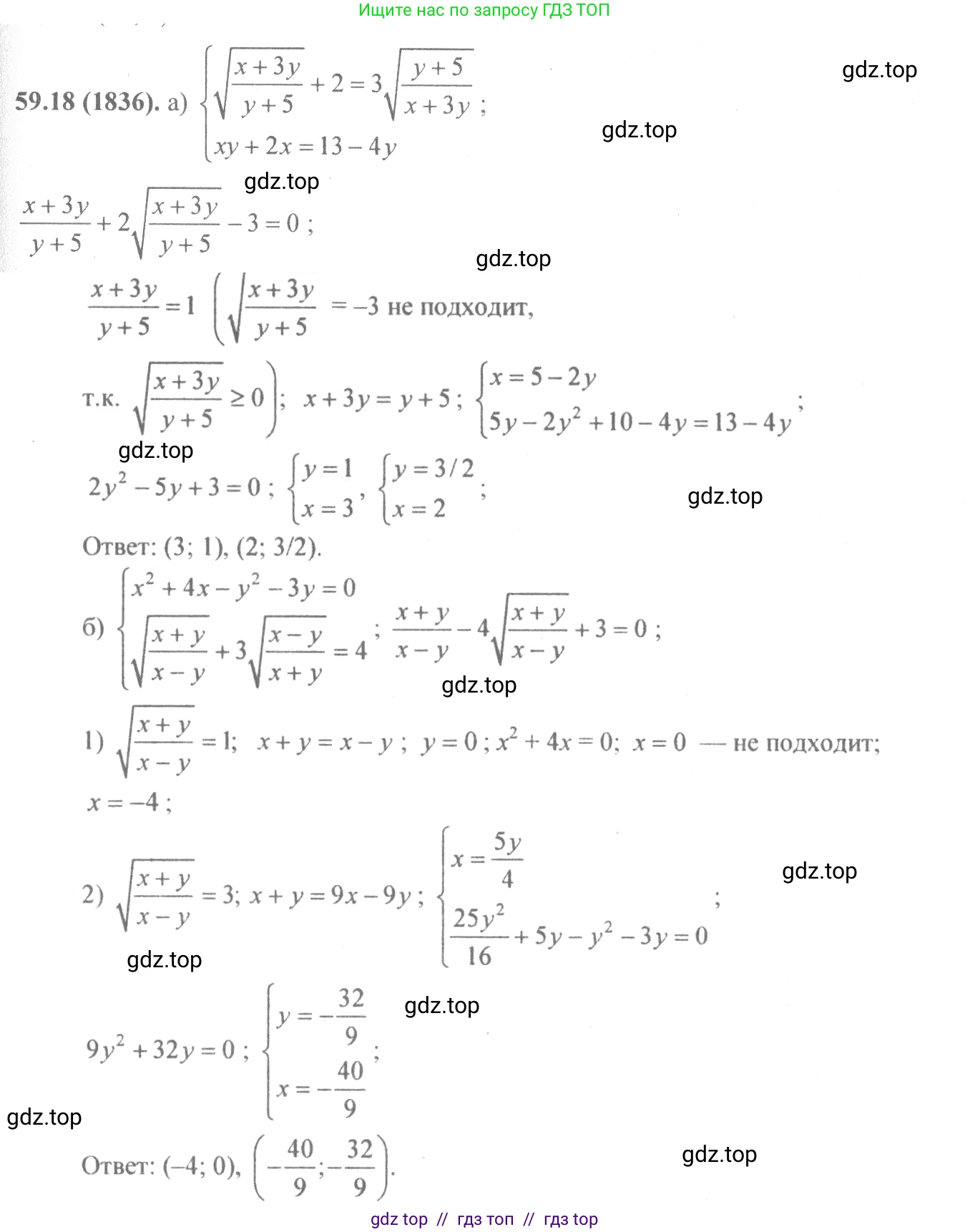
59.18 a) $\begin{cases} \sqrt{\frac{x + 3y}{y + 5}} + 2 = 3\sqrt{\frac{y + 5}{x + 3y}}, \\ xy + 2x = 13 - 4y; \end{cases}$
б) $\begin{cases} x^2 + 4x - y^2 - 3y = 0, \\ \sqrt{\frac{x + y}{x - y}} + 3\sqrt{\frac{x - y}{x + y}} = 4. \end{cases}$
Решение 1. №59.18 (с. 231)

Решение 2. №59.18 (с. 231)



Решение 5. №59.18 (с. 231)



Решение 6. №59.18 (с. 231)
а)
Дана система уравнений:
$ \begin{cases} \sqrt{\frac{x + 3y}{y + 5}} + 2 = 3\sqrt{\frac{y + 5}{x + 3y}} \\ xy + 2x = 13 - 4y \end{cases} $
Найдем область допустимых значений (ОДЗ) для первого уравнения. Выражения под корнем должны быть неотрицательными, а знаменатели не должны равняться нулю.
