Номер 7, страница 40, часть 1 - гдз по алгебре 8 класс рабочая тетрадь Крайнева, Миндюк

Авторы: Крайнева Л. Б., Миндюк Н. Г., Шлыкова И. С.
Тип: рабочая тетрадь
Издательство: Просвещение
Год издания: 2024 - 2025
Уровень обучения: базовый
Часть: 1
Цвет обложки: белый, голубой
ISBN: 978-5-09-110334-2
Популярные ГДЗ в 8 классе
7. Преобразование рациональных выражений. Глава 1. Рациональные дроби. Часть 1 - номер 7, страница 40.
№7 (с. 40)
Условие. №7 (с. 40)
скриншот условия

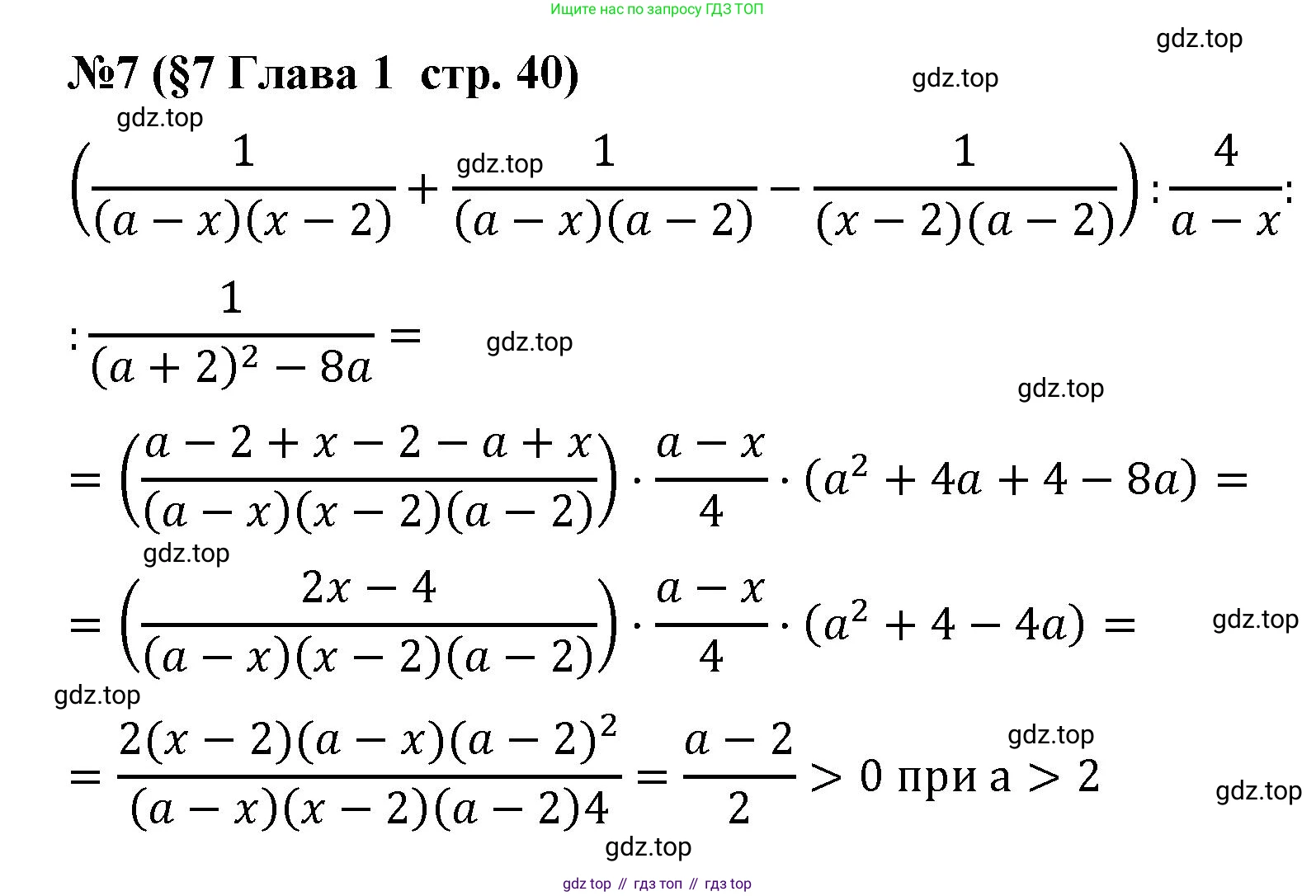
7. Докажите, что значение выражения
$\left( \frac{1}{(a-x)(x-2)} + \frac{1}{(a-x)(a-2)} - \frac{1}{(x-2)(a-2)} \right) : \frac{4}{a-x} : \frac{1}{(a+2)^2-8a}$
положительно при $a > 2$ и любом допустимом значении $x$.
Решение. №7 (с. 40)

