Номер 10, страница 96, часть 2 - гдз по алгебре 8 класс рабочая тетрадь Крайнева, Миндюк

Авторы: Крайнева Л. Б., Миндюк Н. Г., Шлыкова И. С.
Тип: рабочая тетрадь
Издательство: Просвещение
Год издания: 2024 - 2025
Уровень обучения: базовый
Часть: 2
Цвет обложки: белый, голубой
ISBN: 978-5-09-110334-2
Популярные ГДЗ в 8 классе
39. Свойства функции. Глава 5. Функции. Часть 2 - номер 10, страница 96.
№10 (с. 96)
Условие. №10 (с. 96)
скриншот условия

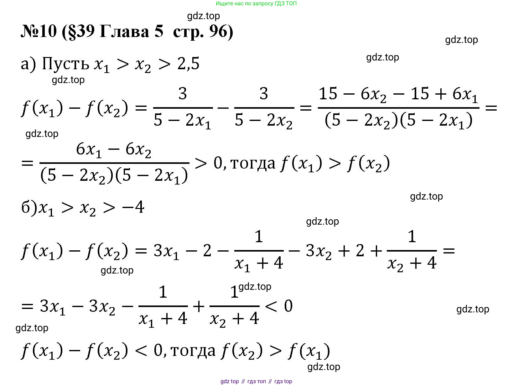
10. Докажите, что функция $f(x)$ возрастает при заданных значениях аргумента:
$f(x) = \frac{2}{9-x}$ при $x < 9$. Пусть $x_1 < x_2 < 9$;
$f(x_2) - f(x_1) = \frac{2}{9-x_2} - \frac{2}{9-x_1} = \frac{18-2x_1-18+2x_2}{(9-x_1)(9-x_2)} = \frac{2(x_2-x_1)}{(9-x_1)(9-x_2)} > 0,$
так как $x_2-x_1 > 0$, $9-x_1 > 0$, $9-x_2 > 0$. Значит, $f(x_2) > f(x_1)$.
a) $f(x) = \frac{3}{5-2x}$ при $x > 2,5;$
б) $f(x) = 3x - 2 - \frac{1}{x+4}$ при $x > -4.$
Решение. №10 (с. 96)

