Страница 141, часть 2 - гдз по алгебре 10-11 класс задачник часть 1, 2 Мордкович, Семенов


Авторы: Мордкович А. Г., Семенов П. В., Денищева Л. О., Корешкова Т. А., Мишустина Т. Н., Тульчинская Е. Е.
Тип: Задачник
Издательство: Мнемозина
Год издания: 2019 - 2025
Уровень обучения: базовый
Часть: 2
Цвет обложки:
ISBN: 978-5-346-04509-0 (общ.), 978-5-346-04510-6 (ч. 1), 978-5-346-04511-3 (ч. 2)
Рекомендовано Министерством образования и науки Российской Федерации
Математика: алгебра и начала математического анализа, геометрия
Популярные ГДЗ в 10 классе
ч. 2. Cтраница 141

№36.29 (с. 141)
Условие. №36.29 (с. 141)
скриншот условия

36.29 Сократите дробь:
а) $\frac{6\sqrt[3]{x^2} + \sqrt[3]{x} - 1}{2\sqrt[3]{x^2} + \sqrt[3]{x}}$
б) $\frac{3\sqrt{x} - 5\sqrt[4]{x} - 2}{9\sqrt{x} - 1}$
Решение 1. №36.29 (с. 141)

Решение 2. №36.29 (с. 141)

Решение 3. №36.29 (с. 141)

Решение 5. №36.29 (с. 141)

Решение 6. №36.29 (с. 141)
а) $ \frac{6\sqrt[3]{x^2} + \sqrt[3]{x} - 1}{2\sqrt[3]{x^2} + \sqrt[3]{x}} $
Для упрощения дроби введем замену. Пусть $y = \sqrt[3]{x}$, тогда $\sqrt[3]{x^2} = (\sqrt[3]{x})^2 = y^2$.
Подставим новую переменную в исходное выражение:
$ \frac{6y^2 + y - 1}{2y^2 + y} $
Разложим числитель и знаменатель на множители.
Знаменатель раскладывается вынесением общего множителя за скобки: $2y^2 + y = y(2y + 1)$.
Для разложения числителя $6y^2 + y - 1$ найдем корни квадратного уравнения $6y^2 + y - 1 = 0$ с помощью дискриминанта.
$D = b^2 - 4ac = 1^2 - 4 \cdot 6 \cdot (-1) = 1 + 24 = 25$.
Корни уравнения:
$y_1 = \frac{-1 - \sqrt{25}}{2 \cdot 6} = \frac{-1 - 5}{12} = \frac{-6}{12} = -\frac{1}{2}$
$y_2 = \frac{-1 + \sqrt{25}}{2 \cdot 6} = \frac{-1 + 5}{12} = \frac{4}{12} = \frac{1}{3}$
Следовательно, разложение числителя на множители имеет вид: $6(y - (-\frac{1}{2}))(y - \frac{1}{3}) = 6(y + \frac{1}{2})(y - \frac{1}{3}) = 2(y + \frac{1}{2}) \cdot 3(y - \frac{1}{3}) = (2y+1)(3y-1)$.
Подставим разложенные числитель и знаменатель обратно в дробь:
$ \frac{(2y+1)(3y-1)}{y(2y+1)} $
Сократим общий множитель $(2y+1)$, при условии, что $2y+1 \neq 0$:
$ \frac{3y-1}{y} $
Теперь выполним обратную замену $y = \sqrt[3]{x}$:
$ \frac{3\sqrt[3]{x} - 1}{\sqrt[3]{x}} $
Ответ: $ \frac{3\sqrt[3]{x} - 1}{\sqrt[3]{x}} $.
б) $ \frac{3\sqrt{x} - 5\sqrt[4]{x} - 2}{9\sqrt{x} - 1} $
Для упрощения дроби введем замену. Пусть $z = \sqrt[4]{x}$. Поскольку корень четвертой степени из действительного числа определен для неотрицательных чисел, должно выполняться условие $x \ge 0$. Тогда $\sqrt{x} = (\sqrt[4]{x})^2 = z^2$.
Подставим новую переменную в исходное выражение:
$ \frac{3z^2 - 5z - 2}{9z^2 - 1} $
Разложим числитель и знаменатель на множители.
Знаменатель является разностью квадратов: $9z^2 - 1 = (3z)^2 - 1^2 = (3z-1)(3z+1)$.
Для разложения числителя $3z^2 - 5z - 2$ найдем корни соответствующего квадратного уравнения $3z^2 - 5z - 2 = 0$.
$D = b^2 - 4ac = (-5)^2 - 4 \cdot 3 \cdot (-2) = 25 + 24 = 49$.
Корни уравнения:
$z_1 = \frac{-(-5) - \sqrt{49}}{2 \cdot 3} = \frac{5 - 7}{6} = \frac{-2}{6} = -\frac{1}{3}$
$z_2 = \frac{-(-5) + \sqrt{49}}{2 \cdot 3} = \frac{5 + 7}{6} = \frac{12}{6} = 2$
Следовательно, разложение числителя: $3(z - (-\frac{1}{3}))(z - 2) = 3(z + \frac{1}{3})(z-2) = (3z+1)(z-2)$.
Подставим разложенные выражения в дробь:
$ \frac{(3z+1)(z-2)}{(3z-1)(3z+1)} $
Сократим общий множитель $(3z+1)$. Так как $z = \sqrt[4]{x} \ge 0$, то $3z+1 = 3\sqrt[4]{x}+1 > 0$, поэтому этот множитель никогда не равен нулю, и сокращение всегда возможно.
$ \frac{z-2}{3z-1} $
Выполним обратную замену $z = \sqrt[4]{x}$:
$ \frac{\sqrt[4]{x} - 2}{3\sqrt[4]{x} - 1} $
Ответ: $ \frac{\sqrt[4]{x} - 2}{3\sqrt[4]{x} - 1} $.
№36.30 (с. 141)
Условие. №36.30 (с. 141)
скриншот условия

