Номер 8, страница 128, часть 1 - гдз по алгебре 8 класс рабочая тетрадь Крайнева, Миндюк

Авторы: Крайнева Л. Б., Миндюк Н. Г., Шлыкова И. С.
Тип: рабочая тетрадь
Издательство: Просвещение
Год издания: 2024 - 2025
Уровень обучения: базовый
Часть: 1
Цвет обложки: белый, голубой
ISBN: 978-5-09-110334-2
Популярные ГДЗ в 8 классе
23. Разложение квадратного трёхчлена на множители. Глава 3. Уравнения и системы уравнений. Часть 1 - номер 8, страница 128.
№8 (с. 128)
Условие. №8 (с. 128)
скриншот условия

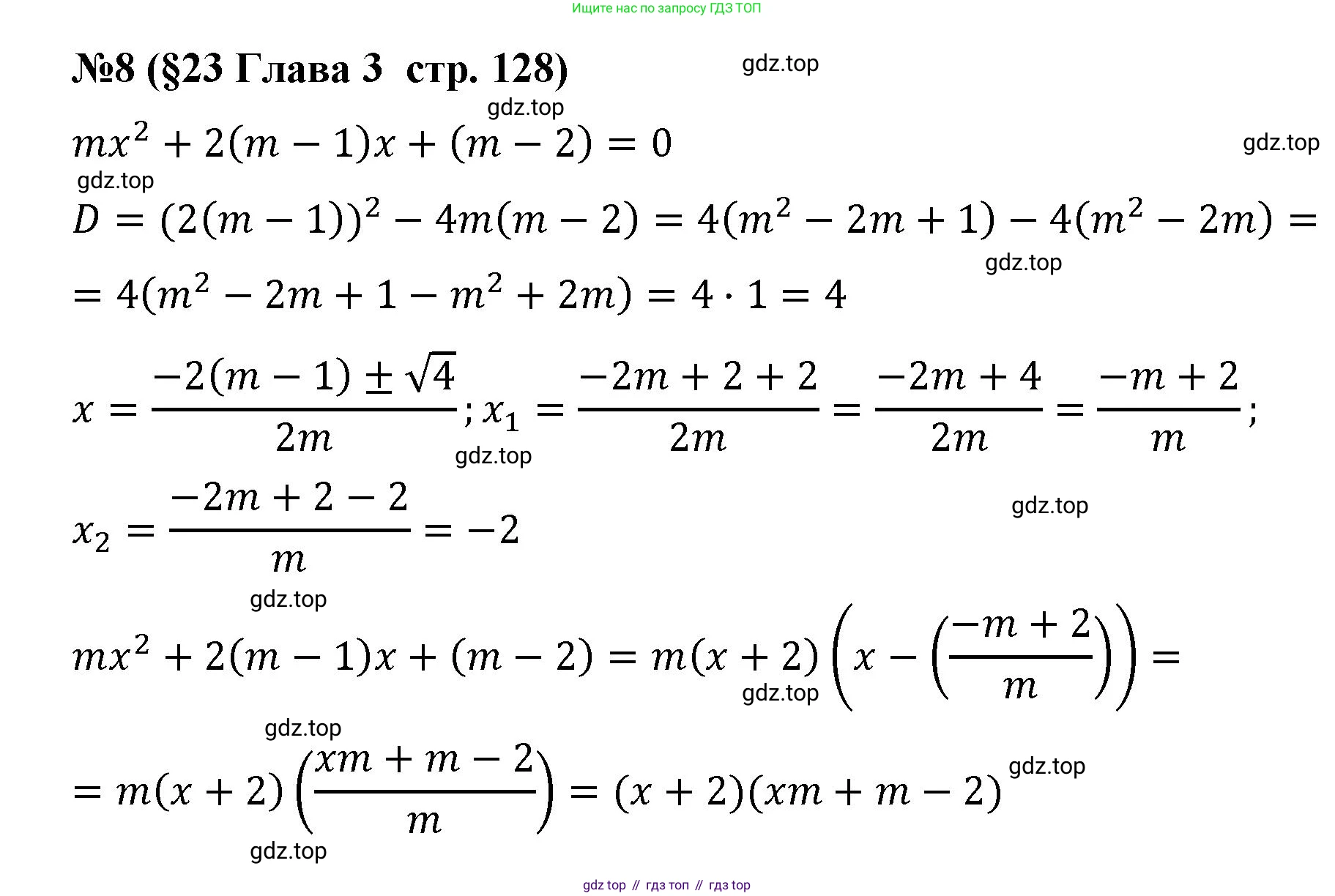
8. Разложите на множители квадратный трёхчлен
$mx^2+2(m-1)x+(m-2),$
где $m$ — некоторое число, отличное от нуля.
Решение. №8 (с. 128)

