Номер 12, страница 12, часть 2 - гдз по алгебре 8 класс рабочая тетрадь Крайнева, Миндюк

Авторы: Крайнева Л. Б., Миндюк Н. Г., Шлыкова И. С.
Тип: рабочая тетрадь
Издательство: Просвещение
Год издания: 2024 - 2025
Уровень обучения: базовый
Часть: 2
Цвет обложки: белый, голубой
ISBN: 978-5-09-110334-2
Популярные ГДЗ в 8 классе
24. Решение дробных рациональных уравнений. Глава 3. Уравнения и системы уравнений (продолжение). Часть 2 - номер 12, страница 12.
№12 (с. 12)
Условие. №12 (с. 12)
скриншот условия



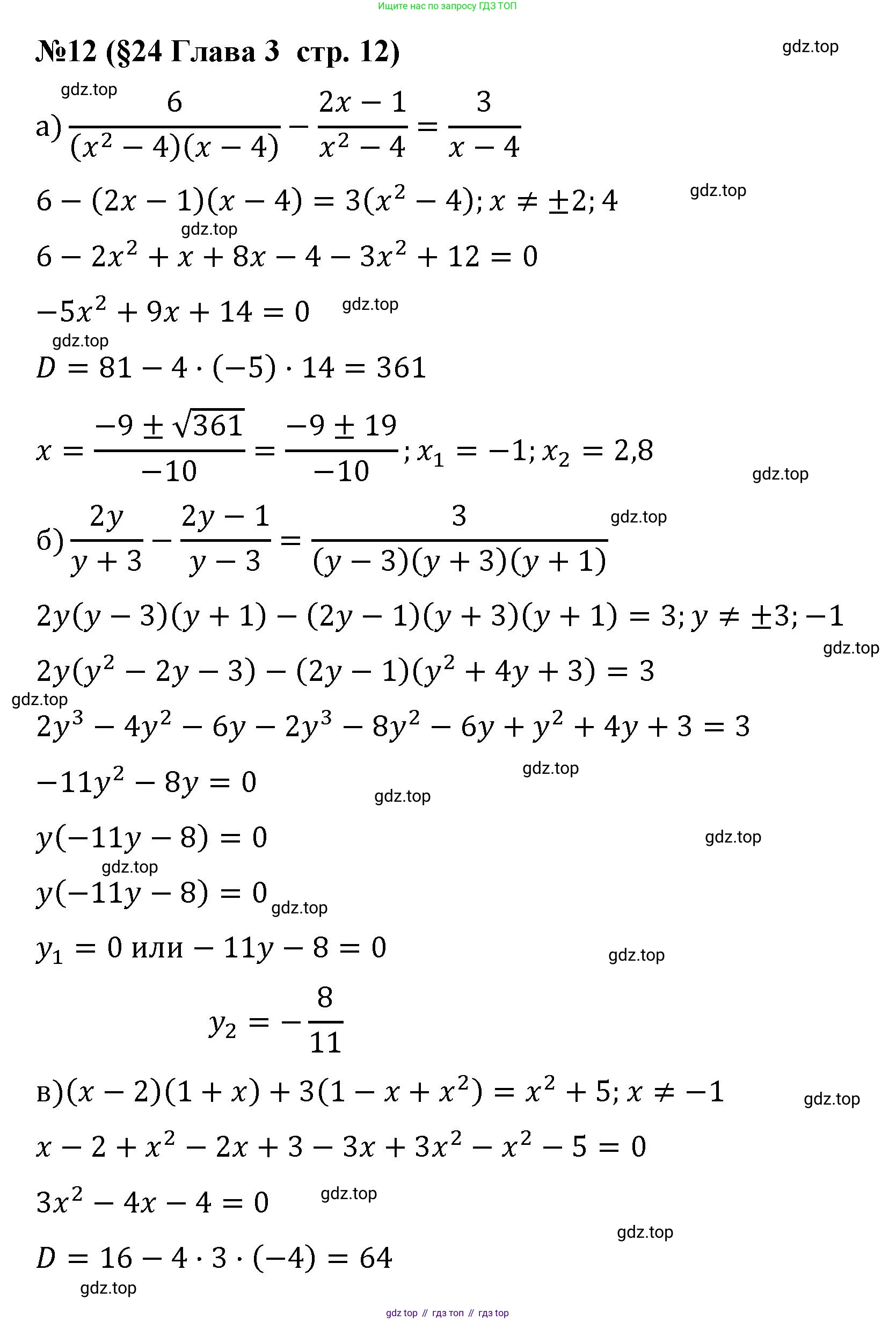
12. Решите уравнение:
а) $ \frac{6}{x^3 - 4x^2 - 4x + 16} - \frac{2x - 1}{x^2 - 4} = \frac{3}{x - 4} $
б) $ \frac{2y}{y + 3} - \frac{2y - 1}{y - 3} = \frac{3}{y^3 - 9y + y^2 - 9} $
в) $ \frac{x - 2}{1 - x + x^2} + \frac{3}{1 + x} = \frac{x^2 + 5}{1 + x^3} $
г) $ \frac{2}{2y - 1} + \frac{y - 3}{8y^3 - 1} = \frac{1 - y}{4y^2 + 2y + 1} $
Решение. №12 (с. 12)


Решение 2. №12 (с. 12)
а) $\frac{6}{x^3 - 4x^2 - 4x + 16} - \frac{2x - 1}{x^2 - 4} = \frac{3}{x - 4}$
Сначала разложим на множители знаменатели дробей. Знаменатель первой дроби: $x^3 - 4x^2 - 4x + 16 = x^2(x - 4) - 4(x - 4) = (x^2 - 4)(x - 4) = (x - 2)(x + 2)(x - 4)$.