36.30 Упростите выражение:
а) $\frac{\sqrt{ab} \cdot \sqrt[4]{a}}{(a+b) \cdot \sqrt[4]{\frac{b^2}{a}}} - \frac{a^2 + b^2}{a^2 - b^2};$
б) $\frac{(\sqrt[4]{m} + \sqrt[4]{n})^2 + (\sqrt[4]{m} - \sqrt[4]{n})^2}{2(m - n)} : \frac{1}{\sqrt{m^3} - \sqrt{n^3}} - 3\sqrt{mn}.$
Решение 1. №36.30 (с. 141)

Решение 2. №36.30 (с. 141)

Решение 3. №36.30 (с. 141)

Решение 5. №36.30 (с. 141)

Решение 6. №36.30 (с. 141)
a) Упростим выражение $ \frac{\sqrt{ab} \cdot \sqrt[4]{a}}{(a+b) \cdot \sqrt[4]{\frac{b^2}{a}}} - \frac{a^2 + b^2}{a^2 - b^2} $ по действиям.
1. Сначала упростим первую дробь $ \frac{\sqrt{ab} \cdot \sqrt[4]{a}}{(a+b) \cdot \sqrt[4]{\frac{b^2}{a}}} $.
Представим корни в виде степеней с рациональными показателями: $ \sqrt{ab} = (ab)^{1/2} = a^{1/2}b^{1/2} $, $ \sqrt[4]{a} = a^{1/4} $, $ \sqrt[4]{\frac{b^2}{a}} = \frac{(b^2)^{1/4}}{a^{1/4}} = \frac{b^{1/2}}{a^{1/4}} $.
Подставим эти выражения в дробь: $ \frac{a^{1/2}b^{1/2} \cdot a^{1/4}}{(a+b) \cdot \frac{b^{1/2}}{a^{1/4}}} $
При делении на дробь мы умножаем на перевернутую дробь: $ \frac{a^{1/2}b^{1/2}a^{1/4}}{1} \cdot \frac{a^{1/4}}{(a+b)b^{1/2}} $
Упростим полученное выражение, используя свойства степеней ($ a^m \cdot a^n = a^{m+n} $): $ \frac{a^{1/2+1/4+1/4} \cdot b^{1/2}}{(a+b)b^{1/2}} = \frac{a^{1} \cdot b^{1/2}}{(a+b)b^{1/2}} $
Сократим $ b^{1/2} $: $ \frac{a}{a+b} $
2. Теперь подставим полученный результат в исходное выражение: $ \frac{a}{a+b} - \frac{a^2 + b^2}{a^2 - b^2} $
Знаменатель второй дроби $ a^2 - b^2 $ является разностью квадратов: $ a^2 - b^2 = (a-b)(a+b) $. $ \frac{a}{a+b} - \frac{a^2 + b^2}{(a-b)(a+b)} $
Приведем дроби к общему знаменателю $ (a-b)(a+b) $: $ \frac{a(a-b)}{(a+b)(a-b)} - \frac{a^2 + b^2}{(a-b)(a+b)} $
Выполним вычитание дробей: $ \frac{a(a-b) - (a^2 + b^2)}{(a-b)(a+b)} = \frac{a^2 - ab - a^2 - b^2}{(a-b)(a+b)} = \frac{-ab - b^2}{(a-b)(a+b)} $
