Номер 847, страница 213 - гдз по геометрии 10-11 класс учебник Атанасян, Бутузов

Авторы: Атанасян Л. С., Бутузов В. Ф., Кадомцев С. Б., Позняк Э. Г., Киселёва Л. С.
Тип: Учебник
Издательство: Просвещение
Год издания: 2019 - 2025
Уровень обучения: базовый и углублённый
Цвет обложки: коричневый с ромбами
ISBN: 978-5-09-103606-0 (2023)
Допущено Министерством просвещения Российской Федерации
Математика: алгебра и начала математического анализа, геометрия
Популярные ГДЗ в 10 классе
Параграф 2. Решение треугольников. Глава 8. Некоторые сведения из планиметрии - номер 847, страница 213.
№847 (с. 213)
Условие. №847 (с. 213)
скриншот условия

847. Докажите, что: а) квадрат площади S выпуклого четырёхугольника со сторонами а, b, c, d и полупериметром р выражается форму лой S² = (р − а) (р − b) (р − с) (p − d) − abcd cos²B + D2; б) площадь S вписанного четырёхугольника выражается формулой S = (р − a)(р − b)(р − c)(р − d); исходя из этой формулы, получите формулу Герона для площади треугольника.
Решение 2. №847 (с. 213)


Решение 6. №847 (с. 213)
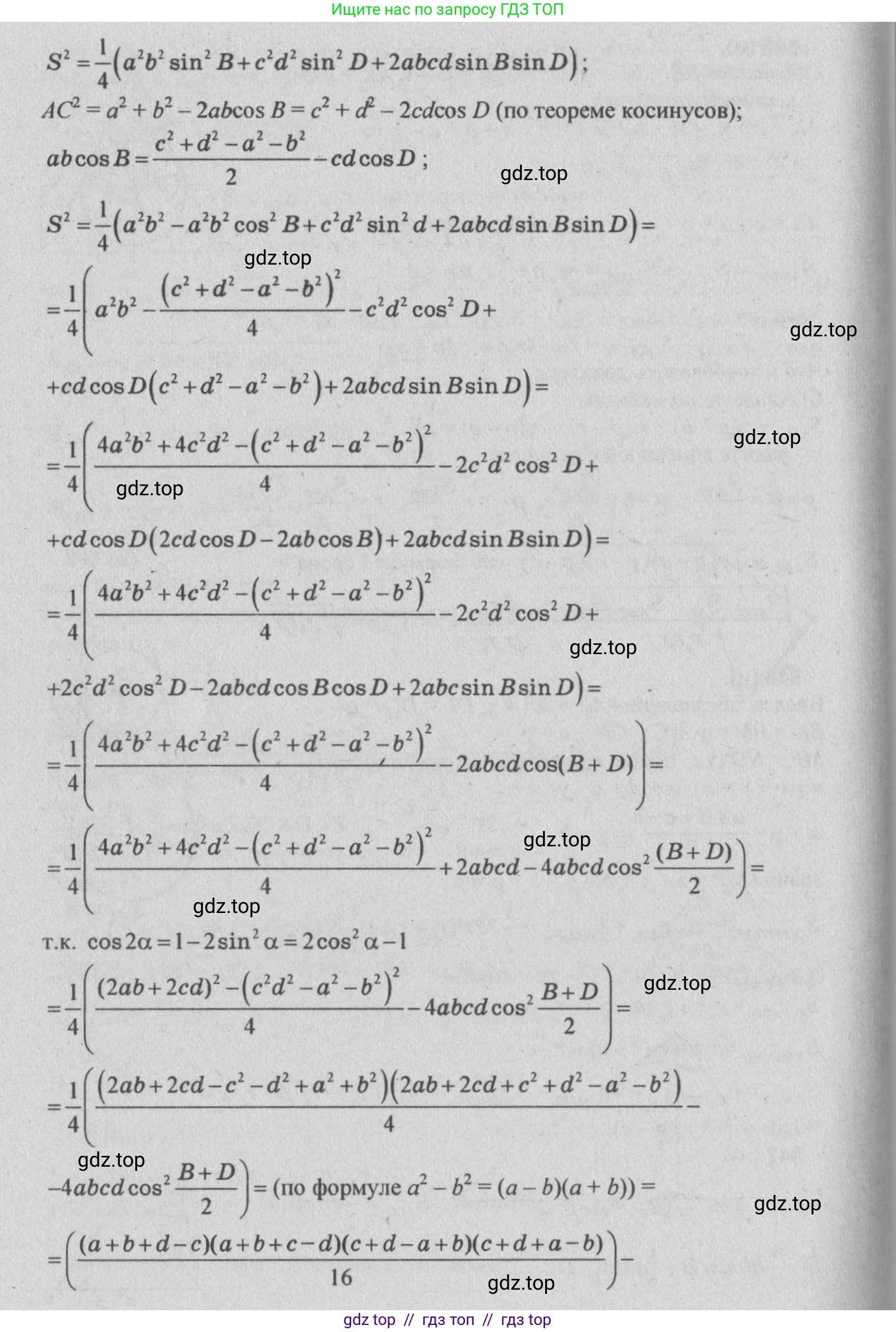
а) Докажем формулу для квадрата площади выпуклого четырехугольника, известную как формула Бретшнайдера.