Знаменатель второй дроби: $x^2 - 4 = (x - 2)(x + 2)$.
Область допустимых значений (ОДЗ) уравнения определяется условиями, что знаменатели не равны нулю: $x - 4 \neq 0$, $x - 2 \neq 0$ и $x + 2 \neq 0$. Таким образом, ОДЗ: $x \neq 4$, $x \neq 2$, $x \neq -2$.
Перепишем уравнение с разложенными знаменателями:
$\frac{6}{(x - 2)(x + 2)(x - 4)} - \frac{2x - 1}{(x - 2)(x + 2)} = \frac{3}{x - 4}$
Приведем все дроби к общему знаменателю $(x - 2)(x + 2)(x - 4)$ и умножим обе части уравнения на него, чтобы избавиться от дробей:
$6 - (2x - 1)(x - 4) = 3(x - 2)(x + 2)$
Раскроем скобки и упростим выражение:
$6 - (2x^2 - 8x - x + 4) = 3(x^2 - 4)$
$6 - (2x^2 - 9x + 4) = 3x^2 - 12$
$6 - 2x^2 + 9x - 4 = 3x^2 - 12$
$-2x^2 + 9x + 2 = 3x^2 - 12$
Перенесем все члены в одну часть, чтобы получить квадратное уравнение:
$5x^2 - 9x - 14 = 0$
Решим квадратное уравнение с помощью дискриминанта $D = b^2 - 4ac$:
$D = (-9)^2 - 4 \cdot 5 \cdot (-14) = 81 + 280 = 361 = 19^2$
$x_{1} = \frac{9 + 19}{2 \cdot 5} = \frac{28}{10} = 2.8$
$x_{2} = \frac{9 - 19}{2 \cdot 5} = \frac{-10}{10} = -1$
Оба корня (2.8 и -1) удовлетворяют ОДЗ.
Ответ: $-1; 2.8$.
б) $\frac{2y}{y + 3} - \frac{2y - 1}{y - 3} = \frac{3}{y^3 - 9y + y^2 - 9}$
Разложим на множители знаменатель в правой части: $y^3 + y^2 - 9y - 9 = y^2(y + 1) - 9(y + 1) = (y^2 - 9)(y + 1) = (y - 3)(y + 3)(y + 1)$.
ОДЗ: $y + 3 \neq 0$, $y - 3 \neq 0$, $y + 1 \neq 0$. Следовательно, $y \neq -3$, $y \neq 3$, $y \neq -1$.
Общий знаменатель: $(y - 3)(y + 3)(y + 1)$. Умножим обе части уравнения на него:
$2y(y - 3)(y + 1) - (2y - 1)(y + 3)(y + 1) = 3$
Раскроем скобки:
$2y(y^2 + y - 3y - 3) - (2y - 1)(y^2 + y + 3y + 3) = 3$
$2y(y^2 - 2y - 3) - (2y - 1)(y^2 + 4y + 3) = 3$
$(2y^3 - 4y^2 - 6y) - (2y^3 + 8y^2 + 6y - y^2 - 4y - 3) = 3$
$2y^3 - 4y^2 - 6y - (2y^3 + 7y^2 + 2y - 3) = 3$
$2y^3 - 4y^2 - 6y - 2y^3 - 7y^2 - 2y + 3 = 3$
Приведем подобные слагаемые:
$-11y^2 - 8y + 3 = 3$
$-11y^2 - 8y = 0$
$-y(11y + 8) = 0$
Отсюда получаем два корня:
$y_1 = 0$
$11y + 8 = 0 \Rightarrow 11y = -8 \Rightarrow y_2 = -\frac{8}{11}$
Оба корня ($0$ и $-\frac{8}{11}$) удовлетворяют ОДЗ.