Вынесем общий множитель $ -b $ в числителе: $ \frac{-b(a+b)}{(a-b)(a+b)} $
Сократим дробь на $ (a+b) $: $ \frac{-b}{a-b} $, что можно записать как $ \frac{b}{b-a} $.
Ответ: $ \frac{b}{b-a} $
б) Упростим выражение $ \frac{(\sqrt[4]{m} + \sqrt[4]{n})^2 + (\sqrt[4]{m} - \sqrt[4]{n})^2}{2(m-n)} : \frac{1}{\sqrt{m^3} - \sqrt{n^3}} - 3\sqrt{mn} $ по действиям.
1. Упростим числитель первой дроби: $ (\sqrt[4]{m} + \sqrt[4]{n})^2 + (\sqrt[4]{m} - \sqrt[4]{n})^2 $.
Воспользуемся формулой $ (x+y)^2 + (x-y)^2 = 2(x^2+y^2) $. Пусть $ x = \sqrt[4]{m} $ и $ y = \sqrt[4]{n} $. Тогда $ x^2 = (\sqrt[4]{m})^2 = \sqrt{m} $ и $ y^2 = (\sqrt[4]{n})^2 = \sqrt{n} $. Получаем: $ 2(\sqrt{m} + \sqrt{n}) $.
2. Теперь упростим всю первую дробь: $ \frac{2(\sqrt{m} + \sqrt{n})}{2(m-n)} = \frac{\sqrt{m} + \sqrt{n}}{m-n} $
Разложим знаменатель по формуле разности квадратов $ m-n = (\sqrt{m}-\sqrt{n})(\sqrt{m}+\sqrt{n}) $: $ \frac{\sqrt{m} + \sqrt{n}}{(\sqrt{m}-\sqrt{n})(\sqrt{m}+\sqrt{n})} = \frac{1}{\sqrt{m}-\sqrt{n}} $
3. Выполним деление: $ \frac{1}{\sqrt{m}-\sqrt{n}} : \frac{1}{\sqrt{m^3} - \sqrt{n^3}} = \frac{1}{\sqrt{m}-\sqrt{n}} \cdot (\sqrt{m^3} - \sqrt{n^3}) = \frac{\sqrt{m^3} - \sqrt{n^3}}{\sqrt{m}-\sqrt{n}} $
Числитель является разностью кубов: $ \sqrt{m^3} - \sqrt{n^3} = (\sqrt{m})^3 - (\sqrt{n})^3 $.
Используем формулу разности кубов $ a^3-b^3=(a-b)(a^2+ab+b^2) $: $ \frac{(\sqrt{m}-\sqrt{n})((\sqrt{m})^2 + \sqrt{m}\sqrt{n} + (\sqrt{n})^2)}{\sqrt{m}-\sqrt{n}} = (\sqrt{m})^2 + \sqrt{mn} + (\sqrt{n})^2 = m + \sqrt{mn} + n $
4. Выполним последнее действие вычитания: $ (m + n + \sqrt{mn}) - 3\sqrt{mn} = m + n - 2\sqrt{mn} $
Это выражение является полным квадратом разности: $ m - 2\sqrt{mn} + n = (\sqrt{m})^2 - 2\sqrt{m}\sqrt{n} + (\sqrt{n})^2 = (\sqrt{m} - \sqrt{n})^2 $.
Ответ: $ (\sqrt{m} - \sqrt{n})^2 $
№36.31 (с. 141)
Условие. №36.31 (с. 141)
скриншот условия