Решение 2. №10 (с. 96)
а) $f(x) = \frac{3}{5 - 2x}$ при $x > 2,5$
Чтобы доказать, что функция возрастает на заданном промежутке, необходимо показать, что для любых двух значений аргумента $x_1$ и $x_2$ из этого промежутка, таких что $x_2 > x_1$, выполняется неравенство $f(x_2) > f(x_1)$. Это эквивалентно доказательству того, что разность $f(x_2) - f(x_1)$ положительна.
Пусть $x_1$ и $x_2$ — произвольные числа, такие что $2,5 < x_1 < x_2$.
Рассмотрим разность значений функции в этих точках:
$f(x_2) - f(x_1) = \frac{3}{5 - 2x_2} - \frac{3}{5 - 2x_1}$
Приведем дроби к общему знаменателю и упростим выражение:
$f(x_2) - f(x_1) = \frac{3(5 - 2x_1) - 3(5 - 2x_2)}{(5 - 2x_2)(5 - 2x_1)} = \frac{15 - 6x_1 - 15 + 6x_2}{(5 - 2x_1)(5 - 2x_2)} = \frac{6x_2 - 6x_1}{(5 - 2x_1)(5 - 2x_2)} = \frac{6(x_2 - x_1)}{(5 - 2x_1)(5 - 2x_2)}$
Теперь оценим знак числителя и знаменателя полученной дроби.
1. Числитель $6(x_2 - x_1)$. Поскольку мы выбрали $x_2 > x_1$, разность $x_2 - x_1$ положительна. Следовательно, числитель положителен.
2. Знаменатель $(5 - 2x_1)(5 - 2x_2)$. Из условия $x > 2,5$ следует, что $2x > 5$, и, соответственно, $5 - 2x < 0$. Так как $x_1$ и $x_2$ принадлежат этому промежутку, то оба выражения в скобках отрицательны:
$x_1 > 2,5 \implies 5 - 2x_1 < 0$
$x_2 > 2,5 \implies 5 - 2x_2 < 0$
Произведение двух отрицательных чисел является положительным числом, поэтому знаменатель $(5 - 2x_1)(5 - 2x_2)$ положителен.
Так как и числитель, и знаменатель дроби положительны, то и вся дробь положительна. Таким образом, $f(x_2) - f(x_1) > 0$, что означает $f(x_2) > f(x_1)$. Это доказывает, что функция возрастает.
Ответ: Доказано, что функция $f(x) = \frac{3}{5 - 2x}$ возрастает при $x > 2,5$.
б) $f(x) = 3x - 2 - \frac{1}{x+4}$ при $x > -4$
Действуем аналогично. Возьмем два произвольных значения $x_1$ и $x_2$ из промежутка $x > -4$ так, чтобы выполнялось условие $-4 < x_1 < x_2$. Докажем, что $f(x_2) - f(x_1) > 0$.
Составим разность:
$f(x_2) - f(x_1) = \left(3x_2 - 2 - \frac{1}{x_2+4}\right) - \left(3x_1 - 2 - \frac{1}{x_1+4}\right)$
Сгруппируем слагаемые и упростим:
$f(x_2) - f(x_1) = (3x_2 - 3x_1) - 2 + 2 + \left(\frac{1}{x_1+4} - \frac{1}{x_2+4}\right) = 3(x_2 - x_1) + \frac{(x_2+4) - (x_1+4)}{(x_1+4)(x_2+4)}$
$f(x_2) - f(x_1) = 3(x_2 - x_1) + \frac{x_2 - x_1}{(x_1+4)(x_2+4)}$
Вынесем общий множитель $(x_2 - x_1)$ за скобки:
$f(x_2) - f(x_1) = (x_2 - x_1)\left(3 + \frac{1}{(x_1+4)(x_2+4)}\right)$
Оценим знак каждого множителя в полученном произведении.
1. Первый множитель $(x_2 - x_1)$. Так как $x_2 > x_1$, этот множитель положителен.
2. Второй множитель $\left(3 + \frac{1}{(x_1+4)(x_2+4)}\right)$. Из условия $x > -4$ следует, что $x+4 > 0$. Поскольку и $x_1$, и $x_2$ больше -4, то:
$x_1 > -4 \implies x_1+4 > 0$
$x_2 > -4 \implies x_2+4 > 0$
Знаменатель $(x_1+4)(x_2+4)$ является произведением двух положительных чисел, значит, он положителен. Тогда дробь $\frac{1}{(x_1+4)(x_2+4)}$ также положительна. Сумма положительного числа 3 и положительной дроби есть число положительное.
Произведение двух положительных множителей положительно. Следовательно, $f(x_2) - f(x_1) > 0$, а $f(x_2) > f(x_1)$. Функция возрастает на заданном промежутке.
Ответ: Доказано, что функция $f(x) = 3x - 2 - \frac{1}{x+4}$ возрастает при $x > -4$.
Другие задания:
Помогло решение? Оставьте отзыв в комментариях ниже.
Присоединяйтесь к Телеграм-группе @top_gdz
ПрисоединитьсяМы подготовили для вас ответ c подробным объяснением домашего задания по алгебре за 8 класс, для упражнения номер 10 расположенного на странице 96 для 2-й части к рабочей тетради 2024 года издания для учащихся школ и гимназий.
Теперь на нашем сайте ГДЗ.ТОП вы всегда легко и бесплатно найдёте условие с правильным ответом на вопрос «Как решить ДЗ» и «Как сделать» задание по алгебре к упражнению №10 (с. 96), авторов: Крайнева (Лариса Борисовна), Миндюк (Нора Григорьевна), Шлыкова (Инга Соломоновна), 2-й части ФГОС (новый, красный) базовый уровень обучения учебного пособия издательства Просвещение.