Номер 10, страница 11, часть 2 - гдз по алгебре 8 класс рабочая тетрадь Крайнева, Миндюк

Авторы: Крайнева Л. Б., Миндюк Н. Г., Шлыкова И. С.
Тип: рабочая тетрадь
Издательство: Просвещение
Год издания: 2024 - 2025
Уровень обучения: базовый
Часть: 2
Цвет обложки: белый, голубой
ISBN: 978-5-09-110334-2
Популярные ГДЗ в 8 классе
24. Решение дробных рациональных уравнений. Глава 3. Уравнения и системы уравнений (продолжение). Часть 2 - номер 10, страница 11.
№10 (с. 11)
Условие. №10 (с. 11)
скриншот условия

10. Найдите корни уравнения:
a) $\frac{2}{3x^2 - x} - \frac{5}{9x^2 + 6x + 1} = \frac{9}{9x^2 - 1}$
б) $\frac{3}{4y^2 - 4y + 1} + \frac{4}{4y^2 - 1} = \frac{1}{2y^2 + y}$
Решение. №10 (с. 11)


Решение 2. №10 (с. 11)
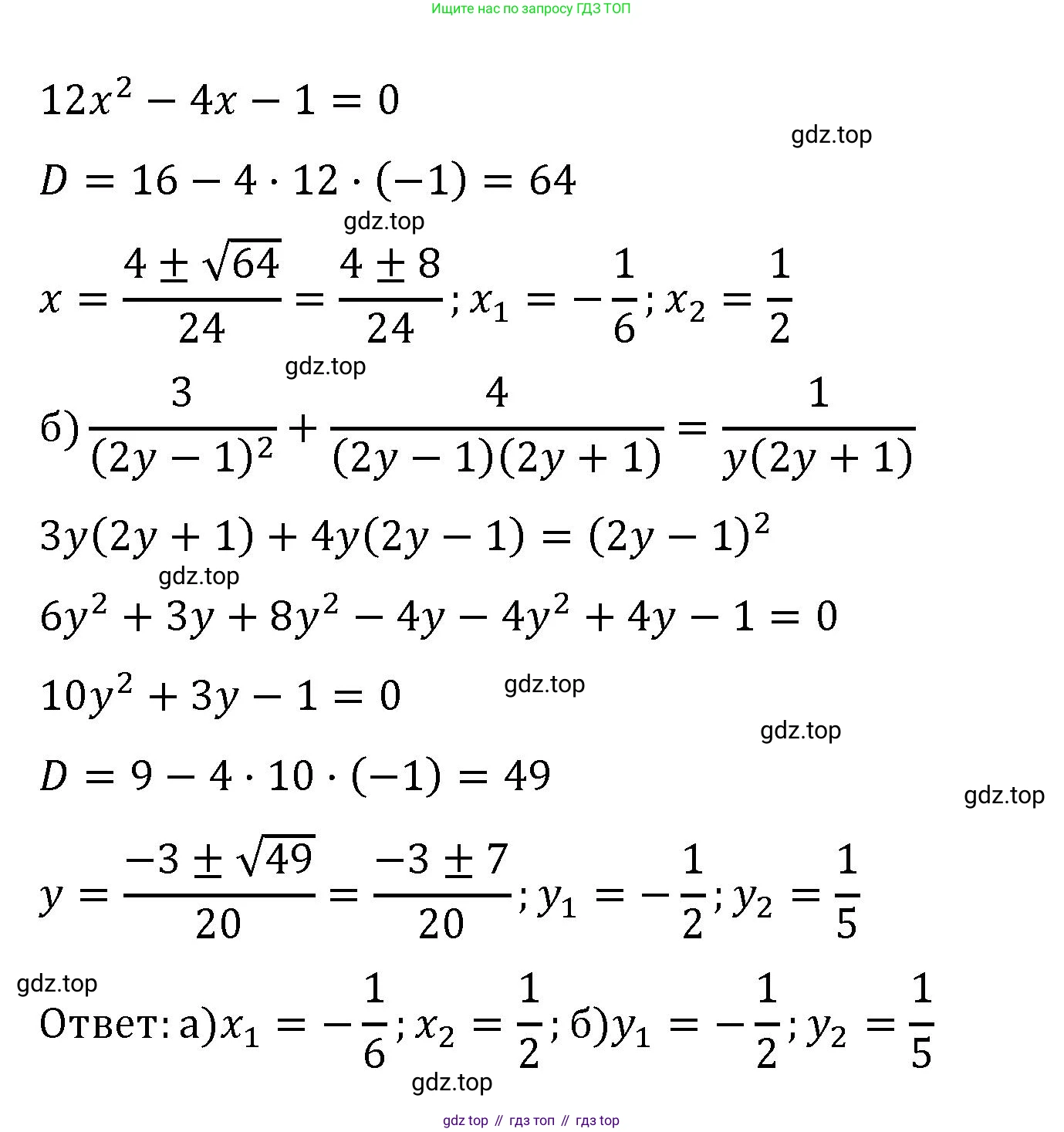
а) $\frac{2}{3x^2 - x} - \frac{5}{9x^2 + 6x + 1} = \frac{9}{9x^2 - 1}$
1. Разложим знаменатели на множители. Для этого используем формулы сокращенного умножения и вынесение общего множителя за скобки:
$3x^2 - x = x(3x - 1)$
$9x^2 + 6x + 1 = (3x)^2 + 2 \cdot 3x \cdot 1 + 1^2 = (3x + 1)^2$
$9x^2 - 1 = (3x)^2 - 1^2 = (3x - 1)(3x + 1)$
2. Перепишем уравнение с разложенными знаменателями:
$\frac{2}{x(3x - 1)} - \frac{5}{(3x + 1)^2} = \frac{9}{(3x - 1)(3x + 1)}$