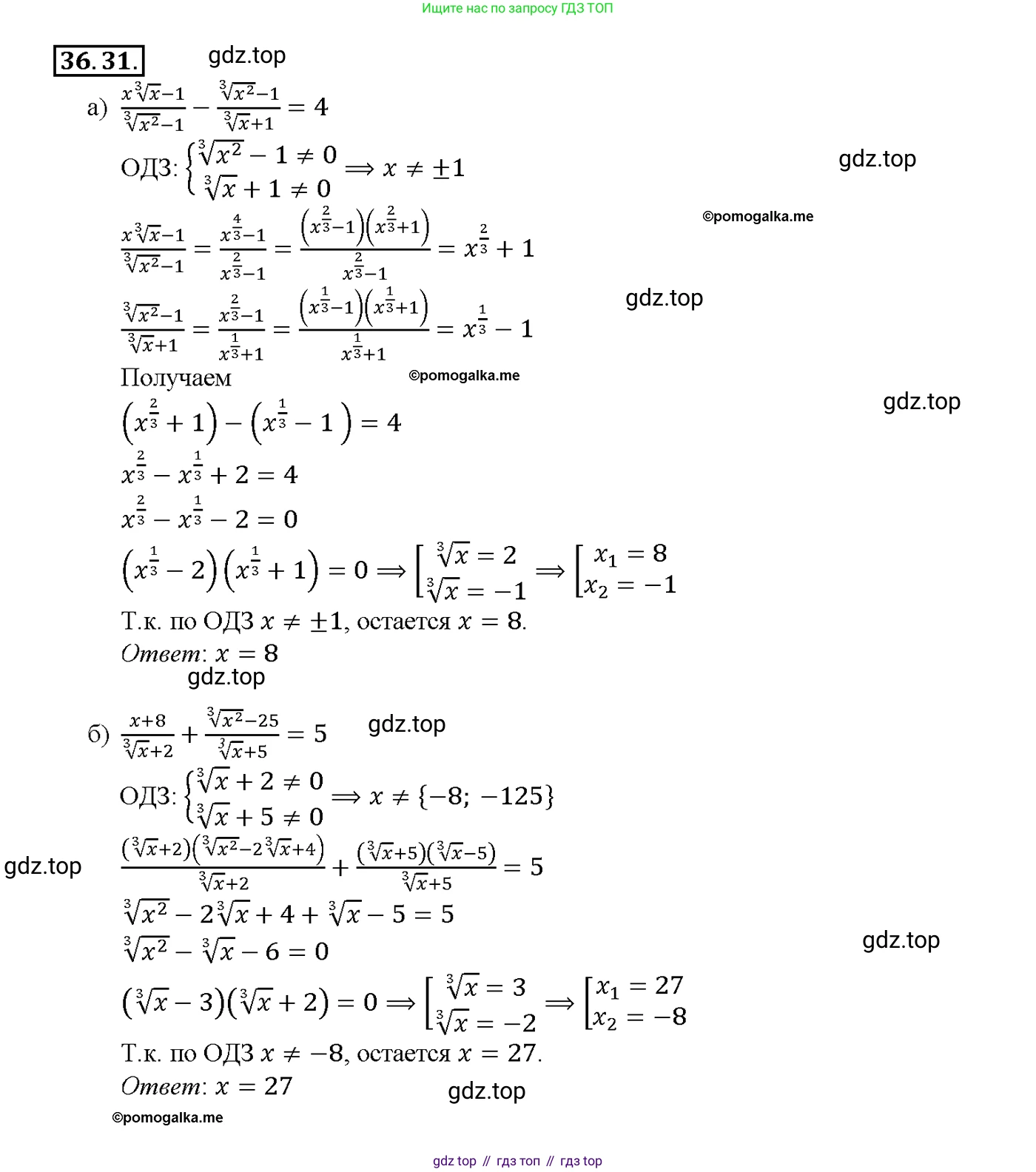
36.31 Решите уравнение:
а) $ \frac{x\sqrt[3]{x} - 1}{\sqrt[3]{x^2} - 1} - \frac{\sqrt[3]{x^2} - 1}{\sqrt[3]{x} + 1} = 4; $
б) $ \frac{x + 8}{\sqrt[3]{x} + 2} + \frac{\sqrt[3]{x^2} - 25}{\sqrt[3]{x} + 5} = 5. $
Решение 1. №36.31 (с. 141)

Решение 2. №36.31 (с. 141)


Решение 3. №36.31 (с. 141)

Решение 5. №36.31 (с. 141)


