Номер 8, страница 80, часть 2 - гдз по алгебре 8 класс рабочая тетрадь Крайнева, Миндюк

Авторы: Крайнева Л. Б., Миндюк Н. Г., Шлыкова И. С.
Тип: рабочая тетрадь
Издательство: Просвещение
Год издания: 2024 - 2025
Уровень обучения: базовый
Часть: 2
Цвет обложки: белый, голубой
ISBN: 978-5-09-110334-2
Популярные ГДЗ в 8 классе
37. Решение систем неравенств с одной переменной. Глава 4. Неравенства. Часть 2 - номер 8, страница 80.
№8 (с. 80)
Условие. №8 (с. 80)
скриншот условия

8. Решите систему неравенств:
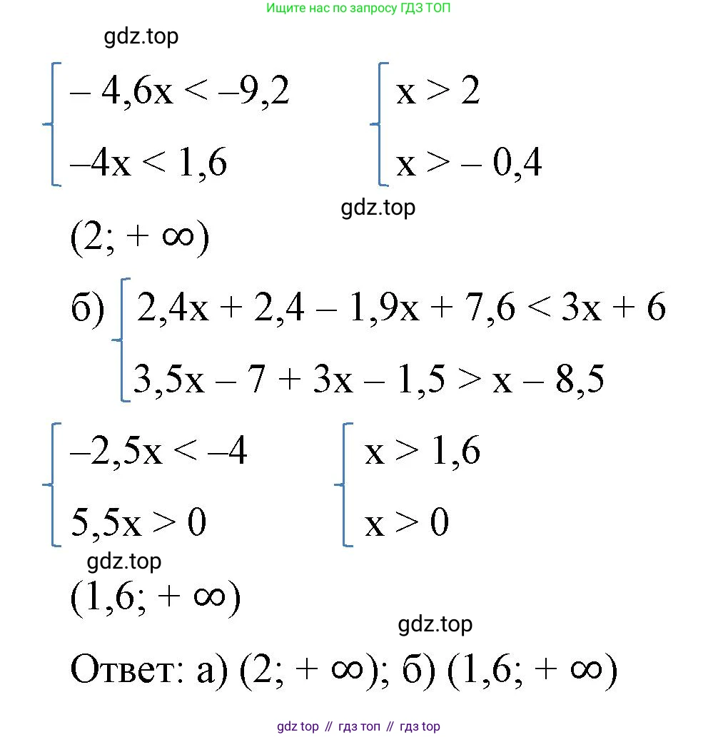
a) $ \begin{cases} 0,6(2-x)-1,4x < 2,6x-8, \\ 1,5(x+2)+0,5x < 6x+4,6; \end{cases} $
б) $ \begin{cases} 2,4(x+1)-1,9(x-4) < 3x+6, \\ 3,5(x-2)+1,5(2x-1) > x-8,5. \end{cases} $
Решение. №8 (с. 80)


Решение 2. №8 (с. 80)
a) Решим систему неравенств:
$\begin{cases} 0,6(2-x) - 1,4x < 2,6x - 8 \\ 1,5(x+2) + 0,5x < 6x + 4,6 \end{cases}$
1. Решим первое неравенство:
$0,6(2-x) - 1,4x < 2,6x - 8$
Раскроем скобки:
$1,2 - 0,6x - 1,4x < 2,6x - 8$
Приведем подобные слагаемые в левой части:
$1,2 - 2x < 2,6x - 8$
Перенесем слагаемые, содержащие $x$, в правую часть, а свободные члены — в левую, изменив их знаки на противоположные:
$1,2 + 8 < 2,6x + 2x$
$9,2 < 4,6x$
Разделим обе части неравенства на 4,6 (знак неравенства не меняется, так как 4,6 > 0):
$x > \frac{9,2}{4,6}$
$x > 2$
2. Решим второе неравенство:
$1,5(x+2) + 0,5x < 6x + 4,6$
Раскроем скобки:
$1,5x + 3 + 0,5x < 6x + 4,6$
Приведем подобные слагаемые в левой части:
$2x + 3 < 6x + 4,6$
Перенесем слагаемые, содержащие $x$, в правую часть, а свободные члены — в левую:
$3 - 4,6 < 6x - 2x$
$-1,6 < 4x$
Разделим обе части неравенства на 4:
$x > -\frac{1,6}{4}$
$x > -0,4$
3. Найдем пересечение решений.
Мы получили два условия: $x > 2$ и $x > -0,4$. Решением системы является пересечение этих двух множеств. На числовой прямой это будет интервал, удовлетворяющий обоим условиям одновременно, то есть $x > 2$.
Ответ: $(2; +\infty)$
б) Решим систему неравенств:
$\begin{cases} 2,4(x+1) - 1,9(x-4) < 3x + 6 \\ 3,5(x-2) + 1,5(2x-1) > x - 8,5 \end{cases}$
1. Решим первое неравенство:
$2,4(x+1) - 1,9(x-4) < 3x + 6$
Раскроем скобки:
$2,4x + 2,4 - 1,9x + 7,6 < 3x + 6$
Приведем подобные слагаемые в левой части:
$0,5x + 10 < 3x + 6$
Перенесем слагаемые, содержащие $x$, в правую часть, а свободные члены — в левую:
$10 - 6 < 3x - 0,5x$
$4 < 2,5x$
Разделим обе части неравенства на 2,5:
$x > \frac{4}{2,5}$
$x > \frac{40}{25}$
$x > \frac{8}{5}$
$x > 1,6$
2. Решим второе неравенство:
$3,5(x-2) + 1,5(2x-1) > x - 8,5$
Раскроем скобки:
$3,5x - 7 + 3x - 1,5 > x - 8,5$
Приведем подобные слагаемые в левой части:
$6,5x - 8,5 > x - 8,5$
Перенесем слагаемые, содержащие $x$, в левую часть, а свободные члены — в правую:
$6,5x - x > -8,5 + 8,5$
$5,5x > 0$
Разделим обе части на 5,5:
$x > 0$
3. Найдем пересечение решений.
Мы получили два условия: $x > 1,6$ и $x > 0$. Решением системы является пересечение этих двух множеств. На числовой прямой это будет интервал, удовлетворяющий обоим условиям одновременно, то есть $x > 1,6$.
Ответ: $(1,6; +\infty)$
Другие задания:
Помогло решение? Оставьте отзыв в комментариях ниже.
Присоединяйтесь к Телеграм-группе @top_gdz
ПрисоединитьсяМы подготовили для вас ответ c подробным объяснением домашего задания по алгебре за 8 класс, для упражнения номер 8 расположенного на странице 80 для 2-й части к рабочей тетради 2024 года издания для учащихся школ и гимназий.
Теперь на нашем сайте ГДЗ.ТОП вы всегда легко и бесплатно найдёте условие с правильным ответом на вопрос «Как решить ДЗ» и «Как сделать» задание по алгебре к упражнению №8 (с. 80), авторов: Крайнева (Лариса Борисовна), Миндюк (Нора Григорьевна), Шлыкова (Инга Соломоновна), 2-й части ФГОС (новый, красный) базовый уровень обучения учебного пособия издательства Просвещение.