Номер 4, страница 20, часть 1 - гдз по алгебре 8 класс рабочая тетрадь Крайнева, Миндюк

Авторы: Крайнева Л. Б., Миндюк Н. Г., Шлыкова И. С.
Тип: рабочая тетрадь
Издательство: Просвещение
Год издания: 2024 - 2025
Уровень обучения: базовый
Часть: 1
Цвет обложки: белый, голубой
ISBN: 978-5-09-110334-2
Популярные ГДЗ в 8 классе
4. Сложение и вычитание дробей с разными знаменателями. Глава 1. Рациональные дроби. Часть 1 - номер 4, страница 20.
№4 (с. 20)
Условие. №4 (с. 20)
скриншот условия

4. Представьте в виде дроби:
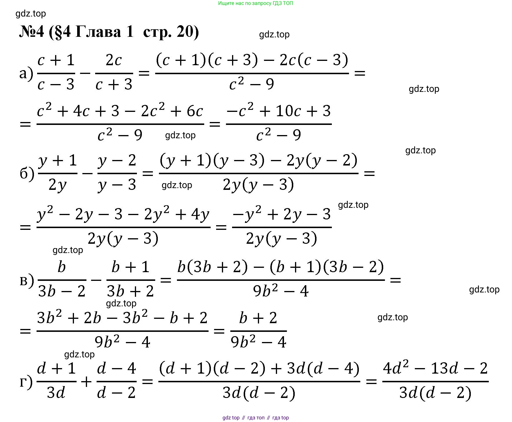
а) $ \frac{c+1}{c-3} - \frac{2c}{c+3}= $
б) $ \frac{y+1}{2y} - \frac{y-2}{y-3}= $
В) $ \frac{b}{3b-2} - \frac{b+1}{3b+2}= $
Г) $ \frac{d+1}{3d} + \frac{d-4}{d-2}= $
Решение. №4 (с. 20)

Решение 2. №4 (с. 20)
а) Чтобы вычесть дроби $\frac{c+1}{c-3}$ и $\frac{2c}{c+3}$, необходимо привести их к общему знаменателю.
Общим знаменателем является произведение знаменателей $(c-3)$ и $(c+3)$, что по формуле разности квадратов равно $c^2 - 9$.
Дополнительный множитель для первой дроби — $(c+3)$, для второй дроби — $(c-3)$.
Выполняем преобразования:
$\frac{c+1}{c-3} - \frac{2c}{c+3} = \frac{(c+1)(c+3)}{(c-3)(c+3)} - \frac{2c(c-3)}{(c-3)(c+3)} = \frac{(c+1)(c+3) - 2c(c-3)}{c^2-9}$
Раскроем скобки в числителе и приведём подобные слагаемые:
$(c^2 + 3c + c + 3) - (2c^2 - 6c) = c^2 + 4c + 3 - 2c^2 + 6c = -c^2 + 10c + 3$
В результате получаем дробь:
$\frac{-c^2 + 10c + 3}{c^2 - 9}$
Ответ: $\frac{-c^2 + 10c + 3}{c^2 - 9}$
б) Чтобы вычесть дроби $\frac{y+1}{2y}$ и $\frac{y-2}{y-3}$, приведем их к общему знаменателю.
Общий знаменатель для $2y$ и $y-3$ — это их произведение: $2y(y-3)$.
Дополнительный множитель для первой дроби — $(y-3)$, для второй — $2y$.
Приводим к общему знаменателю и вычитаем:
$\frac{y+1}{2y} - \frac{y-2}{y-3} = \frac{(y+1)(y-3)}{2y(y-3)} - \frac{2y(y-2)}{2y(y-3)} = \frac{(y+1)(y-3) - 2y(y-2)}{2y(y-3)}$
Раскроем скобки в числителе и упростим:
$(y^2 - 3y + y - 3) - (2y^2 - 4y) = y^2 - 2y - 3 - 2y^2 + 4y = -y^2 + 2y - 3$
В результате получаем дробь:
$\frac{-y^2 + 2y - 3}{2y(y-3)}$
Ответ: $\frac{-y^2 + 2y - 3}{2y(y-3)}$
в) Чтобы вычесть дроби $\frac{b}{3b-2}$ и $\frac{b+1}{3b+2}$, приведем их к общему знаменателю.
Общий знаменатель — это произведение $(3b-2)(3b+2)$, что равно $9b^2-4$ по формуле разности квадратов.
Дополнительный множитель для первой дроби — $(3b+2)$, для второй — $(3b-2)$.
Выполняем преобразования:
$\frac{b}{3b-2} - \frac{b+1}{3b+2} = \frac{b(3b+2)}{(3b-2)(3b+2)} - \frac{(b+1)(3b-2)}{(3b-2)(3b+2)} = \frac{b(3b+2) - (b+1)(3b-2)}{9b^2-4}$
Раскроем скобки в числителе и приведем подобные:
$(3b^2+2b) - (3b^2 - 2b + 3b - 2) = 3b^2+2b - (3b^2+b-2) = 3b^2+2b-3b^2-b+2 = b+2$
В результате получаем дробь:
$\frac{b+2}{9b^2-4}$
Ответ: $\frac{b+2}{9b^2-4}$
г) Чтобы сложить дроби $\frac{d+1}{3d}$ и $\frac{d-4}{d-2}$, приведем их к общему знаменателю.
Общий знаменатель для $3d$ и $d-2$ — это их произведение: $3d(d-2)$.
Дополнительный множитель для первой дроби — $(d-2)$, для второй — $3d$.
Приводим к общему знаменателю и складываем:
$\frac{d+1}{3d} + \frac{d-4}{d-2} = \frac{(d+1)(d-2)}{3d(d-2)} + \frac{3d(d-4)}{3d(d-2)} = \frac{(d+1)(d-2) + 3d(d-4)}{3d(d-2)}$
Раскроем скобки в числителе и упростим выражение:
$(d^2 - 2d + d - 2) + (3d^2 - 12d) = d^2 - d - 2 + 3d^2 - 12d = 4d^2 - 13d - 2$
В результате получаем дробь:
$\frac{4d^2 - 13d - 2}{3d(d-2)}$
Ответ: $\frac{4d^2 - 13d - 2}{3d(d-2)}$
Другие задания:
Помогло решение? Оставьте отзыв в комментариях ниже.
Присоединяйтесь к Телеграм-группе @top_gdz
ПрисоединитьсяМы подготовили для вас ответ c подробным объяснением домашего задания по алгебре за 8 класс, для упражнения номер 4 расположенного на странице 20 для 1-й части к рабочей тетради 2024 года издания для учащихся школ и гимназий.
Теперь на нашем сайте ГДЗ.ТОП вы всегда легко и бесплатно найдёте условие с правильным ответом на вопрос «Как решить ДЗ» и «Как сделать» задание по алгебре к упражнению №4 (с. 20), авторов: Крайнева (Лариса Борисовна), Миндюк (Нора Григорьевна), Шлыкова (Инга Соломоновна), 1-й части ФГОС (новый, красный) базовый уровень обучения учебного пособия издательства Просвещение.