Ответ: $-\frac{8}{11}; 0$.
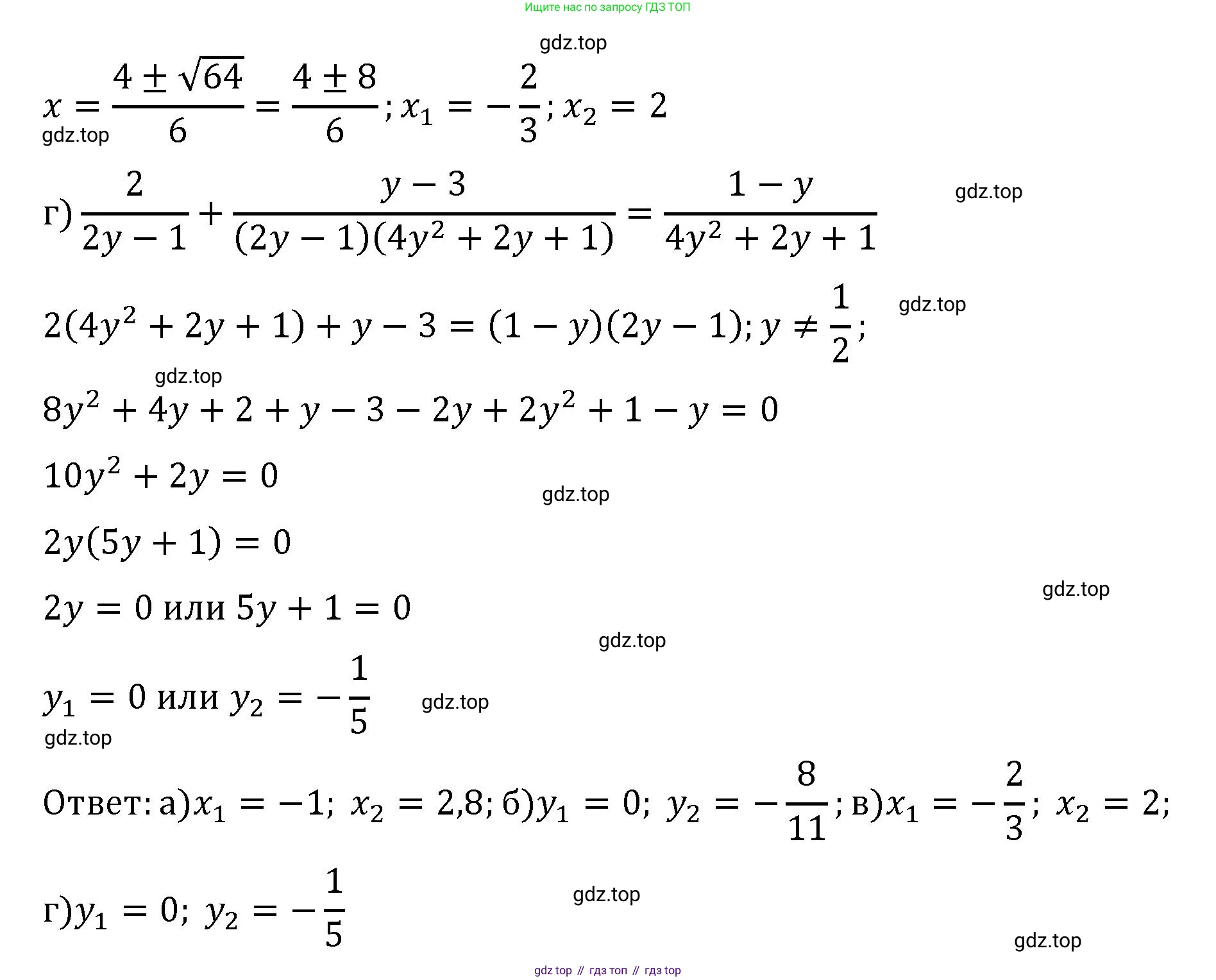
в) $\frac{x - 2}{1 - x + x^2} + \frac{3}{1 + x} = \frac{x^2 + 5}{1 + x^3}$
Используем формулу суммы кубов для знаменателя в правой части: $1 + x^3 = (1 + x)(1 - x + x^2)$.
