Номер 59.19, страница 232, часть 2 - гдз по алгебре 10-11 класс задачник Мордкович, Семенов


Авторы: Мордкович А. Г., Семенов П. В., Денищева Л. О., Корешкова Т. А., Мишустина Т. Н., Тульчинская Е. Е.
Тип: Задачник
Издательство: Мнемозина
Год издания: 2019 - 2025
Уровень обучения: базовый
Часть: 2
Цвет обложки:
ISBN: 978-5-346-04509-0 (общ.), 978-5-346-04510-6 (ч. 1), 978-5-346-04511-3 (ч. 2)
Рекомендовано Министерством образования и науки Российской Федерации
Математика: алгебра и начала математического анализа, геометрия
Популярные ГДЗ в 10 классе
§59. Системы уравнений. Глава 10. Уравнения и неравенства. Системы уравнений и неравенств. ч. 2 - номер 59.19, страница 232.
№59.19 (с. 232)
Условие. №59.19 (с. 232)
скриншот условия

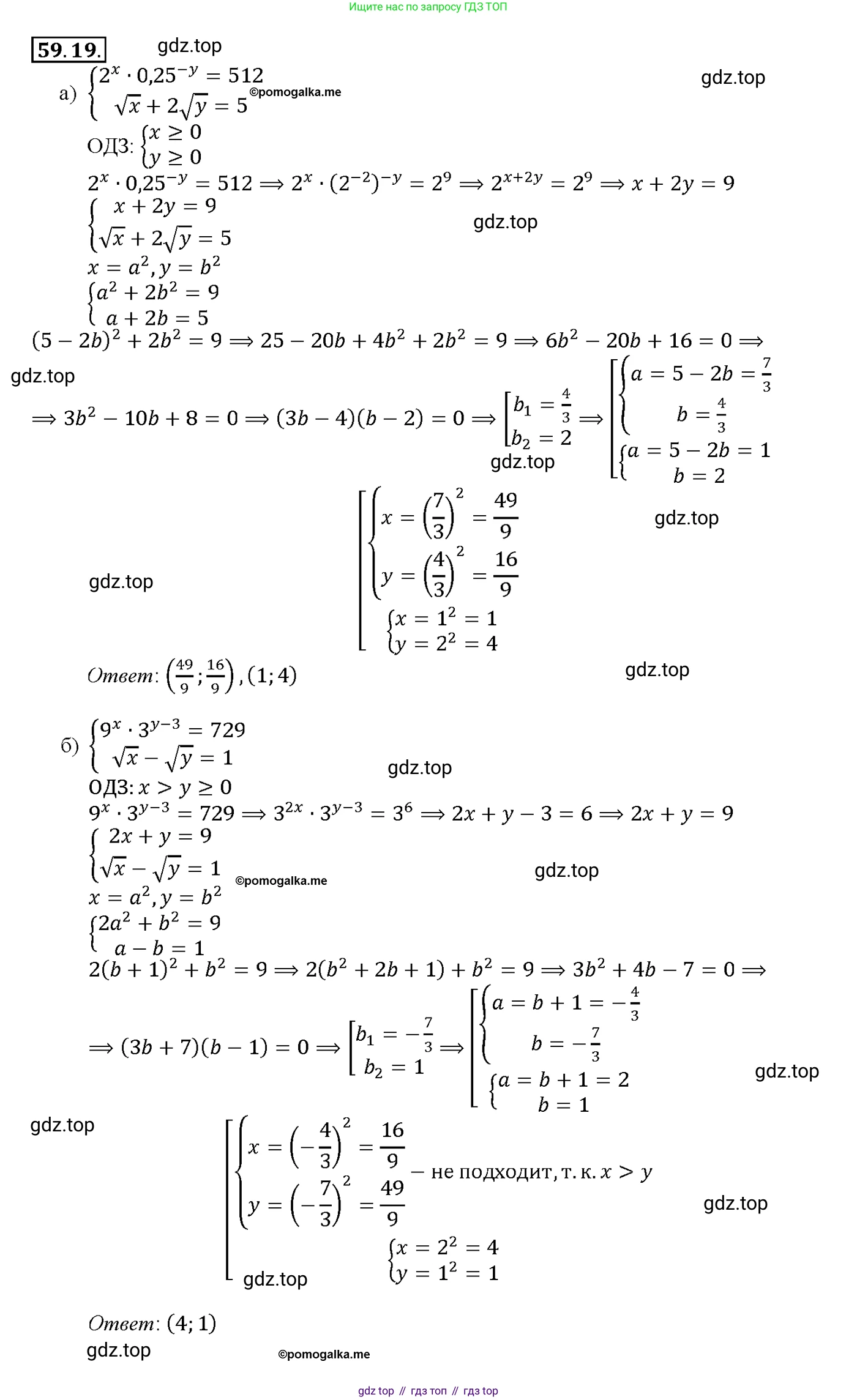
59.19 a) $ \begin{cases} 2^x \cdot 0,25^{-y} = 512, \\ \sqrt{x} + 2\sqrt{y} = 5; \end{cases} $
б) $ \begin{cases} 9^x \cdot 3^{y-3} = 729, \\ \sqrt{x} - \sqrt{y} = 1. \end{cases} $
Решение 1. №59.19 (с. 232)

