Номер 15, страница 122, часть 2 - гдз по алгебре 8 класс рабочая тетрадь Крайнева, Миндюк

Авторы: Крайнева Л. Б., Миндюк Н. Г., Шлыкова И. С.
Тип: рабочая тетрадь
Издательство: Просвещение
Год издания: 2024 - 2025
Уровень обучения: базовый
Часть: 2
Цвет обложки: белый, голубой
ISBN: 978-5-09-110334-2
Популярные ГДЗ в 8 классе
Повторение курса алгебры 8 класса. Часть 2 - номер 15, страница 122.
№15 (с. 122)
Условие. №15 (с. 122)
скриншот условия

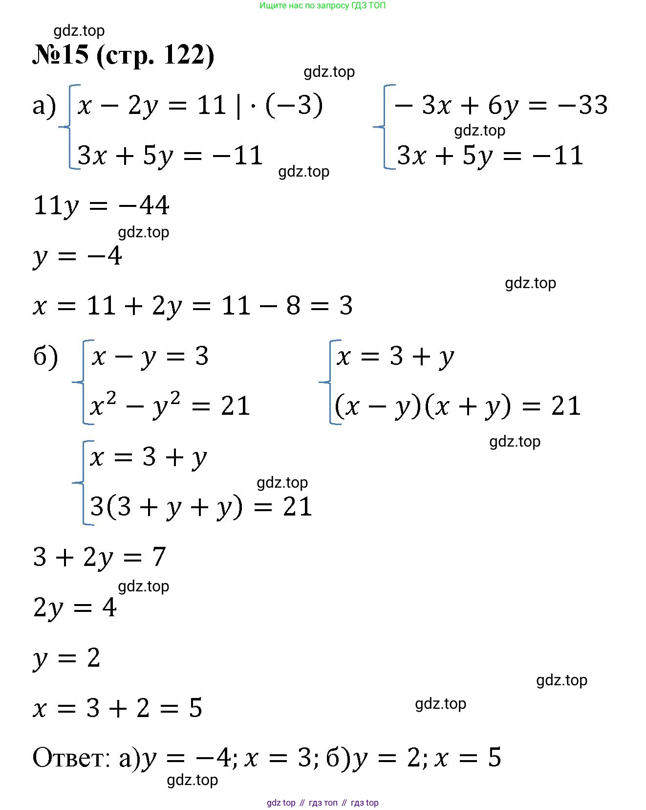
15. Решите систему уравнений:
а) $\begin{cases} x - 2y = 11, \\ 3x + 5y = -11; \end{cases}$
б) $\begin{cases} x - y = 3, \\ x^2 - y^2 = 21. \end{cases}$
Решение. №15 (с. 122)

Решение 2. №15 (с. 122)
а)
Дана система линейных уравнений:
$ \begin{cases} x - 2y = 11, \\ 3x + 5y = -11. \end{cases} $
Для решения системы используем метод подстановки. Выразим x из первого уравнения:
$x = 11 + 2y$
Теперь подставим это выражение для x во второе уравнение системы:
$3(11 + 2y) + 5y = -11$
Раскроем скобки и решим полученное уравнение относительно y:
$33 + 6y + 5y = -11$
$11y = -11 - 33$
$11y = -44$
$y = \frac{-44}{11}$
$y = -4$
Теперь, зная значение y, найдем соответствующее значение x, подставив $y = -4$ в выражение для x:
$x = 11 + 2(-4)$
$x = 11 - 8$
$x = 3$
Проверим найденное решение $(3, -4)$, подставив его в оба исходных уравнения:
$ \begin{cases} 3 - 2(-4) = 3 + 8 = 11, \\ 3(3) + 5(-4) = 9 - 20 = -11. \end{cases} $
Оба равенства верны, значит, решение найдено правильно.
Ответ: $(3, -4)$
б)
Дана система уравнений:
$ \begin{cases} x - y = 3, \\ x^2 - y^2 = 21. \end{cases} $
Второе уравнение представляет собой разность квадратов, которую можно разложить на множители по формуле $a^2 - b^2 = (a-b)(a+b)$:
$x^2 - y^2 = (x - y)(x + y)$
Подставим это выражение во второе уравнение системы:
$(x - y)(x + y) = 21$
Из первого уравнения системы нам известно, что $x - y = 3$. Подставим это значение в преобразованное второе уравнение:
$3(x + y) = 21$
Разделим обе части уравнения на 3:
$x + y = \frac{21}{3}$
$x + y = 7$
Теперь исходная система равносильна следующей системе линейных уравнений:
$ \begin{cases} x - y = 3, \\ x + y = 7. \end{cases} $
Сложим два уравнения этой системы, чтобы исключить y:
$(x - y) + (x + y) = 3 + 7$
$2x = 10$
$x = 5$
Теперь подставим найденное значение x в любое из уравнений новой системы, например, в $x + y = 7$:
$5 + y = 7$
$y = 7 - 5$
$y = 2$
Проверим найденное решение $(5, 2)$, подставив его в оба исходных уравнения:
$ \begin{cases} 5 - 2 = 3, \\ 5^2 - 2^2 = 25 - 4 = 21. \end{cases} $
Оба равенства верны, значит, решение найдено правильно.
Ответ: $(5, 2)$
Другие задания:
Помогло решение? Оставьте отзыв в комментариях ниже.
Присоединяйтесь к Телеграм-группе @top_gdz
ПрисоединитьсяМы подготовили для вас ответ c подробным объяснением домашего задания по алгебре за 8 класс, для упражнения номер 15 расположенного на странице 122 для 2-й части к рабочей тетради 2024 года издания для учащихся школ и гимназий.
Теперь на нашем сайте ГДЗ.ТОП вы всегда легко и бесплатно найдёте условие с правильным ответом на вопрос «Как решить ДЗ» и «Как сделать» задание по алгебре к упражнению №15 (с. 122), авторов: Крайнева (Лариса Борисовна), Миндюк (Нора Григорьевна), Шлыкова (Инга Соломоновна), 2-й части ФГОС (новый, красный) базовый уровень обучения учебного пособия издательства Просвещение.