Номер 59.21, страница 232, часть 2 - гдз по алгебре 10-11 класс задачник Мордкович, Семенов


Авторы: Мордкович А. Г., Семенов П. В., Денищева Л. О., Корешкова Т. А., Мишустина Т. Н., Тульчинская Е. Е.
Тип: Задачник
Издательство: Мнемозина
Год издания: 2019 - 2025
Уровень обучения: базовый
Часть: 2
Цвет обложки:
ISBN: 978-5-346-04509-0 (общ.), 978-5-346-04510-6 (ч. 1), 978-5-346-04511-3 (ч. 2)
Рекомендовано Министерством образования и науки Российской Федерации
Математика: алгебра и начала математического анализа, геометрия
Популярные ГДЗ в 10 классе
§59. Системы уравнений. Глава 10. Уравнения и неравенства. Системы уравнений и неравенств. ч. 2 - номер 59.21, страница 232.
№59.21 (с. 232)
Условие. №59.21 (с. 232)
скриншот условия

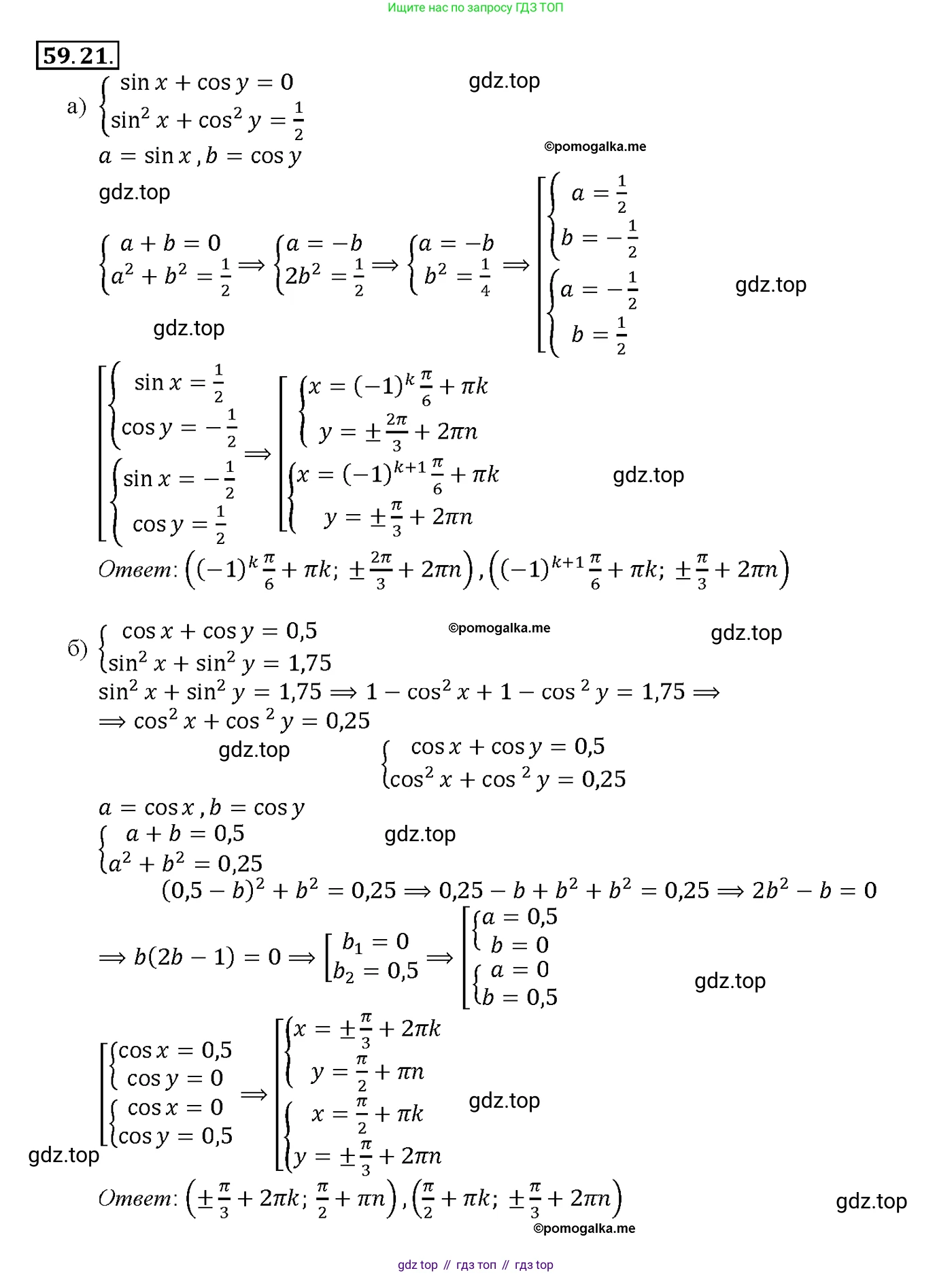
59.21 a) $\begin{cases} \sin x + \cos y = 0, \\ \sin^2 x + \cos^2 y = \frac{1}{2}; \end{cases}$
б) $\begin{cases} \cos x + \cos y = 0,5, \\ \sin^2 x + \sin^2 y = 1,75. \end{cases}$
Решение 1. №59.21 (с. 232)

Решение 2. №59.21 (с. 232)


Решение 5. №59.21 (с. 232)