Решение 2. №59.19 (с. 232)



Решение 5. №59.19 (с. 232)



Решение 6. №59.19 (с. 232)
а)
Дана система уравнений:
$\begin{cases} 2^x \cdot 0,25^{-y} = 512, \\ \sqrt{x} + 2\sqrt{y} = 5; \end{cases}$
Определим область допустимых значений: $x \ge 0, y \ge 0$.
Преобразуем первое уравнение. Представим числа $0,25$ и $512$ в виде степеней с основанием 2:
$0,25 = \frac{1}{4} = \frac{1}{2^2} = 2^{-2}$
$512 = 2^9$
Подставим эти значения в первое уравнение:
$2^x \cdot (2^{-2})^{-y} = 2^9$
$2^x \cdot 2^{2y} = 2^9$
Используя свойство степеней $a^m \cdot a^n = a^{m+n}$, получаем:
$2^{x+2y} = 2^9$
Так как основания степеней равны, можем приравнять их показатели:
$x+2y=9$
Теперь система уравнений имеет вид:
$\begin{cases} x+2y=9, \\ \sqrt{x} + 2\sqrt{y} = 5; \end{cases}$
Для решения этой системы введем новые переменные. Пусть $a = \sqrt{x}$ и $b = \sqrt{y}$. Учитывая ОДЗ, $a \ge 0$ и $b \ge 0$.
Тогда $x = a^2$ и $y = b^2$. Подставим это в систему:
$\begin{cases} a^2+2b^2=9, \\ a + 2b = 5; \end{cases}$
Из второго уравнения выразим $a$: $a = 5 - 2b$.
Подставим это выражение в первое уравнение:
$(5-2b)^2 + 2b^2 = 9$
$25 - 20b + 4b^2 + 2b^2 = 9$
$6b^2 - 20b + 25 - 9 = 0$
$6b^2 - 20b + 16 = 0$
Разделим уравнение на 2 для упрощения:
$3b^2 - 10b + 8 = 0$
Решим квадратное уравнение. Дискриминант $D = (-10)^2 - 4 \cdot 3 \cdot 8 = 100 - 96 = 4$.
$b_{1,2} = \frac{10 \pm \sqrt{4}}{2 \cdot 3} = \frac{10 \pm 2}{6}$
$b_1 = \frac{12}{6} = 2$
$b_2 = \frac{8}{6} = \frac{4}{3}$
Оба значения для $b$ неотрицательны, поэтому оба подходят. Найдем соответствующие значения $a$ для каждого $b$.
1. Если $b=2$:
$a = 5 - 2(2) = 1$.
Теперь вернемся к переменным $x$ и $y$:
$x = a^2 = 1^2 = 1$
$y = b^2 = 2^2 = 4$
Получили первую пару решений $(1, 4)$.
2. Если $b=\frac{4}{3}$:
$a = 5 - 2(\frac{4}{3}) = 5 - \frac{8}{3} = \frac{15-8}{3} = \frac{7}{3}$.
Теперь вернемся к переменным $x$ и $y$:
$x = a^2 = (\frac{7}{3})^2 = \frac{49}{9}$
$y = b^2 = (\frac{4}{3})^2 = \frac{16}{9}$
Получили вторую пару решений $(\frac{49}{9}, \frac{16}{9})$.
Проверка подтверждает, что обе пары являются решениями системы.
Ответ: $(1, 4), (\frac{49}{9}, \frac{16}{9})$.
б)
Дана система уравнений:
$\begin{cases} 9^x \cdot 3^{y-3} = 729, \\ \sqrt{x} - \sqrt{y} = 1; \end{cases}$
Определим область допустимых значений: $x \ge 0, y \ge 0$. Из второго уравнения $\sqrt{x} = 1 + \sqrt{y}$, следует что $\sqrt{x} \ge 1$, то есть $x \ge 1$.