$y+5 \neq 0 \implies y \neq -5$
$x+3y \neq 0$
Из этих условий следует, что подкоренное выражение должно быть строго больше нуля: $\frac{x + 3y}{y + 5} > 0$.
Рассмотрим первое уравнение. Сделаем замену переменной. Пусть $t = \sqrt{\frac{x + 3y}{y + 5}}$. Так как корень из положительного числа, то $t > 0$.
Уравнение принимает вид:
$t + 2 = \frac{3}{t}$
Умножим обе части на $t$ (так как $t \neq 0$):
$t^2 + 2t = 3$
$t^2 + 2t - 3 = 0$
Это квадратное уравнение относительно $t$. Его корни: $t_1 = 1$ и $t_2 = -3$.
Поскольку $t > 0$, корень $t = -3$ является посторонним. Таким образом, $t = 1$.
Вернемся к исходным переменным:
$\sqrt{\frac{x + 3y}{y + 5}} = 1$
Возведем обе части в квадрат:
$\frac{x + 3y}{y + 5} = 1 \implies x + 3y = y + 5 \implies x = 5 - 2y$
Теперь подставим полученное выражение для $x$ во второе уравнение системы:
$xy + 2x + 4y = 13$
$(5 - 2y)y + 2(5 - 2y) + 4y = 13$
$5y - 2y^2 + 10 - 4y + 4y = 13$
$-2y^2 + 5y + 10 = 13$
$2y^2 - 5y + 3 = 0$
Решим это квадратное уравнение для $y$. Дискриминант $\Delta = (-5)^2 - 4(2)(3) = 25 - 24 = 1$.
$y_1 = \frac{5 - \sqrt{1}}{4} = \frac{4}{4} = 1$
$y_2 = \frac{5 + \sqrt{1}}{4} = \frac{6}{4} = \frac{3}{2}$
Найдем соответствующие значения $x$, используя формулу $x = 5 - 2y$:
При $y_1 = 1$: $x_1 = 5 - 2(1) = 3$. Получили решение $(3, 1)$.
При $y_2 = 3/2$: $x_2 = 5 - 2(\frac{3}{2}) = 5 - 3 = 2$. Получили решение $(2, 3/2)$.
Проверим найденные решения на соответствие ОДЗ.
Для пары $(3, 1)$: $\frac{3 + 3(1)}{1 + 5} = \frac{6}{6} = 1 > 0$. Решение подходит.
Для пары $(2, 3/2)$: $\frac{2 + 3(3/2)}{3/2 + 5} = \frac{2 + 9/2}{13/2} = \frac{13/2}{13/2} = 1 > 0$. Решение подходит.
Ответ: $(3, 1)$, $(2, 3/2)$.
