Номер 4, страница 126, часть 1 - гдз по алгебре 8 класс рабочая тетрадь Крайнева, Миндюк

Авторы: Крайнева Л. Б., Миндюк Н. Г., Шлыкова И. С.
Тип: рабочая тетрадь
Издательство: Просвещение
Год издания: 2024 - 2025
Уровень обучения: базовый
Часть: 1
Цвет обложки: белый, голубой
ISBN: 978-5-09-110334-2
Популярные ГДЗ в 8 классе
23. Разложение квадратного трёхчлена на множители. Глава 3. Уравнения и системы уравнений. Часть 1 - номер 4, страница 126.
№4 (с. 126)
Условие. №4 (с. 126)
скриншот условия

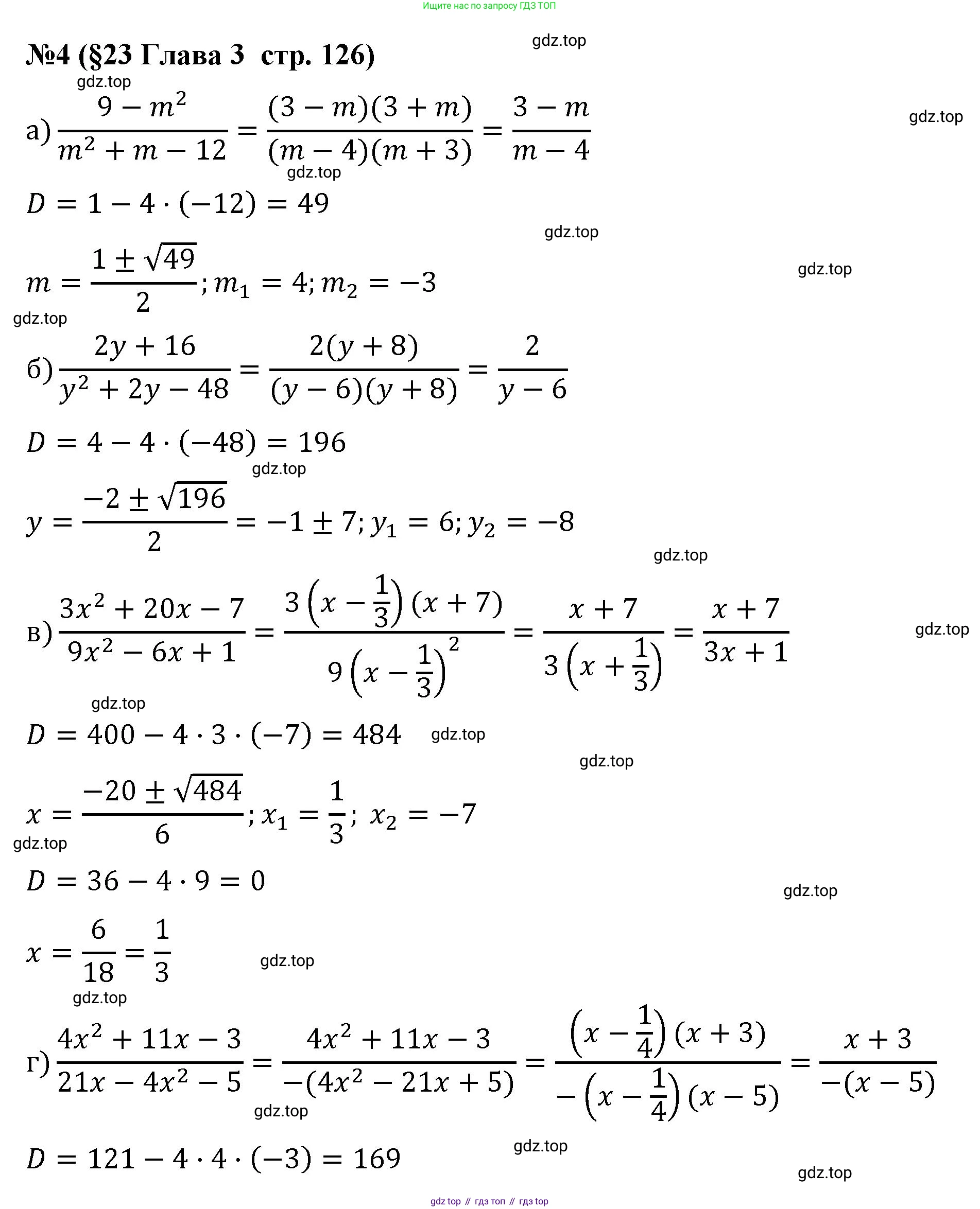
4. Сократите дробь:
а) $\frac{9 - m^2}{m^2 + m - 12}$ =
б) $\frac{2y + 16}{y^2 + 2y - 48}$ =
в) $\frac{3x^2 + 20x - 7}{9x^2 - 6x + 1}$ =
г) $\frac{4x^2 + 11x - 3}{21x - 4x^2 - 5}$ =
Решение. №4 (с. 126)


