Номер 9, страница 23, часть 1 - гдз по алгебре 8 класс рабочая тетрадь Крайнева, Миндюк

Авторы: Крайнева Л. Б., Миндюк Н. Г., Шлыкова И. С.
Тип: рабочая тетрадь
Издательство: Просвещение
Год издания: 2024 - 2025
Уровень обучения: базовый
Часть: 1
Цвет обложки: белый, голубой
ISBN: 978-5-09-110334-2
Популярные ГДЗ в 8 классе
4. Сложение и вычитание дробей с разными знаменателями. Глава 1. Рациональные дроби. Часть 1 - номер 9, страница 23.
№9 (с. 23)
Условие. №9 (с. 23)
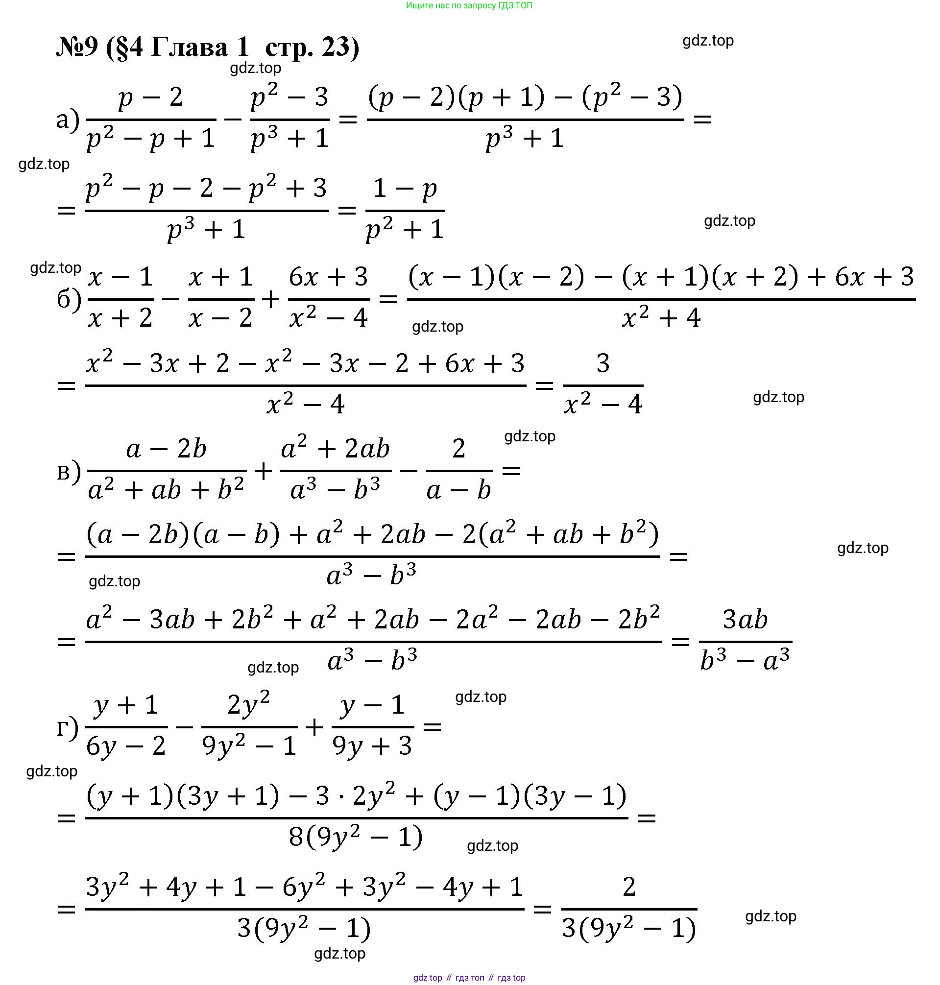
скриншот условия

9. Упростите выражение:
a) $\frac{p-2}{p^2-p+1} - \frac{p^2-3}{p^3+1} = $
б) $\frac{x-1}{x+2} - \frac{x+1}{x-2} + \frac{6x+3}{x^2-4} = $
в) $\frac{a-2b}{a^2+ab+b^2} + \frac{a^2+2ab}{a^3-b^3} - \frac{2}{a-b} = $
г) $\frac{y+1}{6y-2} - \frac{2y^2}{9y^2-1} + \frac{y-1}{9y+3} = $
Решение. №9 (с. 23)

