Номер 9, страница 10, часть 2 - гдз по алгебре 8 класс рабочая тетрадь Крайнева, Миндюк

Авторы: Крайнева Л. Б., Миндюк Н. Г., Шлыкова И. С.
Тип: рабочая тетрадь
Издательство: Просвещение
Год издания: 2024 - 2025
Уровень обучения: базовый
Часть: 2
Цвет обложки: белый, голубой
ISBN: 978-5-09-110334-2
Популярные ГДЗ в 8 классе
24. Решение дробных рациональных уравнений. Глава 3. Уравнения и системы уравнений (продолжение). Часть 2 - номер 9, страница 10.
№9 (с. 10)
Условие. №9 (с. 10)
скриншот условия

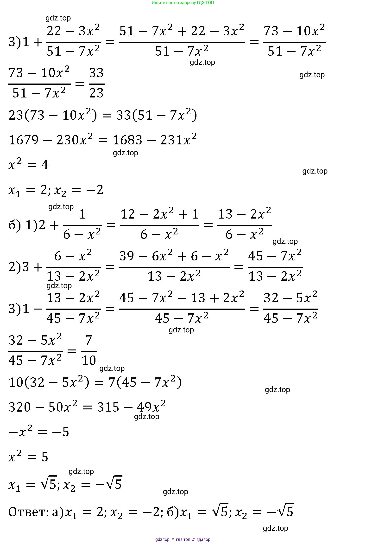
9. Решите уравнение:
a) $1 + \frac{1}{2 + \frac{1}{3 + \frac{1}{7 - x^2}}} = 1\frac{10}{23}$
б) $1 - \frac{1}{3 + \frac{1}{2 + \frac{1}{6 - x^2}}} = \frac{7}{10}$
Решение. №9 (с. 10)


Решение 2. №9 (с. 10)
a)
Дано уравнение:
$$ 1 + \frac{1}{2 + \frac{1}{3 + \frac{1}{7 - x^2}}} = 1\frac{10}{23} $$
1. Для начала преобразуем смешанную дробь в правой части уравнения: $1\frac{10}{23} = 1 + \frac{10}{23}$.
2. Теперь уравнение выглядит так:
$$ 1 + \frac{1}{2 + \frac{1}{3 + \frac{1}{7 - x^2}}} = 1 + \frac{10}{23} $$
3. Вычтем 1 из обеих частей уравнения:
$$ \frac{1}{2 + \frac{1}{3 + \frac{1}{7 - x^2}}} = \frac{10}{23} $$
4. Так как числители дробей равны (хотя это не обязательно), мы можем приравнять их знаменатели, "перевернув" обе дроби:
$$ 2 + \frac{1}{3 + \frac{1}{7 - x^2}} = \frac{23}{10} $$
5. Вычтем 2 из обеих частей уравнения:
$$ \frac{1}{3 + \frac{1}{7 - x^2}} = \frac{23}{10} - 2 = \frac{23 - 2 \cdot 10}{10} = \frac{23 - 20}{10} = \frac{3}{10} $$
6. Снова "перевернем" дроби:
$$ 3 + \frac{1}{7 - x^2} = \frac{10}{3} $$
7. Вычтем 3 из обеих частей:
$$ \frac{1}{7 - x^2} = \frac{10}{3} - 3 = \frac{10 - 3 \cdot 3}{3} = \frac{10 - 9}{3} = \frac{1}{3} $$
8. Еще раз "перевернем" дроби:
$$ 7 - x^2 = 3 $$
9. Решим полученное простое квадратное уравнение:
$$ x^2 = 7 - 3 $$
$$ x^2 = 4 $$
10. Извлечем квадратный корень:
$$ x = \pm\sqrt{4} $$
$$ x_1 = 2, \quad x_2 = -2 $$
Ответ: $x = \pm 2$.
б)
Дано уравнение:
$$ 1 - \frac{1}{3 + \frac{1}{2 + \frac{1}{6 - x^2}}} = \frac{7}{10} $$
1. Выразим дробную часть. Для этого перенесем ее в правую часть уравнения, а $\frac{7}{10}$ — в левую:
$$ 1 - \frac{7}{10} = \frac{1}{3 + \frac{1}{2 + \frac{1}{6 - x^2}}} $$
2. Выполним вычитание в левой части:
$$ \frac{10}{10} - \frac{7}{10} = \frac{3}{10} $$
3. Уравнение принимает вид:
$$ \frac{3}{10} = \frac{1}{3 + \frac{1}{2 + \frac{1}{6 - x^2}}} $$
4. "Перевернем" обе дроби:
$$ \frac{10}{3} = 3 + \frac{1}{2 + \frac{1}{6 - x^2}} $$
5. Вычтем 3 из обеих частей:
$$ \frac{10}{3} - 3 = \frac{1}{2 + \frac{1}{6 - x^2}} $$
$$ \frac{10 - 9}{3} = \frac{1}{3} $$
$$ \frac{1}{3} = \frac{1}{2 + \frac{1}{6 - x^2}} $$
6. Снова "перевернем" дроби:
$$ 3 = 2 + \frac{1}{6 - x^2} $$
7. Вычтем 2 из обеих частей:
$$ 3 - 2 = \frac{1}{6 - x^2} $$
$$ 1 = \frac{1}{6 - x^2} $$
8. Из этого следует, что знаменатель также равен 1:
$$ 6 - x^2 = 1 $$
9. Решим полученное уравнение:
$$ x^2 = 6 - 1 $$
$$ x^2 = 5 $$
10. Извлечем квадратный корень:
$$ x = \pm\sqrt{5} $$
$$ x_1 = \sqrt{5}, \quad x_2 = -\sqrt{5} $$
Ответ: $x = \pm\sqrt{5}$.
Другие задания:
Помогло решение? Оставьте отзыв в комментариях ниже.
Присоединяйтесь к Телеграм-группе @top_gdz
ПрисоединитьсяМы подготовили для вас ответ c подробным объяснением домашего задания по алгебре за 8 класс, для упражнения номер 9 расположенного на странице 10 для 2-й части к рабочей тетради 2024 года издания для учащихся школ и гимназий.
Теперь на нашем сайте ГДЗ.ТОП вы всегда легко и бесплатно найдёте условие с правильным ответом на вопрос «Как решить ДЗ» и «Как сделать» задание по алгебре к упражнению №9 (с. 10), авторов: Крайнева (Лариса Борисовна), Миндюк (Нора Григорьевна), Шлыкова (Инга Соломоновна), 2-й части ФГОС (новый, красный) базовый уровень обучения учебного пособия издательства Просвещение.