Решение 2. №7 (с. 40)
Для того чтобы доказать, что значение выражения положительно, необходимо его упростить. Будем выполнять действия по порядку.
1. Упрощение выражения в скобках.
Найдем общий знаменатель для дробей в скобках: $(a-x)(x-2)(a-2)$. Приведем все дроби к этому знаменателю:
$\left(\frac{1}{(a-x)(x-2)} + \frac{1}{(a-x)(a-2)} - \frac{1}{(x-2)(a-2)}\right) = \frac{1 \cdot (a-2) + 1 \cdot (x-2) - 1 \cdot (a-x)}{(a-x)(x-2)(a-2)}$
Раскроем скобки в числителе и приведем подобные слагаемые:
$\frac{a-2+x-2-a+x}{(a-x)(x-2)(a-2)} = \frac{2x-4}{(a-x)(x-2)(a-2)} = \frac{2(x-2)}{(a-x)(x-2)(a-2)}$
Сократим дробь на $(x-2)$, учитывая, что в области допустимых значений $x \neq 2$:
$\frac{2}{(a-x)(a-2)}$
2. Упрощение второго делителя.
Рассмотрим знаменатель последней дроби и упростим его, используя формулу квадрата разности:
$(a+2)^2 - 8a = (a^2 + 4a + 4) - 8a = a^2 - 4a + 4 = (a-2)^2$
Таким образом, третья дробь в выражении имеет вид $\frac{1}{(a-2)^2}$.
3. Выполнение деления.
Теперь подставим упрощенные части в исходное выражение. Деление на дробь заменяется умножением на обратную дробь.
$\frac{2}{(a-x)(a-2)} : \frac{4}{a-x} : \frac{1}{(a-2)^2} = \frac{2}{(a-x)(a-2)} \cdot \frac{a-x}{4} \cdot \frac{(a-2)^2}{1}$
Сгруппируем множители для сокращения:
$\frac{2 \cdot (a-x) \cdot (a-2)^2}{4 \cdot (a-x) \cdot (a-2)}$
Сократим общие множители $(a-x)$ и $(a-2)$, а также числовой коэффициент. Это возможно, так как для допустимых значений $x \neq a$ и $a \neq 2$.
$\frac{2 \cdot \sout{(a-x)} \cdot (a-2)^{\sout{2}}}{4_2 \cdot \sout{(a-x)} \cdot \sout{(a-2)}} = \frac{a-2}{2}$
4. Анализ результата.
В результате упрощения мы получили выражение $\frac{a-2}{2}$.
По условию задачи $a > 2$.
Если $a > 2$, то разность $a-2$ будет строго положительным числом: $a-2 > 0$.
Знаменатель дроби равен 2, что также является положительным числом.
Деление положительного числа $(a-2)$ на положительное число 2 всегда дает в результате положительное число.
Следовательно, значение выражения $\frac{a-2}{2} > 0$ при $a>2$ и любом допустимом значении $x$.
Ответ: После преобразований исходное выражение равно $\frac{a-2}{2}$. Согласно условию $a > 2$, числитель $a-2$ является положительным числом. Поскольку знаменатель 2 также положителен, значение всего выражения всегда будет положительным, что и требовалось доказать.
Другие задания:
Помогло решение? Оставьте отзыв в комментариях ниже.
Присоединяйтесь к Телеграм-группе @top_gdz
ПрисоединитьсяМы подготовили для вас ответ c подробным объяснением домашего задания по алгебре за 8 класс, для упражнения номер 7 расположенного на странице 40 для 1-й части к рабочей тетради 2024 года издания для учащихся школ и гимназий.
Теперь на нашем сайте ГДЗ.ТОП вы всегда легко и бесплатно найдёте условие с правильным ответом на вопрос «Как решить ДЗ» и «Как сделать» задание по алгебре к упражнению №7 (с. 40), авторов: Крайнева (Лариса Борисовна), Миндюк (Нора Григорьевна), Шлыкова (Инга Соломоновна), 1-й части ФГОС (новый, красный) базовый уровень обучения учебного пособия издательства Просвещение.