3. Найдем область допустимых значений (ОДЗ), при которых знаменатели не равны нулю:
$x(3x - 1) \neq 0 \Rightarrow x \neq 0$ и $x \neq \frac{1}{3}$
$(3x + 1)^2 \neq 0 \Rightarrow 3x + 1 \neq 0 \Rightarrow x \neq -\frac{1}{3}$
Итак, ОДЗ: $x \neq 0, x \neq \frac{1}{3}, x \neq -\frac{1}{3}$.
4. Приведем дроби к общему знаменателю, который равен $x(3x-1)(3x+1)^2$. Умножим обе части уравнения на этот знаменатель:
$2(3x + 1)^2 - 5x(3x - 1) = 9x(3x + 1)$
5. Раскроем скобки и упростим выражение:
$2(9x^2 + 6x + 1) - 15x^2 + 5x = 27x^2 + 9x$
$18x^2 + 12x + 2 - 15x^2 + 5x = 27x^2 + 9x$
$3x^2 + 17x + 2 = 27x^2 + 9x$
6. Перенесем все члены в одну сторону, чтобы получить квадратное уравнение:
$27x^2 - 3x^2 + 9x - 17x - 2 = 0$
$24x^2 - 8x - 2 = 0$
Разделим уравнение на 2 для упрощения:
$12x^2 - 4x - 1 = 0$
7. Решим квадратное уравнение через дискриминант $D = b^2 - 4ac$:
$D = (-4)^2 - 4 \cdot 12 \cdot (-1) = 16 + 48 = 64 = 8^2$
$x_{1,2} = \frac{-b \pm \sqrt{D}}{2a} = \frac{4 \pm 8}{2 \cdot 12} = \frac{4 \pm 8}{24}$
$x_1 = \frac{4 + 8}{24} = \frac{12}{24} = \frac{1}{2}$
$x_2 = \frac{4 - 8}{24} = \frac{-4}{24} = -\frac{1}{6}$
8. Проверим, входят ли найденные корни в ОДЗ. Оба корня $x_1 = \frac{1}{2}$ и $x_2 = -\frac{1}{6}$ удовлетворяют условиям ОДЗ.