Решение 6. №36.31 (с. 141)
а) $\frac{x\sqrt[3]{x}-1}{\sqrt[3]{x^2}-1} - \frac{\sqrt[3]{x^2}-1}{\sqrt[3]{x}+1} = 4$
Введем замену: пусть $t = \sqrt[3]{x}$. Тогда $x = t^3$, $\sqrt[3]{x^2} = t^2$ и $x\sqrt[3]{x} = t^3 \cdot t = t^4$.
Найдем область допустимых значений (ОДЗ). Знаменатели дробей не должны равняться нулю:
$\sqrt[3]{x^2}-1 \neq 0 \implies t^2-1 \neq 0 \implies (t-1)(t+1) \neq 0 \implies t \neq 1$ и $t \neq -1$.
$\sqrt[3]{x}+1 \neq 0 \implies t+1 \neq 0 \implies t \neq -1$.
Следовательно, ОДЗ: $t \neq 1$ и $t \neq -1$, что соответствует $x \neq 1$ и $x \neq -1$.
Подставим замену в уравнение:
$\frac{t^4-1}{t^2-1} - \frac{t^2-1}{t+1} = 4$
Упростим дроби, используя формулы разности квадратов $a^2-b^2=(a-b)(a+b)$:
$\frac{(t^2-1)(t^2+1)}{t^2-1} - \frac{(t-1)(t+1)}{t+1} = 4$
Сократим дроби с учетом ОДЗ:
$(t^2+1) - (t-1) = 4$
$t^2+1 - t + 1 = 4$
$t^2 - t + 2 - 4 = 0$
$t^2 - t - 2 = 0$
Решим полученное квадратное уравнение. По теореме Виета, корни уравнения: $t_1 = 2$ и $t_2 = -1$.
Проверим корни на соответствие ОДЗ ($t \neq 1$ и $t \neq -1$). Корень $t_2 = -1$ является посторонним. Единственный подходящий корень $t = 2$.
Вернемся к исходной переменной:
$\sqrt[3]{x} = 2$
$x = 2^3 = 8$
Корень $x=8$ удовлетворяет ОДЗ ($x \neq 1$ и $x \neq -1$).
Ответ: 8.
б) $\frac{x+8}{\sqrt[3]{x}+2} + \frac{\sqrt[3]{x^2}-25}{\sqrt[3]{x}+5} = 5$
Введем замену: пусть $y = \sqrt[3]{x}$. Тогда $x = y^3$ и $\sqrt[3]{x^2} = y^2$.
Найдем область допустимых значений (ОДЗ). Знаменатели дробей не должны равняться нулю:
$\sqrt[3]{x}+2 \neq 0 \implies y+2 \neq 0 \implies y \neq -2$.
$\sqrt[3]{x}+5 \neq 0 \implies y+5 \neq 0 \implies y \neq -5$.
Следовательно, ОДЗ: $y \neq -2$ и $y \neq -5$, что соответствует $x \neq -8$ и $x \neq -125$.
Подставим замену в уравнение:
$\frac{y^3+8}{y+2} + \frac{y^2-25}{y+5} = 5$
Упростим дроби, используя формулу суммы кубов $a^3+b^3=(a+b)(a^2-ab+b^2)$ и разности квадратов $a^2-b^2=(a-b)(a+b)$:
$\frac{(y+2)(y^2-2y+4)}{y+2} + \frac{(y-5)(y+5)}{y+5} = 5$
Сократим дроби с учетом ОДЗ:
$(y^2-2y+4) + (y-5) = 5$
$y^2 - y - 1 = 5$
$y^2 - y - 6 = 0$
Решим полученное квадратное уравнение. По теореме Виета, корни уравнения: $y_1 = 3$ и $y_2 = -2$.
Проверим корни на соответствие ОДЗ ($y \neq -2$ и $y \neq -5$). Корень $y_2 = -2$ является посторонним. Единственный подходящий корень $y = 3$.
Вернемся к исходной переменной:
$\sqrt[3]{x} = 3$
$x = 3^3 = 27$
Корень $x=27$ удовлетворяет ОДЗ ($x \neq -8$ и $x \neq -125$).
Ответ: 27.
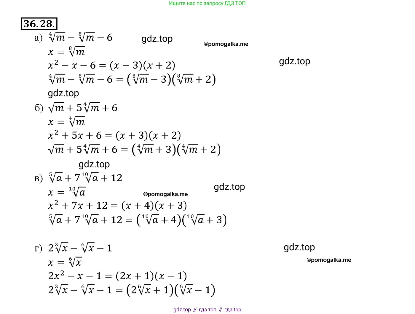
№36.28 (с. 141)
Условие. №36.28 (с. 141)
скриншот условия

36.28 а) $ \sqrt[4]{m} - \sqrt[8]{m} - 6; $
б) $ \sqrt{m} + 5\sqrt[4]{m} + 6; $
В) $ \sqrt[5]{a} + 7\sqrt[10]{a} + 12; $
Г) $ 2\sqrt[3]{x} - \sqrt[6]{x} - 1. $
Решение 1. №36.28 (с. 141)

Решение 2. №36.28 (с. 141)

Решение 3. №36.28 (с. 141)

Решение 5. №36.28 (с. 141)