Решение 6. №59.21 (с. 232)
а)
Исходная система уравнений:
$ \begin{cases} \sin x + \cos y = 0, \\ \sin^2 x + \cos^2 y = \frac{1}{2} \end{cases} $
Введем замену переменных: пусть $u = \sin x$ и $v = \cos y$. Тогда система примет вид:
$ \begin{cases} u + v = 0, \\ u^2 + v^2 = \frac{1}{2} \end{cases} $
Из первого уравнения выразим $u$: $u = -v$.
Подставим это выражение во второе уравнение:
$(-v)^2 + v^2 = \frac{1}{2}$
$v^2 + v^2 = \frac{1}{2}$
$2v^2 = \frac{1}{2}$
$v^2 = \frac{1}{4}$
Отсюда получаем два возможных значения для $v$: $v = \frac{1}{2}$ или $v = -\frac{1}{2}$.
Найдем соответствующие значения для $u$, используя $u = -v$:
1. Если $v = \frac{1}{2}$, то $u = -\frac{1}{2}$.
2. Если $v = -\frac{1}{2}$, то $u = \frac{1}{2}$.
Теперь вернемся к исходным переменным. Мы имеем две системы для нахождения $x$ и $y$.
Случай 1: $\sin x = -\frac{1}{2}$ и $\cos y = \frac{1}{2}$.
Решения этих уравнений:
$x = (-1)^k \arcsin(-\frac{1}{2}) + \pi k = (-1)^k (-\frac{\pi}{6}) + \pi k = (-1)^{k+1}\frac{\pi}{6} + \pi k$, где $k \in \mathbb{Z}$.
$y = \pm \arccos(\frac{1}{2}) + 2\pi n = \pm\frac{\pi}{3} + 2\pi n$, где $n \in \mathbb{Z}$.
Случай 2: $\sin x = \frac{1}{2}$ и $\cos y = -\frac{1}{2}$.
Решения этих уравнений:
$x = (-1)^k \arcsin(\frac{1}{2}) + \pi k = (-1)^k\frac{\pi}{6} + \pi k$, где $k \in \mathbb{Z}$.
$y = \pm \arccos(-\frac{1}{2}) + 2\pi n = \pm\frac{2\pi}{3} + 2\pi n$, где $n \in \mathbb{Z}$.
Ответ: $\left( (-1)^{k+1}\frac{\pi}{6} + \pi k, \pm\frac{\pi}{3} + 2\pi n \right)$, $\left( (-1)^k\frac{\pi}{6} + \pi k, \pm\frac{2\pi}{3} + 2\pi n \right)$, где $k, n \in \mathbb{Z}$.
б)
Исходная система уравнений:
$ \begin{cases} \cos x + \cos y = 0,5, \\ \sin^2 x + \sin^2 y = 1,75 \end{cases} $
Используем основное тригонометрическое тождество $\sin^2\alpha = 1 - \cos^2\alpha$ для преобразования второго уравнения:
$(1 - \cos^2 x) + (1 - \cos^2 y) = 1,75$
$2 - (\cos^2 x + \cos^2 y) = 1,75$
$\cos^2 x + \cos^2 y = 2 - 1,75$
$\cos^2 x + \cos^2 y = 0,25$
Теперь система выглядит так:
$ \begin{cases} \cos x + \cos y = 0,5, \\ \cos^2 x + \cos^2 y = 0,25 \end{cases} $
Введем замену переменных: пусть $u = \cos x$ и $v = \cos y$. Тогда система примет вид:
$ \begin{cases} u + v = 0,5, \\ u^2 + v^2 = 0,25 \end{cases} $
Из первого уравнения выразим $v$: $v = 0,5 - u$.
Подставим это выражение во второе уравнение:
$u^2 + (0,5 - u)^2 = 0,25$
$u^2 + 0,25 - u + u^2 = 0,25$
$2u^2 - u = 0$
$u(2u - 1) = 0$
Отсюда получаем два возможных значения для $u$: $u = 0$ или $u = 0,5$.
Найдем соответствующие значения для $v$, используя $v = 0,5 - u$:
1. Если $u = 0$, то $v = 0,5$.
2. Если $u = 0,5$, то $v = 0$.
Теперь вернемся к исходным переменным. Мы имеем две симметричные системы.
Случай 1: $\cos x = 0$ и $\cos y = 0,5$.
Решения этих уравнений:
$x = \frac{\pi}{2} + \pi k$, где $k \in \mathbb{Z}$.
$y = \pm \arccos(0,5) + 2\pi n = \pm\frac{\pi}{3} + 2\pi n$, где $n \in \mathbb{Z}$.
Случай 2: $\cos x = 0,5$ и $\cos y = 0$.
Решения этих уравнений:
$x = \pm\frac{\pi}{3} + 2\pi k$, где $k \in \mathbb{Z}$.
$y = \frac{\pi}{2} + \pi n$, где $n \in \mathbb{Z}$.
Ответ: $\left( \frac{\pi}{2} + \pi k, \pm\frac{\pi}{3} + 2\pi n \right)$, $\left( \pm\frac{\pi}{3} + 2\pi k, \frac{\pi}{2} + \pi n \right)$, где $k, n \in \mathbb{Z}$.
Другие задания:
Помогло решение? Оставьте отзыв в комментариях ниже.
Мы подготовили для вас ответ c подробным объяснением домашего задания по алгебре за 10-11 класс, для упражнения номер 59.21 расположенного на странице 232 для 2-й части к задачнику 2019 года издания для учащихся школ и гимназий.
Теперь на нашем сайте ГДЗ.ТОП вы всегда легко и бесплатно найдёте условие с правильным ответом на вопрос «Как решить ДЗ» и «Как сделать» задание по алгебре к упражнению №59.21 (с. 232), авторов: Мордкович (Александр Григорьевич), Семенов (Павел Владимирович), Денищева (Лариса Олеговна), Корешкова (Т А), Мишустина (Татьяна Николаевна), Тульчинская (Елена Ефимовна), 2-й части ФГОС (старый) базовый уровень обучения учебного пособия издательства Мнемозина.