Решение 2. №9 (с. 23)
а) Исходное выражение: $\frac{p-2}{p^2-p+1} - \frac{p^2-3}{p^3+1}$.
Для приведения дробей к общему знаменателю разложим знаменатель второй дроби на множители по формуле суммы кубов $a^3+b^3=(a+b)(a^2-ab+b^2)$:
$p^3+1 = p^3+1^3 = (p+1)(p^2-p+1)$.
Общим знаменателем является выражение $(p+1)(p^2-p+1)$.
Домножим числитель и знаменатель первой дроби на недостающий множитель $(p+1)$:
$\frac{p-2}{p^2-p+1} = \frac{(p-2)(p+1)}{(p^2-p+1)(p+1)} = \frac{p^2+p-2p-2}{p^3+1} = \frac{p^2-p-2}{p^3+1}$.
Теперь выполним вычитание дробей с одинаковыми знаменателями:
$\frac{p^2-p-2}{p^3+1} - \frac{p^2-3}{p^3+1} = \frac{(p^2-p-2) - (p^2-3)}{p^3+1}$.
Раскроем скобки в числителе и приведем подобные слагаемые:
$\frac{p^2-p-2 - p^2+3}{p^3+1} = \frac{-p+1}{p^3+1} = \frac{1-p}{p^3+1}$.
Ответ: $\frac{1-p}{p^3+1}$
б) Исходное выражение: $\frac{x-1}{x+2} - \frac{x+1}{x-2} + \frac{6x+3}{x^2-4}$.
Разложим знаменатель третьей дроби на множители по формуле разности квадратов $a^2-b^2=(a-b)(a+b)$:
$x^2-4 = (x-2)(x+2)$.
Общим знаменателем является выражение $(x-2)(x+2)$.
Приведем все дроби к общему знаменателю:
$\frac{(x-1)(x-2)}{(x+2)(x-2)} - \frac{(x+1)(x+2)}{(x-2)(x+2)} + \frac{6x+3}{(x-2)(x+2)}$.
Запишем все под одной дробной чертой и раскроем скобки в числителе:
$\frac{(x^2-2x-x+2) - (x^2+2x+x+2) + (6x+3)}{(x-2)(x+2)} = \frac{(x^2-3x+2) - (x^2+3x+2) + 6x+3}{x^2-4}$.
Упростим числитель, приведя подобные слагаемые:
$\frac{x^2-3x+2 - x^2-3x-2 + 6x+3}{x^2-4} = \frac{(x^2-x^2) + (-3x-3x+6x) + (2-2+3)}{x^2-4} = \frac{3}{x^2-4}$.
Ответ: $\frac{3}{x^2-4}$
в) Исходное выражение: $\frac{a-2b}{a^2+ab+b^2} + \frac{a^2+2ab}{a^3-b^3} - \frac{2}{a-b}$.
Разложим знаменатель второй дроби по формуле разности кубов $a^3-b^3=(a-b)(a^2+ab+b^2)$:
$a^3-b^3 = (a-b)(a^2+ab+b^2)$.
Общим знаменателем является выражение $(a-b)(a^2+ab+b^2)$.
Приведем все дроби к общему знаменателю:
$\frac{(a-2b)(a-b)}{(a-b)(a^2+ab+b^2)} + \frac{a^2+2ab}{(a-b)(a^2+ab+b^2)} - \frac{2(a^2+ab+b^2)}{(a-b)(a^2+ab+b^2)}$.
Запишем все под одной дробной чертой и раскроем скобки в числителе:
$\frac{(a^2-ab-2ab+2b^2) + (a^2+2ab) - (2a^2+2ab+2b^2)}{a^3-b^3} = \frac{a^2-3ab+2b^2 + a^2+2ab - 2a^2-2ab-2b^2}{a^3-b^3}$.
Сгруппируем и приведем подобные слагаемые в числителе:
$\frac{(a^2+a^2-2a^2) + (-3ab+2ab-2ab) + (2b^2-2b^2)}{a^3-b^3} = \frac{0 - 3ab + 0}{a^3-b^3} = \frac{-3ab}{a^3-b^3}$.
Ответ: $\frac{-3ab}{a^3-b^3}$
г) Исходное выражение: $\frac{y+1}{6y-2} - \frac{2y^2}{9y^2-1} + \frac{y-1}{9y+3}$.
Разложим каждый знаменатель на множители:
$6y-2 = 2(3y-1)$
$9y^2-1 = (3y)^2 - 1^2 = (3y-1)(3y+1)$
$9y+3 = 3(3y+1)$
Найдем наименьший общий знаменатель: $НОЗ = 2 \cdot 3 \cdot (3y-1)(3y+1) = 6(3y-1)(3y+1) = 6(9y^2-1)$.
Приведем дроби к общему знаменателю:
$\frac{(y+1) \cdot 3(3y+1)}{6(9y^2-1)} - \frac{2y^2 \cdot 6}{6(9y^2-1)} + \frac{(y-1) \cdot 2(3y-1)}{6(9y^2-1)}$.
Запишем все под одной дробной чертой:
$\frac{3(y+1)(3y+1) - 12y^2 + 2(y-1)(3y-1)}{6(9y^2-1)}$.
Раскроем скобки в числителе:
$3(3y^2+y+3y+1) - 12y^2 + 2(3y^2-y-3y+1) = 3(3y^2+4y+1) - 12y^2 + 2(3y^2-4y+1)$.
$9y^2+12y+3 - 12y^2 + 6y^2-8y+2$.
Сгруппируем и упростим числитель:
$(9y^2-12y^2+6y^2) + (12y-8y) + (3+2) = 3y^2+4y+5$.
Итоговое выражение:
$\frac{3y^2+4y+5}{6(9y^2-1)}$.
Ответ: $\frac{3y^2+4y+5}{6(9y^2-1)}$
Другие задания:
Помогло решение? Оставьте отзыв в комментариях ниже.
Присоединяйтесь к Телеграм-группе @top_gdz
ПрисоединитьсяМы подготовили для вас ответ c подробным объяснением домашего задания по алгебре за 8 класс, для упражнения номер 9 расположенного на странице 23 для 1-й части к рабочей тетради 2024 года издания для учащихся школ и гимназий.
Теперь на нашем сайте ГДЗ.ТОП вы всегда легко и бесплатно найдёте условие с правильным ответом на вопрос «Как решить ДЗ» и «Как сделать» задание по алгебре к упражнению №9 (с. 23), авторов: Крайнева (Лариса Борисовна), Миндюк (Нора Григорьевна), Шлыкова (Инга Соломоновна), 1-й части ФГОС (новый, красный) базовый уровень обучения учебного пособия издательства Просвещение.