Решение 2. №8 (с. 128)
Для разложения квадратного трёхчлена $mx^2 + 2(m-1)x + (m-2)$ на множители, необходимо найти его корни. Корни трёхчлена находятся путём решения соответствующего квадратного уравнения: $mx^2 + 2(m-1)x + (m-2) = 0$. После нахождения корней $x_1$ и $x_2$, трёхчлен можно представить в виде $a(x-x_1)(x-x_2)$, где $a=m$.
Корни можно найти с помощью дискриминанта, но в данном случае есть более простой способ. Проверим, является ли $x=-1$ корнем уравнения. Это можно сделать, проверив равенство $a-b+c=0$, где $a, b, c$ — коэффициенты квадратного уравнения.
Коэффициенты: $a=m$, $b=2(m-1)$, $c=m-2$.
Проверим условие $a-b+c=0$:
$m - 2(m-1) + (m-2) = m - 2m + 2 + m - 2 = (m - 2m + m) + (2 - 2) = 0$.
Равенство выполняется для любого $m \neq 0$, следовательно, $x_1 = -1$ является корнем уравнения.
Второй корень $x_2$ можно найти, используя теорему Виета. Согласно теореме Виета, произведение корней квадратного уравнения $ax^2+bx+c=0$ равно $\frac{c}{a}$.
$x_1 \cdot x_2 = \frac{c}{a}$
$(-1) \cdot x_2 = \frac{m-2}{m}$
$x_2 = -\frac{m-2}{m} = \frac{-(m-2)}{m} = \frac{2-m}{m}$.
Итак, мы нашли оба корня: $x_1 = -1$ и $x_2 = \frac{2-m}{m}$.
Теперь выполним разложение на множители по формуле $a(x-x_1)(x-x_2)$:
$mx^2 + 2(m-1)x + (m-2) = m(x - (-1))\left(x - \frac{2-m}{m}\right)$
$= m(x+1)\left(x - \frac{2-m}{m}\right)$
Чтобы упростить выражение, внесём множитель $m$ во вторую скобку:
$= (x+1) \cdot m\left(x - \frac{2-m}{m}\right)$
$= (x+1) \left(m \cdot x - m \cdot \frac{2-m}{m}\right)$
$= (x+1) (mx - (2-m))$
$= (x+1) (mx - 2 + m)$
Перегруппируем слагаемые во второй скобке для более стандартного вида: $(x+1)(mx+m-2)$.
Ответ: $(x+1)(mx+m-2)$
Другие задания:
Помогло решение? Оставьте отзыв в комментариях ниже.
Присоединяйтесь к Телеграм-группе @top_gdz
ПрисоединитьсяМы подготовили для вас ответ c подробным объяснением домашего задания по алгебре за 8 класс, для упражнения номер 8 расположенного на странице 128 для 1-й части к рабочей тетради 2024 года издания для учащихся школ и гимназий.
Теперь на нашем сайте ГДЗ.ТОП вы всегда легко и бесплатно найдёте условие с правильным ответом на вопрос «Как решить ДЗ» и «Как сделать» задание по алгебре к упражнению №8 (с. 128), авторов: Крайнева (Лариса Борисовна), Миндюк (Нора Григорьевна), Шлыкова (Инга Соломоновна), 1-й части ФГОС (новый, красный) базовый уровень обучения учебного пособия издательства Просвещение.