Номер 6, страница 94, часть 2 - гдз по алгебре 8 класс рабочая тетрадь Крайнева, Миндюк

Авторы: Крайнева Л. Б., Миндюк Н. Г., Шлыкова И. С.
Тип: рабочая тетрадь
Издательство: Просвещение
Год издания: 2024 - 2025
Уровень обучения: базовый
Часть: 2
Цвет обложки: белый, голубой
ISBN: 978-5-09-110334-2
Популярные ГДЗ в 8 классе
39. Свойства функции. Глава 5. Функции. Часть 2 - номер 6, страница 94.
№6 (с. 94)
Условие. №6 (с. 94)
скриншот условия

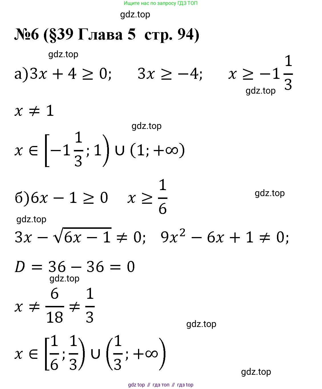
6. Укажите область определения функции:
а) $f(x) = \frac{x - \sqrt{3x + 4}}{x + 1};$
б) $f(x) = \frac{2x^2 - x}{3x - \sqrt{6x - 1}}.$
Решение. №6 (с. 94)

Решение 2. №6 (с. 94)
а) Область определения функции $f(x) = \frac{x - \sqrt{3x + 4}}{x + 1}$ находится из двух условий:
- Подкоренное выражение должно быть неотрицательным, так как корень четной степени можно извлекать только из неотрицательных чисел.
$3x + 4 \geq 0$
$3x \geq -4$
$x \geq -\frac{4}{3}$
Это означает, что $x$ принадлежит промежутку $[-\frac{4}{3}; +\infty)$. - Знаменатель дроби не должен равняться нулю, так как на ноль делить нельзя.
$x + 1 \neq 0$
$x \neq -1$
Объединим эти два условия. Нам нужно найти все значения $x$, которые удовлетворяют обоим условиям одновременно. То есть, из промежутка $[-\frac{4}{3}; +\infty)$ необходимо исключить точку $x = -1$.
Таким образом, область определения функции представляет собой объединение двух интервалов.
Ответ: $D(f) = [-\frac{4}{3}; -1) \cup (-1; +\infty)$.
б) Область определения функции $f(x) = \frac{2x^2 - x}{3x - \sqrt{6x - 1}}$ также находится из двух условий:
- Подкоренное выражение должно быть неотрицательным.
$6x - 1 \geq 0$
$6x \geq 1$
$x \geq \frac{1}{6}$
Это означает, что $x$ принадлежит промежутку $[\frac{1}{6}; +\infty)$. - Знаменатель дроби не должен равняться нулю.
$3x - \sqrt{6x - 1} \neq 0$
Найдем значения $x$, при которых знаменатель равен нулю:
$3x = \sqrt{6x - 1}$
Так как правая часть уравнения (арифметический квадратный корень) неотрицательна, левая часть также должна быть неотрицательной: $3x \geq 0$, то есть $x \geq 0$. Это условие выполняется, так как мы уже установили, что $x \geq \frac{1}{6}$.
Возведем обе части уравнения в квадрат:
$(3x)^2 = (\sqrt{6x - 1})^2$
$9x^2 = 6x - 1$
$9x^2 - 6x + 1 = 0$
Это полный квадрат разности: $(3x - 1)^2 = 0$.
$3x - 1 = 0$
$3x = 1$
$x = \frac{1}{3}$
Значит, при $x = \frac{1}{3}$ знаменатель обращается в ноль. Это значение необходимо исключить из области определения.
Объединим условия. Из промежутка $[\frac{1}{6}; +\infty)$, полученного из первого условия, нужно исключить точку $x = \frac{1}{3}$. Так как $\frac{1}{3} = \frac{2}{6}$, и $\frac{2}{6} > \frac{1}{6}$, точка $x = \frac{1}{3}$ входит в этот промежуток и должна быть исключена.
Ответ: $D(f) = [\frac{1}{6}; \frac{1}{3}) \cup (\frac{1}{3}; +\infty)$.
Другие задания:
Помогло решение? Оставьте отзыв в комментариях ниже.
Присоединяйтесь к Телеграм-группе @top_gdz
ПрисоединитьсяМы подготовили для вас ответ c подробным объяснением домашего задания по алгебре за 8 класс, для упражнения номер 6 расположенного на странице 94 для 2-й части к рабочей тетради 2024 года издания для учащихся школ и гимназий.
Теперь на нашем сайте ГДЗ.ТОП вы всегда легко и бесплатно найдёте условие с правильным ответом на вопрос «Как решить ДЗ» и «Как сделать» задание по алгебре к упражнению №6 (с. 94), авторов: Крайнева (Лариса Борисовна), Миндюк (Нора Григорьевна), Шлыкова (Инга Соломоновна), 2-й части ФГОС (новый, красный) базовый уровень обучения учебного пособия издательства Просвещение.