Решение 6. №36.28 (с. 141)
а) Данное выражение $\sqrt[4]{m} - \sqrt[8]{m} - 6$ можно представить в виде квадратного трехчлена, если сделать замену переменной. Заметим, что $\sqrt[4]{m} = (\sqrt[8]{m})^2$.
Пусть $y = \sqrt[8]{m}$. Тогда исходное выражение примет вид:
$y^2 - y - 6$
Чтобы разложить этот квадратный трехчлен на множители, найдем его корни, решив уравнение $y^2 - y - 6 = 0$.
По теореме Виета, сумма корней $y_1 + y_2 = 1$, а их произведение $y_1 \cdot y_2 = -6$.
Подбором находим корни: $y_1 = 3$ и $y_2 = -2$.
Разложение на множители имеет вид $a(y - y_1)(y - y_2)$. В нашем случае $a=1$, поэтому:
$y^2 - y - 6 = (y - 3)(y - (-2)) = (y - 3)(y + 2)$
Теперь выполним обратную замену, подставив $y = \sqrt[8]{m}$:
$(\sqrt[8]{m} - 3)(\sqrt[8]{m} + 2)$
Ответ: $(\sqrt[8]{m} - 3)(\sqrt[8]{m} + 2)$
б) В выражении $\sqrt{m} + 5\sqrt[4]{m} + 6$ заметим, что $\sqrt{m} = (\sqrt[4]{m})^2$. Сделаем замену переменной.
Пусть $y = \sqrt[4]{m}$. Тогда исходное выражение примет вид:
$y^2 + 5y + 6$
Найдем корни квадратного уравнения $y^2 + 5y + 6 = 0$, чтобы разложить трехчлен на множители.
По теореме Виета, $y_1 + y_2 = -5$ и $y_1 \cdot y_2 = 6$.
Корнями являются $y_1 = -2$ и $y_2 = -3$.
Разложим трехчлен на множители:
$y^2 + 5y + 6 = (y - (-2))(y - (-3)) = (y + 2)(y + 3)$
Выполним обратную замену $y = \sqrt[4]{m}$:
$(\sqrt[4]{m} + 2)(\sqrt[4]{m} + 3)$
Ответ: $(\sqrt[4]{m} + 2)(\sqrt[4]{m} + 3)$
в) В выражении $\sqrt[5]{a} + 7\sqrt[10]{a} + 12$ заметим, что $\sqrt[5]{a} = (\sqrt[10]{a})^2$. Сделаем замену переменной.
Пусть $y = \sqrt[10]{a}$. Тогда исходное выражение можно записать как:
$y^2 + 7y + 12$
Найдем корни квадратного уравнения $y^2 + 7y + 12 = 0$.
По теореме Виета, $y_1 + y_2 = -7$ и $y_1 \cdot y_2 = 12$.
Корнями являются $y_1 = -3$ и $y_2 = -4$.
Разложим трехчлен на множители:
$y^2 + 7y + 12 = (y - (-3))(y - (-4)) = (y + 3)(y + 4)$
Выполним обратную замену $y = \sqrt[10]{a}$:
$(\sqrt[10]{a} + 3)(\sqrt[10]{a} + 4)$
Ответ: $(\sqrt[10]{a} + 3)(\sqrt[10]{a} + 4)$
г) В выражении $2\sqrt[3]{x} - \sqrt[6]{x} - 1$ заметим, что $\sqrt[3]{x} = (\sqrt[6]{x})^2$. Сделаем замену переменной.
Пусть $y = \sqrt[6]{x}$. Тогда исходное выражение примет вид:
$2y^2 - y - 1$
Чтобы разложить этот трехчлен на множители, решим квадратное уравнение $2y^2 - y - 1 = 0$.
Найдем дискриминант: $D = b^2 - 4ac = (-1)^2 - 4 \cdot 2 \cdot (-1) = 1 + 8 = 9$.
Найдем корни уравнения:
$y_1 = \frac{-b + \sqrt{D}}{2a} = \frac{1 + \sqrt{9}}{2 \cdot 2} = \frac{1 + 3}{4} = 1$
$y_2 = \frac{-b - \sqrt{D}}{2a} = \frac{1 - \sqrt{9}}{2 \cdot 2} = \frac{1 - 3}{4} = -\frac{2}{4} = -\frac{1}{2}$
Разложение на множители имеет вид $a(y - y_1)(y - y_2)$:
$2(y - 1)(y - (-\frac{1}{2})) = 2(y - 1)(y + \frac{1}{2}) = (y - 1)(2y + 1)$
Выполним обратную замену $y = \sqrt[6]{x}$:
$(\sqrt[6]{x} - 1)(2\sqrt[6]{x} + 1)$
Ответ: $(\sqrt[6]{x} - 1)(2\sqrt[6]{x} + 1)$
№37.2 (с. 141)
Условие. №37.2 (с. 141)
скриншот условия

37.2 а) $0.2^{0.5}$;
б) $t^{0.8}$;
в) $b^{1.5}$;
г) $8.5^{0.6}$.
Решение 1. №37.2 (с. 141)

Решение 2. №37.2 (с. 141)

Решение 3. №37.2 (с. 141)

Решение 5. №37.2 (с. 141)