Решение 2. №4 (с. 126)
а)
Чтобы сократить дробь $ \frac{9-m^2}{m^2+m-12} $, разложим числитель и знаменатель на множители.
Числитель $ 9-m^2 $ является разностью квадратов: $ 9-m^2 = 3^2 - m^2 = (3-m)(3+m) $.
Знаменатель $ m^2+m-12 $ – это квадратичный трёхчлен. Найдём его корни, решив уравнение $ m^2+m-12=0 $.
По теореме Виета, сумма корней $ m_1 + m_2 = -1 $, а их произведение $ m_1 \cdot m_2 = -12 $. Подбираем корни: $ m_1 = 3 $ и $ m_2 = -4 $.
Тогда знаменатель можно разложить на множители: $ m^2+m-12 = (m-3)(m-(-4)) = (m-3)(m+4) $.
Теперь подставим разложенные выражения обратно в дробь:
$ \frac{(3-m)(3+m)}{(m-3)(m+4)} $
Заметим, что $ (3-m) = -(m-3) $. Вынесем минус за скобки в числителе:
$ \frac{-(m-3)(m+3)}{(m-3)(m+4)} $
Сокращаем общий множитель $ (m-3) $:
$ \frac{-(m+3)}{m+4} = -\frac{m+3}{m+4} $
Ответ: $ -\frac{m+3}{m+4} $
б)
Сократим дробь $ \frac{2y+16}{y^2+2y-48} $.
В числителе вынесем общий множитель 2 за скобки: $ 2y+16 = 2(y+8) $.
В знаменателе разложим на множители квадратичный трёхчлен $ y^2+2y-48 $. Для этого решим уравнение $ y^2+2y-48=0 $.
По теореме Виета: $ y_1 + y_2 = -2 $ и $ y_1 \cdot y_2 = -48 $. Корни: $ y_1 = 6 $ и $ y_2 = -8 $.
Разложение знаменателя: $ y^2+2y-48 = (y-6)(y-(-8)) = (y-6)(y+8) $.
Подставим полученные выражения в дробь:
$ \frac{2(y+8)}{(y-6)(y+8)} $
Сокращаем общий множитель $ (y+8) $:
$ \frac{2}{y-6} $
Ответ: $ \frac{2}{y-6} $
в)
Сократим дробь $ \frac{3x^2+20x-7}{9x^2-6x+1} $.
Разложим на множители числитель $ 3x^2+20x-7 $. Решим уравнение $ 3x^2+20x-7=0 $.
Найдём дискриминант: $ D = b^2 - 4ac = 20^2 - 4 \cdot 3 \cdot (-7) = 400 + 84 = 484 = 22^2 $.
Корни уравнения: $ x_1 = \frac{-20+22}{2 \cdot 3} = \frac{2}{6} = \frac{1}{3} $ и $ x_2 = \frac{-20-22}{2 \cdot 3} = \frac{-42}{6} = -7 $.
Разложение числителя: $ 3x^2+20x-7 = 3(x-\frac{1}{3})(x-(-7)) = (3x-1)(x+7) $.
Знаменатель $ 9x^2-6x+1 $ является полным квадратом разности: $ (3x)^2 - 2 \cdot 3x \cdot 1 + 1^2 = (3x-1)^2 $.
Подставим разложения в дробь:
$ \frac{(3x-1)(x+7)}{(3x-1)^2} = \frac{(3x-1)(x+7)}{(3x-1)(3x-1)} $
Сокращаем общий множитель $ (3x-1) $:
$ \frac{x+7}{3x-1} $
Ответ: $ \frac{x+7}{3x-1} $
г)
Сократим дробь $ \frac{4x^2+11x-3}{21x-4x^2-5} $.
Разложим на множители числитель $ 4x^2+11x-3 $. Решим уравнение $ 4x^2+11x-3=0 $.
Дискриминант: $ D = 11^2 - 4 \cdot 4 \cdot (-3) = 121 + 48 = 169 = 13^2 $.
Корни: $ x_1 = \frac{-11+13}{2 \cdot 4} = \frac{2}{8} = \frac{1}{4} $ и $ x_2 = \frac{-11-13}{2 \cdot 4} = \frac{-24}{8} = -3 $.
Разложение числителя: $ 4x^2+11x-3 = 4(x-\frac{1}{4})(x-(-3)) = (4x-1)(x+3) $.
Разложим на множители знаменатель $ 21x-4x^2-5 $. Сначала запишем его в стандартном виде: $ -4x^2+21x-5 $.
Решим уравнение $ -4x^2+21x-5=0 $ или $ 4x^2-21x+5=0 $.
Дискриминант: $ D = (-21)^2 - 4 \cdot 4 \cdot 5 = 441 - 80 = 361 = 19^2 $.
Корни: $ x_1 = \frac{21+19}{2 \cdot 4} = \frac{40}{8} = 5 $ и $ x_2 = \frac{21-19}{2 \cdot 4} = \frac{2}{8} = \frac{1}{4} $.
Разложение выражения $ -4x^2+21x-5 $ будет: $ -4(x-5)(x-\frac{1}{4}) = -(x-5) \cdot 4(x-\frac{1}{4}) = -(x-5)(4x-1) = (5-x)(4x-1) $.
Подставим разложения в дробь:
$ \frac{(4x-1)(x+3)}{(5-x)(4x-1)} $
Сокращаем общий множитель $ (4x-1) $:
$ \frac{x+3}{5-x} $
Ответ: $ \frac{x+3}{5-x} $
Другие задания:
Помогло решение? Оставьте отзыв в комментариях ниже.
Присоединяйтесь к Телеграм-группе @top_gdz
ПрисоединитьсяМы подготовили для вас ответ c подробным объяснением домашего задания по алгебре за 8 класс, для упражнения номер 4 расположенного на странице 126 для 1-й части к рабочей тетради 2024 года издания для учащихся школ и гимназий.
Теперь на нашем сайте ГДЗ.ТОП вы всегда легко и бесплатно найдёте условие с правильным ответом на вопрос «Как решить ДЗ» и «Как сделать» задание по алгебре к упражнению №4 (с. 126), авторов: Крайнева (Лариса Борисовна), Миндюк (Нора Григорьевна), Шлыкова (Инга Соломоновна), 1-й части ФГОС (новый, красный) базовый уровень обучения учебного пособия издательства Просвещение.