Номер 15, страница 91, часть 2 - гдз по алгебре 8 класс рабочая тетрадь Крайнева, Миндюк

Авторы: Крайнева Л. Б., Миндюк Н. Г., Шлыкова И. С.
Тип: рабочая тетрадь
Издательство: Просвещение
Год издания: 2024 - 2025
Уровень обучения: базовый
Часть: 2
Цвет обложки: белый, голубой
ISBN: 978-5-09-110334-2
Популярные ГДЗ в 8 классе
38. Функция. Область определения и множество значений функций. Глава 5. Функции. Часть 2 - номер 15, страница 91.
№15 (с. 91)
Условие. №15 (с. 91)
скриншот условия

15. Функция $\varphi(x)$ задана формулой $\varphi(x) = x^2 - 4x + 1$. Вычислите:
a) $\varphi(1+\sqrt{2})-\varphi(1-\sqrt{2})=$
б) $\varphi\left(\frac{1}{2+\sqrt{5}}\right)+\varphi\left(\frac{1}{2-\sqrt{5}}\right)=$
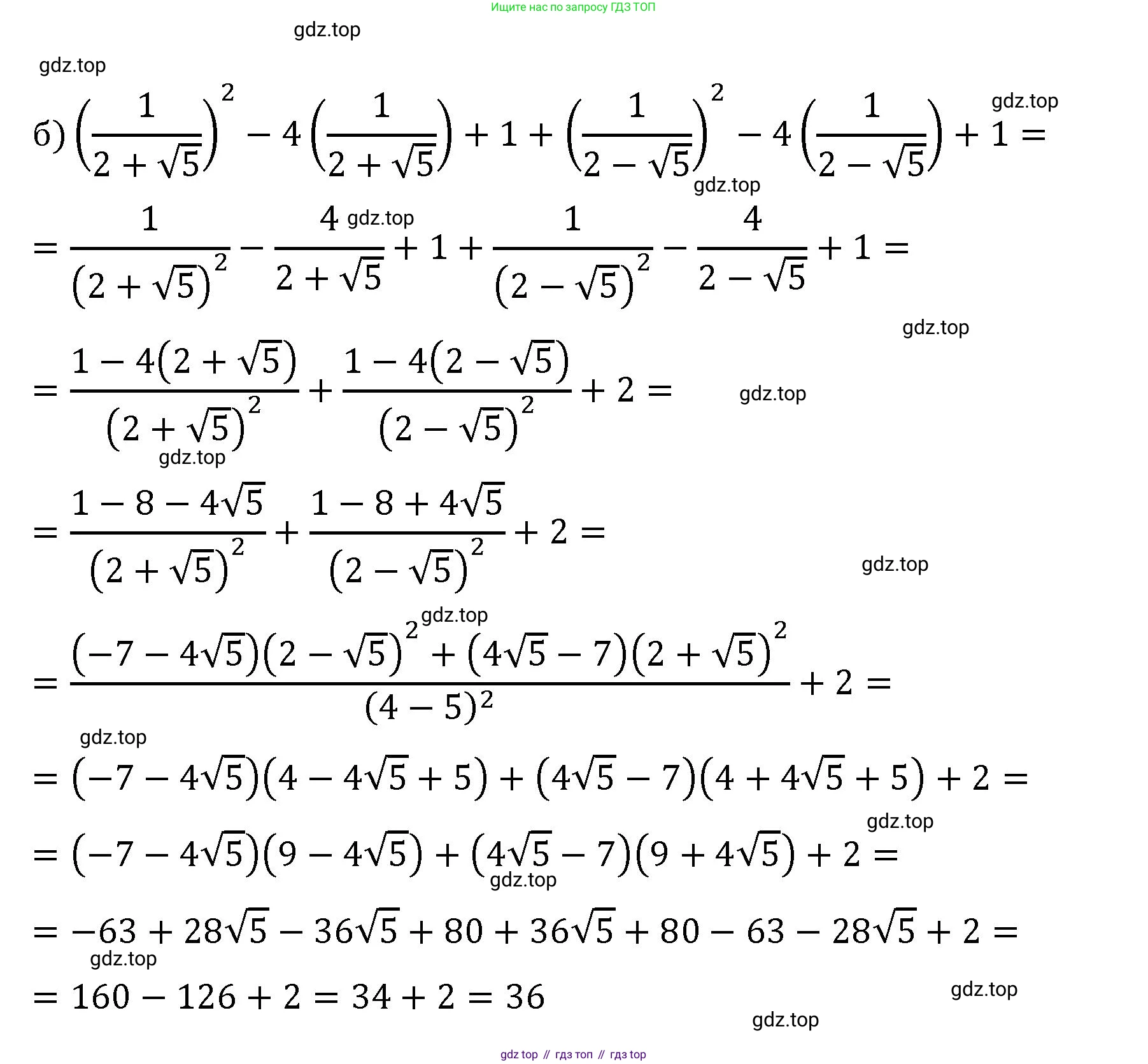
Решение. №15 (с. 91)


