Номер 11, страница 29, часть 1 - гдз по алгебре 8 класс рабочая тетрадь Крайнева, Миндюк

Авторы: Крайнева Л. Б., Миндюк Н. Г., Шлыкова И. С.
Тип: рабочая тетрадь
Издательство: Просвещение
Год издания: 2024 - 2025
Уровень обучения: базовый
Часть: 1
Цвет обложки: белый, голубой
ISBN: 978-5-09-110334-2
Популярные ГДЗ в 8 классе
5. Умножение дробей. Возведение дроби в степень. Глава 1. Рациональные дроби. Часть 1 - номер 11, страница 29.
№11 (с. 29)
Условие. №11 (с. 29)
скриншот условия

11. Выполните умножение:
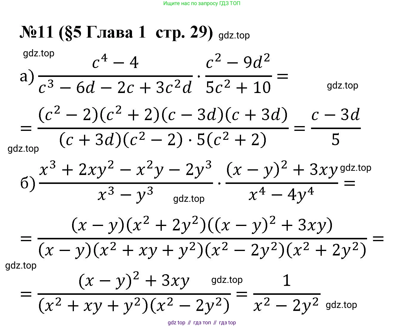
a) $\frac{c^4 - 4}{c^3 - 6d - 2c + 3c^2d} \cdot \frac{c^2 - 9d^2}{5c^2 + 10} = \dots$
б) $\frac{x^3 + 2xy^2 - x^2y - 2y^3}{x^3 - y^3} \cdot \frac{(x - y)^2 + 3xy}{x^4 - 4y^4} = \dots$
Решение. №11 (с. 29)

Решение 2. №11 (с. 29)
а)
Чтобы выполнить умножение дробей, необходимо разложить на множители числители и знаменатели, а затем сократить общие множители.
Исходное выражение: $ \frac{c^4 - 4}{c^3 - 6d - 2c + 3c^2d} \cdot \frac{c^2 - 9d^2}{5c^2 + 10} $
1. Разложим на множители числитель первой дроби $c^4 - 4$ по формуле разности квадратов $a^2 - b^2 = (a-b)(a+b)$:
$ c^4 - 4 = (c^2)^2 - 2^2 = (c^2 - 2)(c^2 + 2) $
2. Разложим на множители знаменатель первой дроби $c^3 - 6d - 2c + 3c^2d$ методом группировки:
$ c^3 - 2c + 3c^2d - 6d = (c^3 - 2c) + (3c^2d - 6d) = c(c^2 - 2) + 3d(c^2 - 2) = (c^2 - 2)(c + 3d) $
3. Разложим на множители числитель второй дроби $c^2 - 9d^2$ по формуле разности квадратов:
$ c^2 - 9d^2 = c^2 - (3d)^2 = (c - 3d)(c + 3d) $
4. Разложим на множители знаменатель второй дроби $5c^2 + 10$, вынеся общий множитель за скобки:
$ 5c^2 + 10 = 5(c^2 + 2) $
5. Подставим разложенные выражения в исходное произведение и выполним сокращение:
$ \frac{(c^2 - 2)(c^2 + 2)}{(c^2 - 2)(c + 3d)} \cdot \frac{(c - 3d)(c + 3d)}{5(c^2 + 2)} = \frac{\cancel{(c^2 - 2)}\cancel{(c^2 + 2)}}{\cancel{(c^2 - 2)}\cancel{(c + 3d)}} \cdot \frac{(c - 3d)\cancel{(c + 3d)}}{5\cancel{(c^2 + 2)}} = \frac{c - 3d}{5} $
Ответ: $ \frac{c - 3d}{5} $
б)
Аналогично пункту а), разложим на множители все числители и знаменатели.
Исходное выражение: $ \frac{x^3 + 2xy^2 - x^2y - 2y^3}{x^3 - y^3} \cdot \frac{(x - y)^2 + 3xy}{x^4 - 4y^4} $
1. Разложим на множители числитель первой дроби $x^3 + 2xy^2 - x^2y - 2y^3$ методом группировки:
$ (x^3 - x^2y) + (2xy^2 - 2y^3) = x^2(x - y) + 2y^2(x - y) = (x - y)(x^2 + 2y^2) $
2. Разложим на множители знаменатель первой дроби $x^3 - y^3$ по формуле разности кубов $a^3 - b^3 = (a-b)(a^2+ab+b^2)$:
$ x^3 - y^3 = (x - y)(x^2 + xy + y^2) $
3. Упростим числитель второй дроби $(x - y)^2 + 3xy$, раскрыв квадрат разности и приведя подобные слагаемые:
$ (x^2 - 2xy + y^2) + 3xy = x^2 + xy + y^2 $
4. Разложим на множители знаменатель второй дроби $x^4 - 4y^4$ по формуле разности квадратов:
$ x^4 - 4y^4 = (x^2)^2 - (2y^2)^2 = (x^2 - 2y^2)(x^2 + 2y^2) $
5. Подставим полученные выражения в исходное произведение и выполним сокращение:
$ \frac{(x - y)(x^2 + 2y^2)}{(x - y)(x^2 + xy + y^2)} \cdot \frac{x^2 + xy + y^2}{(x^2 - 2y^2)(x^2 + 2y^2)} = \frac{\cancel{(x - y)}\cancel{(x^2 + 2y^2)}}{\cancel{(x - y)}\cancel{(x^2 + xy + y^2)}} \cdot \frac{\cancel{x^2 + xy + y^2}}{(x^2 - 2y^2)\cancel{(x^2 + 2y^2)}} = \frac{1}{x^2 - 2y^2} $
Ответ: $ \frac{1}{x^2 - 2y^2} $
Другие задания:
Помогло решение? Оставьте отзыв в комментариях ниже.
Присоединяйтесь к Телеграм-группе @top_gdz
ПрисоединитьсяМы подготовили для вас ответ c подробным объяснением домашего задания по алгебре за 8 класс, для упражнения номер 11 расположенного на странице 29 для 1-й части к рабочей тетради 2024 года издания для учащихся школ и гимназий.
Теперь на нашем сайте ГДЗ.ТОП вы всегда легко и бесплатно найдёте условие с правильным ответом на вопрос «Как решить ДЗ» и «Как сделать» задание по алгебре к упражнению №11 (с. 29), авторов: Крайнева (Лариса Борисовна), Миндюк (Нора Григорьевна), Шлыкова (Инга Соломоновна), 1-й части ФГОС (новый, красный) базовый уровень обучения учебного пособия издательства Просвещение.