Пусть дан выпуклый четырехугольник со сторонами $a, b, c, d$ и углами $B$ и $D$, противолежащими друг другу. Площадь $S$ этого четырехугольника можно представить как сумму площадей двух треугольников, на которые его разбивает диагональ. Проведем диагональ между вершинами, не инцидентными сторонам $a, b$ и $c, d$. Площадь $S$ равна сумме площадей треугольников с общим основанием (диагональю), сторонами $a, b$ и $c, d$ и углами между ними $B$ и $D$ соответственно.
$S = \frac{1}{2}ab \sin B + \frac{1}{2}cd \sin D$
Умножим обе части на 2:
$2S = ab \sin B + cd \sin D$
Возведем обе части в квадрат:
$(2S)^2 = 4S^2 = (ab \sin B + cd \sin D)^2 = a^2b^2\sin^2B + 2abcd \sin B \sin D + c^2d^2\sin^2D$
Это выражение не совсем удобно. Воспользуемся другим подходом. Перепишем равенство для площади как $4S = 2ab \sin B + 2cd \sin D$.
По теореме косинусов для тех же двух треугольников, квадрат длины диагонали равен:
$d_{diag}^2 = a^2 + b^2 - 2ab \cos B$
$d_{diag}^2 = c^2 + d^2 - 2cd \cos D$
Приравнивая правые части, получаем:
$a^2 + b^2 - 2ab \cos B = c^2 + d^2 - 2cd \cos D$
Перегруппируем члены:
$a^2 + b^2 - c^2 - d^2 = 2ab \cos B - 2cd \cos D$
Теперь у нас есть два равенства:
$4S = 2ab \sin B + 2cd \sin D$
$a^2 + b^2 - c^2 - d^2 = 2ab \cos B - 2cd \cos D$
Возведем оба равенства в квадрат и сложим их:
$(4S)^2 + (a^2 + b^2 - c^2 - d^2)^2 = (2ab \sin B + 2cd \sin D)^2 + (2ab \cos B - 2cd \cos D)^2$
Раскроем скобки в правой части:
$16S^2 + (a^2 + b^2 - c^2 - d^2)^2 = (4a^2b^2\sin^2B + 8abcd\sin B \sin D + 4c^2d^2\sin^2D) + (4a^2b^2\cos^2B - 8abcd\cos B \cos D + 4c^2d^2\cos^2D)$
Сгруппируем слагаемые и воспользуемся основным тригонометрическим тождеством $\sin^2\theta + \cos^2\theta = 1$ и формулой косинуса суммы углов $\cos(B+D) = \cos B \cos D - \sin B \sin D$:
$16S^2 + (a^2 + b^2 - c^2 - d^2)^2 = 4a^2b^2(\sin^2B + \cos^2B) + 4c^2d^2(\sin^2D + \cos^2D) - 8abcd(\cos B \cos D - \sin B \sin D)$
$16S^2 + (a^2 + b^2 - c^2 - d^2)^2 = 4a^2b^2 + 4c^2d^2 - 8abcd\cos(B+D)$
Выразим $16S^2$:
$16S^2 = 4a^2b^2 + 4c^2d^2 - (a^2 + b^2 - c^2 - d^2)^2 - 8abcd\cos(B+D)$
Используем формулу косинуса двойного угла: $\cos(B+D) = 2\cos^2\frac{B+D}{2} - 1$.
$16S^2 = 4a^2b^2 + 4c^2d^2 - (a^2 + b^2 - c^2 - d^2)^2 - 8abcd(2\cos^2\frac{B+D}{2} - 1)$
$16S^2 = 4a^2b^2 + 4c^2d^2 + 8abcd - (a^2 + b^2 - c^2 - d^2)^2 - 16abcd\cos^2\frac{B+D}{2}$
Сгруппируем первые три слагаемых: $4(ab+cd)^2 = (2(ab+cd))^2$.