б)
Дана система уравнений:
$ \begin{cases} x^2 + 4x - y^2 - 3y = 0 \\ \sqrt{\frac{x + y}{x - y}} + 3\sqrt{\frac{x - y}{x + y}} = 4 \end{cases} $
Начнем со второго уравнения. ОДЗ: $\frac{x + y}{x - y} > 0$. Это означает, что $x+y$ и $x-y$ должны быть одного знака и не равны нулю.
Сделаем замену: пусть $t = \sqrt{\frac{x + y}{x - y}}$. Тогда $t > 0$.
Уравнение примет вид:
$t + \frac{3}{t} = 4$
$t^2 - 4t + 3 = 0$
Корни этого квадратного уравнения: $t_1 = 1$ и $t_2 = 3$. Оба корня положительны и подходят.
Рассмотрим два случая.
Случай 1: $t = 1$.
$\sqrt{\frac{x + y}{x - y}} = 1 \implies \frac{x + y}{x - y} = 1 \implies x + y = x - y \implies 2y = 0 \implies y = 0$.
Подставим $y = 0$ в первое уравнение системы:
$x^2 + 4x - 0^2 - 3(0) = 0 \implies x^2 + 4x = 0 \implies x(x + 4) = 0$.
Отсюда $x = 0$ или $x = -4$.
Получаем две возможные пары: $(0, 0)$ и $(-4, 0)$.
Проверим по ОДЗ:
Для $(0, 0)$: $\frac{0+0}{0-0}$ - выражение не определено. Решение постороннее.
Для $(-4, 0)$: $\frac{-4+0}{-4-0} = \frac{-4}{-4} = 1 > 0$. Решение подходит.
Случай 2: $t = 3$.
$\sqrt{\frac{x + y}{x - y}} = 3 \implies \frac{x + y}{x - y} = 9 \implies x + y = 9(x - y) \implies x + y = 9x - 9y \implies 10y = 8x \implies y = \frac{4}{5}x$.
Подставим $y = \frac{4}{5}x$ в первое уравнение:
$x^2 + 4x - (\frac{4}{5}x)^2 - 3(\frac{4}{5}x) = 0$
$x^2 + 4x - \frac{16}{25}x^2 - \frac{12}{5}x = 0$
Умножим на 25: $25x^2 + 100x - 16x^2 - 60x = 0$.
$9x^2 + 40x = 0 \implies x(9x + 40) = 0$.
Отсюда $x = 0$ или $x = -\frac{40}{9}$.
Если $x = 0$, то $y = \frac{4}{5}(0) = 0$. Получаем пару $(0, 0)$, которая является посторонней.
Если $x = -\frac{40}{9}$, то $y = \frac{4}{5}(-\frac{40}{9}) = -\frac{32}{9}$. Получаем пару $(-\frac{40}{9}, -\frac{32}{9})$.
Проверим по ОДЗ: $\frac{x+y}{x-y} = \frac{-40/9 - 32/9}{-40/9 - (-32/9)} = \frac{-72/9}{-8/9} = 9 > 0$. Решение подходит.
Объединяя результаты обоих случаев, получаем два решения.
Ответ: $(-4, 0)$, $(-\frac{40}{9}, -\frac{32}{9})$.
Другие задания:
Помогло решение? Оставьте отзыв в комментариях ниже.
Мы подготовили для вас ответ c подробным объяснением домашего задания по алгебре за 10-11 класс, для упражнения номер 59.18 расположенного на странице 231 для 2-й части к задачнику 2019 года издания для учащихся школ и гимназий.
Теперь на нашем сайте ГДЗ.ТОП вы всегда легко и бесплатно найдёте условие с правильным ответом на вопрос «Как решить ДЗ» и «Как сделать» задание по алгебре к упражнению №59.18 (с. 231), авторов: Мордкович (Александр Григорьевич), Семенов (Павел Владимирович), Денищева (Лариса Олеговна), Корешкова (Т А), Мишустина (Татьяна Николаевна), Тульчинская (Елена Ефимовна), 2-й части ФГОС (старый) базовый уровень обучения учебного пособия издательства Мнемозина.