Номер 6, страница 120, часть 1 - гдз по алгебре 8 класс рабочая тетрадь Крайнева, Миндюк

Авторы: Крайнева Л. Б., Миндюк Н. Г., Шлыкова И. С.
Тип: рабочая тетрадь
Издательство: Просвещение
Год издания: 2024 - 2025
Уровень обучения: базовый
Часть: 1
Цвет обложки: белый, голубой
ISBN: 978-5-09-110334-2
Популярные ГДЗ в 8 классе
22. Квадратный трёхчлен и его корни. Глава 3. Уравнения и системы уравнений. Часть 1 - номер 6, страница 120.
№6 (с. 120)
Условие. №6 (с. 120)
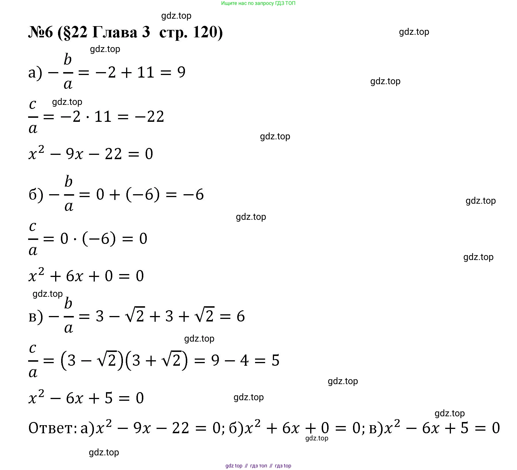
скриншот условия

6. Составьте какой-либо квадратный трёхчлен, корнями которого являются числа:
a) -2 и 11;
б) 0 и -6;
в) 3 - $\sqrt{2}$ и 3 + $\sqrt{2}$.
Решение. №6 (с. 120)

Решение 2. №6 (с. 120)
Чтобы составить квадратный трёхчлен, зная его корни $x_1$ и $x_2$, можно использовать формулу, основанную на разложении на множители: $a(x - x_1)(x - x_2) = 0$. Так как в задаче просят составить какой-либо квадратный трёхчлен, мы можем выбрать старший коэффициент $a$ равным 1 для простоты. В этом случае трёхчлен будет приведённым и примет вид $(x - x_1)(x - x_2)$. Раскрыв скобки, получим $x^2 - x_1x - x_2x + x_1x_2 = x^2 - (x_1 + x_2)x + x_1x_2$.
Этот же результат следует из теоремы, обратной теореме Виета. Для приведённого квадратного трёхчлена $x^2 + px + q = 0$ сумма корней равна $x_1 + x_2 = -p$, а произведение корней равно $x_1 \cdot x_2 = q$. Следовательно, $p = -(x_1 + x_2)$ и $q = x_1 \cdot x_2$.
Воспользуемся этим методом для каждого случая.
а) Даны корни $x_1 = -2$ и $x_2 = 11$.
Найдём их сумму: $x_1 + x_2 = -2 + 11 = 9$.
Найдём их произведение: $x_1 \cdot x_2 = -2 \cdot 11 = -22$.
Подставляем найденные значения в формулу $x^2 - (x_1 + x_2)x + x_1x_2$:
$x^2 - (9)x + (-22) = x^2 - 9x - 22$.
Ответ: $x^2 - 9x - 22$.
б) Даны корни $x_1 = 0$ и $x_2 = -6$.
Найдём их сумму: $x_1 + x_2 = 0 + (-6) = -6$.
Найдём их произведение: $x_1 \cdot x_2 = 0 \cdot (-6) = 0$.
Подставляем найденные значения в формулу $x^2 - (x_1 + x_2)x + x_1x_2$:
$x^2 - (-6)x + 0 = x^2 + 6x$.
Ответ: $x^2 + 6x$.
в) Даны корни $x_1 = 3 - \sqrt{2}$ и $x_2 = 3 + \sqrt{2}$.
Найдём их сумму: $x_1 + x_2 = (3 - \sqrt{2}) + (3 + \sqrt{2}) = 3 + 3 - \sqrt{2} + \sqrt{2} = 6$.
Найдём их произведение. Здесь удобно использовать формулу разности квадратов $(a-b)(a+b) = a^2 - b^2$:
$x_1 \cdot x_2 = (3 - \sqrt{2})(3 + \sqrt{2}) = 3^2 - (\sqrt{2})^2 = 9 - 2 = 7$.
Подставляем найденные значения в формулу $x^2 - (x_1 + x_2)x + x_1x_2$:
$x^2 - (6)x + 7 = x^2 - 6x + 7$.
Ответ: $x^2 - 6x + 7$.
Другие задания:
Помогло решение? Оставьте отзыв в комментариях ниже.
Присоединяйтесь к Телеграм-группе @top_gdz
ПрисоединитьсяМы подготовили для вас ответ c подробным объяснением домашего задания по алгебре за 8 класс, для упражнения номер 6 расположенного на странице 120 для 1-й части к рабочей тетради 2024 года издания для учащихся школ и гимназий.
Теперь на нашем сайте ГДЗ.ТОП вы всегда легко и бесплатно найдёте условие с правильным ответом на вопрос «Как решить ДЗ» и «Как сделать» задание по алгебре к упражнению №6 (с. 120), авторов: Крайнева (Лариса Борисовна), Миндюк (Нора Григорьевна), Шлыкова (Инга Соломоновна), 1-й части ФГОС (новый, красный) базовый уровень обучения учебного пособия издательства Просвещение.