$16S^2 = (2(ab+cd))^2 - (a^2 + b^2 - c^2 - d^2)^2 - 16abcd\cos^2\frac{B+D}{2}$
Применим формулу разности квадратов $x^2-y^2=(x-y)(x+y)$ к первым двум членам:
$(2ab+2cd - (a^2+b^2-c^2-d^2))(2ab+2cd + (a^2+b^2-c^2-d^2)) = ((c^2+2cd+d^2) - (a^2-2ab+b^2))((a^2+2ab+b^2) - (c^2-2cd+d^2))$
$= ((c+d)^2 - (a-b)^2)((a+b)^2 - (c-d)^2)$
$= (c+d-a+b)(c+d+a-b)(a+b-c+d)(a+b+c-d)$
Введем полупериметр $p = \frac{a+b+c+d}{2}$, тогда $2p = a+b+c+d$. Выразим каждый множитель через $p$:
$a+b+c-d = 2p - 2d = 2(p-d)$
$a+b-c+d = 2p - 2c = 2(p-c)$
$a-b+c+d = 2p - 2b = 2(p-b)$
$-a+b+c+d = 2p - 2a = 2(p-a)$
Произведение этих четырех множителей равно $16(p-a)(p-b)(p-c)(p-d)$.
Подставим это обратно в выражение для $16S^2$:
$16S^2 = 16(p-a)(p-b)(p-c)(p-d) - 16abcd\cos^2\frac{B+D}{2}$
Разделив обе части на 16, получаем искомую формулу:
$S^2 = (p-a)(p-b)(p-c)(p-d) - abcd\cos^2\frac{B+D}{2}$
Ответ: Формула $S^2 = (p - a)(p - b)(p - c)(p - d) - abcd \cos^2\frac{B+D}{2}$ доказана.
б) Докажем формулу для площади вписанного четырехугольника и выведем из нее формулу Герона.
Вписанный четырехугольник — это четырехугольник, вершины которого лежат на одной окружности. Для такого четырехугольника сумма противолежащих углов равна $180^\circ$. Пусть это углы $B$ и $D$, тогда $B+D = 180^\circ$.
Воспользуемся формулой, доказанной в пункте а):
$S^2 = (p-a)(p-b)(p-c)(p-d) - abcd\cos^2\frac{B+D}{2}$
Так как $B+D = 180^\circ$, то $\frac{B+D}{2} = 90^\circ$.
Косинус этого угла равен $\cos(90^\circ) = 0$.
Следовательно, второй член в формуле Бретшнайдера обращается в ноль:
$abcd\cos^2\frac{B+D}{2} = abcd \cdot 0^2 = 0$
Таким образом, для вписанного четырехугольника формула для квадрата площади упрощается до:
$S^2 = (p-a)(p-b)(p-c)(p-d)$
Извлекая квадратный корень, получаем формулу Брахмагупты для площади вписанного четырехугольника:
$S = \sqrt{(p-a)(p-b)(p-c)(p-d)}$
Теперь, исходя из этой формулы, получим формулу Герона для площади треугольника. Треугольник можно рассматривать как вырожденный четырехугольник, у которого длина одной из сторон, например $d$, равна нулю ($d=0$). В этом случае вершины $A$ и $D$ совпадают, и четырехугольник $ABCD$ становится треугольником $ABC$.
Полупериметр $p$ такого четырехугольника равен полупериметру треугольника:
$p = \frac{a+b+c+0}{2} = \frac{a+b+c}{2}$
Любой треугольник можно вписать в окружность, поэтому мы можем применить к нему формулу Брахмагупты, подставив $d=0$:
$S = \sqrt{(p-a)(p-b)(p-c)(p-0)}$
$S = \sqrt{p(p-a)(p-b)(p-c)}$
Это и есть формула Герона для площади треугольника.
Ответ: Формула площади вписанного четырехугольника $S = \sqrt{(p-a)(p-b)(p-c)(p-d)}$ доказана. Исходя из неё, получена формула Герона для площади треугольника $S = \sqrt{p(p-a)(p-b)(p-c)}$.
Другие задания:
Помогло решение? Оставьте отзыв в комментариях ниже.
Присоединяйтесь к Телеграм-группе @top_gdz
ПрисоединитьсяМы подготовили для вас ответ c подробным объяснением домашего задания по геометрии за 10-11 класс, для упражнения номер 847 расположенного на странице 213 к учебнику 2019 года издания для учащихся школ и гимназий.
Теперь на нашем сайте ГДЗ.ТОП вы всегда легко и бесплатно найдёте условие с правильным ответом на вопрос «Как решить ДЗ» и «Как сделать» задание по геометрии к упражнению №847 (с. 213), авторов: Атанасян (Левон Сергеевич), Бутузов (Валентин Фёдорович), Кадомцев (Сергей Борисович), Позняк (Эдуард Генрихович), Киселёва (Людмила Сергеевна), ФГОС (старый) базовый и углублённый уровень обучения учебного пособия издательства Просвещение.