Решение 2. №15 (с. 91)
Дана функция $\phi(x) = x^2 - 4x + 1$.
а) Вычислим значение выражения $\phi(1 + \sqrt{2}) - \phi(1 - \sqrt{2})$.
Для этого сначала найдем значение функции для каждого из аргументов.
1. Вычислим $\phi(1 + \sqrt{2})$:
$\phi(1 + \sqrt{2}) = (1 + \sqrt{2})^2 - 4(1 + \sqrt{2}) + 1$
Раскроем скобки, используя формулу квадрата суммы $(a+b)^2=a^2+2ab+b^2$:
$(1^2 + 2 \cdot 1 \cdot \sqrt{2} + (\sqrt{2})^2) - 4 - 4\sqrt{2} + 1 = (1 + 2\sqrt{2} + 2) - 4 - 4\sqrt{2} + 1$
Приведем подобные слагаемые:
$(3 + 2\sqrt{2}) - 4 - 4\sqrt{2} + 1 = (3 - 4 + 1) + (2\sqrt{2} - 4\sqrt{2}) = 0 - 2\sqrt{2} = -2\sqrt{2}$
2. Вычислим $\phi(1 - \sqrt{2})$:
$\phi(1 - \sqrt{2}) = (1 - \sqrt{2})^2 - 4(1 - \sqrt{2}) + 1$
Раскроем скобки, используя формулу квадрата разности $(a-b)^2=a^2-2ab+b^2$:
$(1^2 - 2 \cdot 1 \cdot \sqrt{2} + (\sqrt{2})^2) - 4 + 4\sqrt{2} + 1 = (1 - 2\sqrt{2} + 2) - 4 + 4\sqrt{2} + 1$
Приведем подобные слагаемые:
$(3 - 2\sqrt{2}) - 4 + 4\sqrt{2} + 1 = (3 - 4 + 1) + (-2\sqrt{2} + 4\sqrt{2}) = 0 + 2\sqrt{2} = 2\sqrt{2}$
3. Теперь найдем разность полученных значений:
$\phi(1 + \sqrt{2}) - \phi(1 - \sqrt{2}) = -2\sqrt{2} - (2\sqrt{2}) = -2\sqrt{2} - 2\sqrt{2} = -4\sqrt{2}$
Ответ: $-4\sqrt{2}$
б) Вычислим значение выражения $\phi\left(\frac{1}{2 + \sqrt{5}}\right) + \phi\left(\frac{1}{2 - \sqrt{5}}\right)$.
Сначала упростим аргументы функции, избавившись от иррациональности в знаменателе.
1. Упростим первый аргумент:
$\frac{1}{2 + \sqrt{5}} = \frac{1 \cdot (2 - \sqrt{5})}{(2 + \sqrt{5})(2 - \sqrt{5})} = \frac{2 - \sqrt{5}}{2^2 - (\sqrt{5})^2} = \frac{2 - \sqrt{5}}{4 - 5} = \frac{2 - \sqrt{5}}{-1} = \sqrt{5} - 2$
2. Упростим второй аргумент:
$\frac{1}{2 - \sqrt{5}} = \frac{1 \cdot (2 + \sqrt{5})}{(2 - \sqrt{5})(2 + \sqrt{5})} = \frac{2 + \sqrt{5}}{2^2 - (\sqrt{5})^2} = \frac{2 + \sqrt{5}}{4 - 5} = \frac{2 + \sqrt{5}}{-1} = -2 - \sqrt{5}$
Теперь задача сводится к вычислению суммы $\phi(\sqrt{5} - 2) + \phi(-2 - \sqrt{5})$.
3. Вычислим $\phi(\sqrt{5} - 2)$:
$\phi(\sqrt{5} - 2) = (\sqrt{5} - 2)^2 - 4(\sqrt{5} - 2) + 1$
$= ((\sqrt{5})^2 - 2 \cdot \sqrt{5} \cdot 2 + 2^2) - 4\sqrt{5} + 8 + 1 = (5 - 4\sqrt{5} + 4) - 4\sqrt{5} + 9$
$= 9 - 4\sqrt{5} - 4\sqrt{5} + 9 = 18 - 8\sqrt{5}$
4. Вычислим $\phi(-2 - \sqrt{5})$:
$\phi(-2 - \sqrt{5}) = (-2 - \sqrt{5})^2 - 4(-2 - \sqrt{5}) + 1$
$= ((-(2 + \sqrt{5})))^2 + 8 + 4\sqrt{5} + 1 = (2 + \sqrt{5})^2 + 9 + 4\sqrt{5}$
$= (2^2 + 2 \cdot 2 \cdot \sqrt{5} + (\sqrt{5})^2) + 9 + 4\sqrt{5} = (4 + 4\sqrt{5} + 5) + 9 + 4\sqrt{5}$
$= 9 + 4\sqrt{5} + 9 + 4\sqrt{5} = 18 + 8\sqrt{5}$
5. Найдем сумму полученных значений:
$\phi(\sqrt{5} - 2) + \phi(-2 - \sqrt{5}) = (18 - 8\sqrt{5}) + (18 + 8\sqrt{5}) = 18 - 8\sqrt{5} + 18 + 8\sqrt{5} = 36$
Ответ: $36$
Другие задания:
Помогло решение? Оставьте отзыв в комментариях ниже.
Присоединяйтесь к Телеграм-группе @top_gdz
ПрисоединитьсяМы подготовили для вас ответ c подробным объяснением домашего задания по алгебре за 8 класс, для упражнения номер 15 расположенного на странице 91 для 2-й части к рабочей тетради 2024 года издания для учащихся школ и гимназий.
Теперь на нашем сайте ГДЗ.ТОП вы всегда легко и бесплатно найдёте условие с правильным ответом на вопрос «Как решить ДЗ» и «Как сделать» задание по алгебре к упражнению №15 (с. 91), авторов: Крайнева (Лариса Борисовна), Миндюк (Нора Григорьевна), Шлыкова (Инга Соломоновна), 2-й части ФГОС (новый, красный) базовый уровень обучения учебного пособия издательства Просвещение.