Ответ: $x_1 = \frac{1}{2}, x_2 = -\frac{1}{6}$.
б) $\frac{3}{4y^2 - 4y + 1} + \frac{4}{4y^2 - 1} = \frac{1}{2y^2 + y}$
1. Разложим знаменатели на множители:
$4y^2 - 4y + 1 = (2y)^2 - 2 \cdot 2y \cdot 1 + 1^2 = (2y - 1)^2$
$4y^2 - 1 = (2y)^2 - 1^2 = (2y - 1)(2y + 1)$
$2y^2 + y = y(2y + 1)$
2. Перепишем уравнение:
$\frac{3}{(2y - 1)^2} + \frac{4}{(2y - 1)(2y + 1)} = \frac{1}{y(2y + 1)}$
3. Найдем ОДЗ:
$(2y - 1)^2 \neq 0 \Rightarrow 2y - 1 \neq 0 \Rightarrow y \neq \frac{1}{2}$
$(2y - 1)(2y + 1) \neq 0 \Rightarrow y \neq \frac{1}{2}$ и $y \neq -\frac{1}{2}$
$y(2y + 1) \neq 0 \Rightarrow y \neq 0$ и $y \neq -\frac{1}{2}$
Итак, ОДЗ: $y \neq 0, y \neq \frac{1}{2}, y \neq -\frac{1}{2}$.
4. Общий знаменатель равен $y(2y-1)^2(2y+1)$. Умножим обе части уравнения на него:
$3 \cdot y(2y + 1) + 4 \cdot y(2y - 1) = 1 \cdot (2y - 1)^2$
5. Раскроем скобки и упростим:
$6y^2 + 3y + 8y^2 - 4y = 4y^2 - 4y + 1$
$14y^2 - y = 4y^2 - 4y + 1$
6. Перенесем все члены в одну сторону:
$14y^2 - 4y^2 - y + 4y - 1 = 0$
$10y^2 + 3y - 1 = 0$
7. Решим полученное квадратное уравнение:
$D = b^2 - 4ac = 3^2 - 4 \cdot 10 \cdot (-1) = 9 + 40 = 49 = 7^2$
$y_{1,2} = \frac{-b \pm \sqrt{D}}{2a} = \frac{-3 \pm 7}{2 \cdot 10} = \frac{-3 \pm 7}{20}$
$y_1 = \frac{-3 + 7}{20} = \frac{4}{20} = \frac{1}{5}$
$y_2 = \frac{-3 - 7}{20} = \frac{-10}{20} = -\frac{1}{2}$
8. Проверим корни на соответствие ОДЗ. Корень $y_1 = \frac{1}{5}$ удовлетворяет ОДЗ. Корень $y_2 = -\frac{1}{2}$ не удовлетворяет ОДЗ ($y \neq -\frac{1}{2}$), следовательно, это посторонний корень.
Ответ: $y = \frac{1}{5}$.
Другие задания:
Помогло решение? Оставьте отзыв в комментариях ниже.
Присоединяйтесь к Телеграм-группе @top_gdz
ПрисоединитьсяМы подготовили для вас ответ c подробным объяснением домашего задания по алгебре за 8 класс, для упражнения номер 10 расположенного на странице 11 для 2-й части к рабочей тетради 2024 года издания для учащихся школ и гимназий.
Теперь на нашем сайте ГДЗ.ТОП вы всегда легко и бесплатно найдёте условие с правильным ответом на вопрос «Как решить ДЗ» и «Как сделать» задание по алгебре к упражнению №10 (с. 11), авторов: Крайнева (Лариса Борисовна), Миндюк (Нора Григорьевна), Шлыкова (Инга Соломоновна), 2-й части ФГОС (новый, красный) базовый уровень обучения учебного пособия издательства Просвещение.