Номер 1, страница 118, часть 2 - гдз по алгебре 8 класс рабочая тетрадь Крайнева, Миндюк

Авторы: Крайнева Л. Б., Миндюк Н. Г., Шлыкова И. С.
Тип: рабочая тетрадь
Издательство: Просвещение
Год издания: 2024 - 2025
Уровень обучения: базовый
Часть: 2
Цвет обложки: белый, голубой
ISBN: 978-5-09-110334-2
Популярные ГДЗ в 8 классе
Повторение курса алгебры 8 класса. Часть 2 - номер 1, страница 118.
№1 (с. 118)
Условие. №1 (с. 118)
скриншот условия

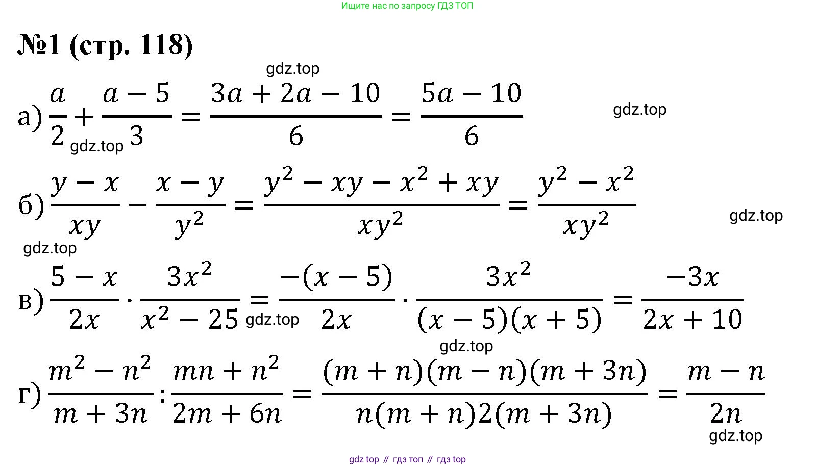
1. Выполните действие:
а) $ \frac{a}{2} + \frac{a - 5}{3} = $
б) $ \frac{y - x}{xy} - \frac{x - y}{y^2} = $
в) $ \frac{5 - x}{2x} \cdot \frac{3x^2}{x^2 - 25} = $
г) $ \frac{m^2 - n^2}{m + 3n} : \frac{mn + n^2}{2m + 6n} = $
Решение. №1 (с. 118)

Решение 2. №1 (с. 118)
а) Чтобы сложить дроби с разными знаменателями, их нужно привести к общему знаменателю. Общий знаменатель для 2 и 3 - это 6. Домножим первую дробь на 3, а вторую на 2.
$ \frac{a}{2} + \frac{a-5}{3} = \frac{3 \cdot a}{3 \cdot 2} + \frac{2 \cdot (a-5)}{2 \cdot 3} = \frac{3a}{6} + \frac{2a - 10}{6} $
Теперь, когда знаменатели одинаковы, сложим числители:
$ \frac{3a + 2a - 10}{6} = \frac{5a - 10}{6} $
Ответ: $ \frac{5a - 10}{6} $
б) Найдем общий знаменатель для дробей $ \frac{y-x}{xy} $ и $ \frac{x-y}{y^2} $. Общим знаменателем будет $ xy^2 $. Домножим первую дробь на $ y $, а вторую на $ x $.
$ \frac{y-x}{xy} - \frac{x-y}{y^2} = \frac{y(y-x)}{xy^2} - \frac{x(x-y)}{xy^2} = \frac{y^2 - xy}{xy^2} - \frac{x^2 - xy}{xy^2} $
Выполним вычитание дробей с одинаковыми знаменателями:
$ \frac{(y^2 - xy) - (x^2 - xy)}{xy^2} = \frac{y^2 - xy - x^2 + xy}{xy^2} = \frac{y^2 - x^2}{xy^2} $
Ответ: $ \frac{y^2 - x^2}{xy^2} $
в) Чтобы перемножить дроби, нужно разложить числители и знаменатели на множители и сократить одинаковые.
$ \frac{5-x}{2x} \cdot \frac{3x^2}{x^2 - 25} $
Разложим на множители: $ 5-x = -(x-5) $ и $ x^2 - 25 = (x-5)(x+5) $ (разность квадратов).
$ \frac{-(x-5)}{2x} \cdot \frac{3x^2}{(x-5)(x+5)} $
Сократим общие множители $ (x-5) $ и $ x $:
$ \frac{-1}{2} \cdot \frac{3x}{x+5} = -\frac{3x}{2(x+5)} $
Ответ: $ -\frac{3x}{2(x+5)} $
г) Деление дробей заменяется умножением на перевернутую (обратную) дробь. Затем раскладываем выражения на множители и сокращаем.
$ \frac{m^2-n^2}{m+3n} : \frac{mn+n^2}{2m+6n} = \frac{m^2-n^2}{m+3n} \cdot \frac{2m+6n}{mn+n^2} $
Разложим числители и знаменатели на множители:
- $ m^2-n^2 = (m-n)(m+n) $
- $ 2m+6n = 2(m+3n) $
- $ mn+n^2 = n(m+n) $
Подставим разложенные выражения в пример:
$ \frac{(m-n)(m+n)}{m+3n} \cdot \frac{2(m+3n)}{n(m+n)} $
Сократим общие множители $ (m+n) $ и $ (m+3n) $:
$ \frac{m-n}{1} \cdot \frac{2}{n} = \frac{2(m-n)}{n} $
Ответ: $ \frac{2(m-n)}{n} $
Другие задания:
Помогло решение? Оставьте отзыв в комментариях ниже.
Присоединяйтесь к Телеграм-группе @top_gdz
ПрисоединитьсяМы подготовили для вас ответ c подробным объяснением домашего задания по алгебре за 8 класс, для упражнения номер 1 расположенного на странице 118 для 2-й части к рабочей тетради 2024 года издания для учащихся школ и гимназий.
Теперь на нашем сайте ГДЗ.ТОП вы всегда легко и бесплатно найдёте условие с правильным ответом на вопрос «Как решить ДЗ» и «Как сделать» задание по алгебре к упражнению №1 (с. 118), авторов: Крайнева (Лариса Борисовна), Миндюк (Нора Григорьевна), Шлыкова (Инга Соломоновна), 2-й части ФГОС (новый, красный) базовый уровень обучения учебного пособия издательства Просвещение.