Решение 6. №37.2 (с. 141)
Для решения данной задачи необходимо представить степень с десятичным показателем в виде корня. Общее правило преобразования: $a^{m/n} = \sqrt[n]{a^m}$, где $a \ge 0$. Для этого сначала преобразуем десятичную дробь в показателе степени в обыкновенную.
а) $0,2^{0,5}$
1. Преобразуем десятичный показатель $0,5$ в обыкновенную дробь:
$0,5 = \frac{5}{10} = \frac{1}{2}$
2. Подставим полученную дробь в исходное выражение:
$0,2^{0,5} = 0,2^{\frac{1}{2}}$
3. Применим формулу $a^{\frac{m}{n}} = \sqrt[n]{a^m}$:
$0,2^{\frac{1}{2}} = \sqrt[2]{0,2^1} = \sqrt{0,2}$
Ответ: $\sqrt{0,2}$.
б) $t^{0,8}$
1. Преобразуем десятичный показатель $0,8$ в обыкновенную дробь:
$0,8 = \frac{8}{10} = \frac{4}{5}$
2. Подставим полученную дробь в исходное выражение (при условии $t \ge 0$):
$t^{0,8} = t^{\frac{4}{5}}$
3. Применим формулу $a^{\frac{m}{n}} = \sqrt[n]{a^m}$:
$t^{\frac{4}{5}} = \sqrt[5]{t^4}$
Ответ: $\sqrt[5]{t^4}$.
в) $b^{1,5}$
1. Преобразуем десятичный показатель $1,5$ в обыкновенную дробь:
$1,5 = \frac{15}{10} = \frac{3}{2}$
2. Подставим полученную дробь в исходное выражение (при условии $b \ge 0$):
$b^{1,5} = b^{\frac{3}{2}}$
3. Применим формулу $a^{\frac{m}{n}} = \sqrt[n]{a^m}$:
$b^{\frac{3}{2}} = \sqrt[2]{b^3} = \sqrt{b^3}$
Ответ: $\sqrt{b^3}$.
г) $8,5^{0,6}$
1. Преобразуем десятичный показатель $0,6$ в обыкновенную дробь:
$0,6 = \frac{6}{10} = \frac{3}{5}$
2. Подставим полученную дробь в исходное выражение:
$8,5^{0,6} = 8,5^{\frac{3}{5}}$
3. Применим формулу $a^{\frac{m}{n}} = \sqrt[n]{a^m}$:
$8,5^{\frac{3}{5}} = \sqrt[5]{8,5^3}$
Ответ: $\sqrt[5]{8,5^3}$.
№37.3 (с. 141)
Условие. №37.3 (с. 141)
скриншот условия

Представьте заданное выражение в виде степени с рациональным показателем:
37.3 а) $\sqrt{1,3}$;
б) $\sqrt{\frac{3}{5}}$;
в) $\sqrt[4]{\frac{2}{3}}$;
г) $\sqrt[3]{4,3}$.
Решение 1. №37.3 (с. 141)

Решение 2. №37.3 (с. 141)

Решение 3. №37.3 (с. 141)

Решение 5. №37.3 (с. 141)


Решение 6. №37.3 (с. 141)
Для представления выражения в виде степени с рациональным показателем используется основное свойство корня $n$-ой степени: $\sqrt[n]{a} = a^{\frac{1}{n}}$ для любого натурального числа $n \ge 2$ и любого неотрицательного числа $a$. Если $n$ — нечетное число, то $a$ может быть любым действительным числом.
а) В выражении $\sqrt{1,3}$ имеем квадратный корень, у которого показатель корня $n=2$. Основание $a=1,3$.
Применяя формулу, получаем:
$\sqrt{1,3} = \sqrt[2]{1,3} = (1,3)^{\frac{1}{2}}$
Ответ: $(1,3)^{\frac{1}{2}}$.
б) В выражении $\sqrt[7]{\frac{3}{5}}$ показатель корня $n=7$. Основание $a=\frac{3}{5}$.
Применяя формулу, получаем:
$\sqrt[7]{\frac{3}{5}} = \left(\frac{3}{5}\right)^{\frac{1}{7}}$
Ответ: $\left(\frac{3}{5}\right)^{\frac{1}{7}}$.
в) В выражении $\sqrt[4]{\frac{2}{3}}$ показатель корня $n=4$. Основание $a=\frac{2}{3}$.
Применяя формулу, получаем:
$\sqrt[4]{\frac{2}{3}} = \left(\frac{2}{3}\right)^{\frac{1}{4}}$
Ответ: $\left(\frac{2}{3}\right)^{\frac{1}{4}}$.
г) В выражении $\sqrt[3]{4,3}$ показатель корня $n=3$. Основание $a=4,3$.
Применяя формулу, получаем:
$\sqrt[3]{4,3} = (4,3)^{\frac{1}{3}}$
Ответ: $(4,3)^{\frac{1}{3}}$.
№37.4 (с. 141)
Условие. №37.4 (с. 141)
скриншот условия

37.4 а) $\sqrt[5]{b^4}$;
б) $\sqrt[3]{a^2}$;
В) $\sqrt[11]{c^2}$;
Г) $\sqrt[5]{a}$.
Решение 1. №37.4 (с. 141)