Преобразуем первое уравнение. Представим числа $9$ и $729$ в виде степеней с основанием 3:
$9 = 3^2$
$729 = 3^6$
Подставим эти значения в первое уравнение:
$(3^2)^x \cdot 3^{y-3} = 3^6$
$3^{2x} \cdot 3^{y-3} = 3^6$
Используя свойство степеней $a^m \cdot a^n = a^{m+n}$, получаем:
$3^{2x+y-3} = 3^6$
Так как основания степеней равны, можем приравнять их показатели:
$2x+y-3=6$
$2x+y=9$
Теперь система уравнений имеет вид:
$\begin{cases} 2x+y=9, \\ \sqrt{x} - \sqrt{y} = 1; \end{cases}$
Введем новые переменные. Пусть $a = \sqrt{x}$ и $b = \sqrt{y}$. Учитывая ОДЗ, $a \ge 0$ и $b \ge 0$.
Тогда $x = a^2$ и $y = b^2$. Подставим это в систему:
$\begin{cases} 2a^2+b^2=9, \\ a - b = 1; \end{cases}$
Из второго уравнения выразим $a$: $a = 1 + b$.
Подставим это выражение в первое уравнение:
$2(1+b)^2 + b^2 = 9$
$2(1 + 2b + b^2) + b^2 = 9$
$2 + 4b + 2b^2 + b^2 = 9$
$3b^2 + 4b + 2 - 9 = 0$
$3b^2 + 4b - 7 = 0$
Решим квадратное уравнение. Дискриминант $D = 4^2 - 4 \cdot 3 \cdot (-7) = 16 + 84 = 100$.
$b_{1,2} = \frac{-4 \pm \sqrt{100}}{2 \cdot 3} = \frac{-4 \pm 10}{6}$
$b_1 = \frac{6}{6} = 1$
$b_2 = \frac{-14}{6} = -\frac{7}{3}$
Так как $b = \sqrt{y}$, значение $b$ не может быть отрицательным. Поэтому $b_2 = -\frac{7}{3}$ является посторонним корнем. Остается единственное решение $b=1$.
Найдем соответствующее значение $a$:
$a = 1 + b = 1 + 1 = 2$.
Теперь вернемся к переменным $x$ и $y$:
$x = a^2 = 2^2 = 4$
$y = b^2 = 1^2 = 1$
Получили решение $(4, 1)$. Это решение удовлетворяет ОДЗ ($x=4 \ge 1, y=1 \ge 0$).
Ответ: $(4, 1)$.
Другие задания:
Помогло решение? Оставьте отзыв в комментариях ниже.
Мы подготовили для вас ответ c подробным объяснением домашего задания по алгебре за 10-11 класс, для упражнения номер 59.19 расположенного на странице 232 для 2-й части к задачнику 2019 года издания для учащихся школ и гимназий.
Теперь на нашем сайте ГДЗ.ТОП вы всегда легко и бесплатно найдёте условие с правильным ответом на вопрос «Как решить ДЗ» и «Как сделать» задание по алгебре к упражнению №59.19 (с. 232), авторов: Мордкович (Александр Григорьевич), Семенов (Павел Владимирович), Денищева (Лариса Олеговна), Корешкова (Т А), Мишустина (Татьяна Николаевна), Тульчинская (Елена Ефимовна), 2-й части ФГОС (старый) базовый уровень обучения учебного пособия издательства Мнемозина.