ОДЗ: $1 + x \neq 0 \Rightarrow x \neq -1$. Выражение $1 - x + x^2$ (или $x^2 - x + 1$) всегда положительно, так как его дискриминант $D = (-1)^2 - 4 \cdot 1 \cdot 1 = -3 < 0$.
Приведем дроби к общему знаменателю $(1 + x)(1 - x + x^2)$:
$\frac{(x - 2)(1 + x) + 3(1 - x + x^2)}{(1 + x)(1 - x + x^2)} = \frac{x^2 + 5}{1 + x^3}$
Приравняем числители:
$(x - 2)(1 + x) + 3(1 - x + x^2) = x^2 + 5$
$x + x^2 - 2 - 2x + 3 - 3x + 3x^2 = x^2 + 5$
$4x^2 - 4x + 1 = x^2 + 5$
$3x^2 - 4x - 4 = 0$
Решим квадратное уравнение. Дискриминант $D = (-4)^2 - 4 \cdot 3 \cdot (-4) = 16 + 48 = 64 = 8^2$.
$x_1 = \frac{4 + 8}{2 \cdot 3} = \frac{12}{6} = 2$
$x_2 = \frac{4 - 8}{2 \cdot 3} = \frac{-4}{6} = -\frac{2}{3}$
Оба корня ($2$ и $-\frac{2}{3}$) удовлетворяют ОДЗ.
Ответ: $-\frac{2}{3}; 2$.
г) $\frac{2}{2y - 1} + \frac{y - 3}{8y^3 - 1} = \frac{1 - y}{4y^2 + 2y + 1}$
Используем формулу разности кубов: $8y^3 - 1 = (2y)^3 - 1^3 = (2y - 1)(4y^2 + 2y + 1)$.
ОДЗ: $2y - 1 \neq 0 \Rightarrow y \neq \frac{1}{2}$. Выражение $4y^2 + 2y + 1$ всегда положительно (дискриминант $D = 2^2 - 4 \cdot 4 \cdot 1 = -12 < 0$).
Приведем все дроби к общему знаменателю $(2y - 1)(4y^2 + 2y + 1)$:
$\frac{2(4y^2 + 2y + 1)}{(2y - 1)(4y^2 + 2y + 1)} + \frac{y - 3}{(2y - 1)(4y^2 + 2y + 1)} = \frac{(1 - y)(2y - 1)}{(2y - 1)(4y^2 + 2y + 1)}$
Приравняем числители:
$2(4y^2 + 2y + 1) + (y - 3) = (1 - y)(2y - 1)$
$8y^2 + 4y + 2 + y - 3 = 2y - 1 - 2y^2 + y$
$8y^2 + 5y - 1 = -2y^2 + 3y - 1$
Перенесем все члены в левую часть:
$8y^2 + 2y^2 + 5y - 3y - 1 + 1 = 0$
$10y^2 + 2y = 0$
$2y(5y + 1) = 0$
Отсюда два корня:
$2y = 0 \Rightarrow y_1 = 0$
$5y + 1 = 0 \Rightarrow 5y = -1 \Rightarrow y_2 = -\frac{1}{5}$
Оба корня ($0$ и $-\frac{1}{5}$) удовлетворяют ОДЗ.
Ответ: $-\frac{1}{5}; 0$.
Другие задания:
Помогло решение? Оставьте отзыв в комментариях ниже.
Присоединяйтесь к Телеграм-группе @top_gdz
ПрисоединитьсяМы подготовили для вас ответ c подробным объяснением домашего задания по алгебре за 8 класс, для упражнения номер 12 расположенного на странице 12 для 2-й части к рабочей тетради 2024 года издания для учащихся школ и гимназий.
Теперь на нашем сайте ГДЗ.ТОП вы всегда легко и бесплатно найдёте условие с правильным ответом на вопрос «Как решить ДЗ» и «Как сделать» задание по алгебре к упражнению №12 (с. 12), авторов: Крайнева (Лариса Борисовна), Миндюк (Нора Григорьевна), Шлыкова (Инга Соломоновна), 2-й части ФГОС (новый, красный) базовый уровень обучения учебного пособия издательства Просвещение.