Решение 2. №37.4 (с. 141)

Решение 3. №37.4 (с. 141)

Решение 5. №37.4 (с. 141)

Решение 6. №37.4 (с. 141)
а) Чтобы представить корень в виде степени с рациональным показателем, используется формула $\sqrt[n]{x^m} = x^{\frac{m}{n}}$. В данном выражении показатель корня $n=5$, а показатель степени подкоренного выражения $m=4$.
Следовательно, $\sqrt[5]{b^4} = b^{\frac{4}{5}}$.
Ответ: $b^{\frac{4}{5}}$.
б) Применим ту же формулу $\sqrt[n]{x^m} = x^{\frac{m}{n}}$. Здесь показатель корня $n=3$, а показатель степени подкоренного выражения $m=2$.
Таким образом, $\sqrt[3]{a^2} = a^{\frac{2}{3}}$.
Ответ: $a^{\frac{2}{3}}$.
в) Используем свойство представления корня в виде степени: $\sqrt[n]{x^m} = x^{\frac{m}{n}}$. В этом случае показатель корня $n=11$, а показатель степени подкоренного выражения $m=2$.
Получаем, $\sqrt[11]{c^2} = c^{\frac{2}{11}}$.
Ответ: $c^{\frac{2}{11}}$.
г) Снова воспользуемся формулой $\sqrt[n]{x^m} = x^{\frac{m}{n}}$. Если показатель степени подкоренного выражения не указан, он считается равным 1, то есть $a = a^1$. Показатель корня равен $n=5$, а показатель степени подкоренного выражения $m=1$.
Следовательно, $\sqrt[5]{a} = \sqrt[5]{a^1} = a^{\frac{1}{5}}$.
Ответ: $a^{\frac{1}{5}}$.
№37.1 (с. 141)
Условие. №37.1 (с. 141)
скриншот условия

Представьте степень с дробным показателем в виде корня:
37.1 а) $c^{\frac{3}{4}};$
б) $p^{5 + \frac{1}{2}};$
в) $x^{\frac{3}{4}};$
г) $y^{2 + \frac{2}{3}}.$
Решение 1. №37.1 (с. 141)

Решение 2. №37.1 (с. 141)

Решение 3. №37.1 (с. 141)

Решение 5. №37.1 (с. 141)

Решение 6. №37.1 (с. 141)
Для того чтобы представить степень с дробным показателем в виде корня, используется следующее тождество: $a^{\frac{m}{n}} = \sqrt[n]{a^m}$. В этой формуле знаменатель дроби $n$ становится показателем степени корня, а числитель $m$ — показателем степени подкоренного выражения.
а) $c^{\frac{3}{4}}$
В этом выражении основание $a=c$, числитель показателя степени $m=3$, а знаменатель $n=4$.
Применяя формулу, получаем:
$c^{\frac{3}{4}} = \sqrt[4]{c^3}$
Ответ: $\sqrt[4]{c^3}$
б) $p^{5\frac{1}{2}}$
Сначала необходимо преобразовать смешанное число в показателе степени в неправильную дробь:
$5\frac{1}{2} = 5 + \frac{1}{2} = \frac{10}{2} + \frac{1}{2} = \frac{11}{2}$
Таким образом, исходное выражение можно записать как $p^{\frac{11}{2}}$.
Теперь применяем формулу $a^{\frac{m}{n}} = \sqrt[n]{a^m}$, где $a=p$, $m=11$, $n=2$:
$p^{\frac{11}{2}} = \sqrt[2]{p^{11}}$
Показатель корня, равный 2, обычно не пишется, поэтому выражение принимает вид:
$\sqrt{p^{11}}$
Ответ: $\sqrt{p^{11}}$
в) $x^{\frac{3}{4}}$
Здесь основание $a=x$, числитель показателя $m=3$, знаменатель $n=4$.
Используем формулу:
$x^{\frac{3}{4}} = \sqrt[4]{x^3}$
Ответ: $\sqrt[4]{x^3}$
г) $y^{2\frac{2}{3}}$
Сначала преобразуем смешанный показатель в неправильную дробь:
$2\frac{2}{3} = 2 + \frac{2}{3} = \frac{6}{3} + \frac{2}{3} = \frac{8}{3}$
Получаем выражение $y^{\frac{8}{3}}$.
Применяем формулу $a^{\frac{m}{n}} = \sqrt[n]{a^m}$ для $a=y$, $m=8$, $n=3$:
$y^{\frac{8}{3}} = \sqrt[3]{y^8}$
Ответ: $\sqrt[3]{y^8}$
Помогло решение? Оставьте отзыв в комментариях ниже.