Номер 139, страница 35 - гдз по алгебре 8 класс учебник Макарычев, Миндюк

Авторы: Макарычев Ю. Н., Миндюк Н. Г., Нешков К. И., Суворова С. Б.
Тип: Учебник
Издательство: Просвещение
Год издания: 2019 - 2022
Цвет обложки: белый, голубой, фиолетовый
ISBN: 978-5-09-087569-1
Допущено Министерством просвещения Российской Федерации
Популярные ГДЗ в 8 классе
6. Деление дробей. § 3. Произведение и частное дробей. Глава 1. Рациональные дроби - номер 139, страница 35.
№139 (с. 35)
Условие. №139 (с. 35)
скриншот условия

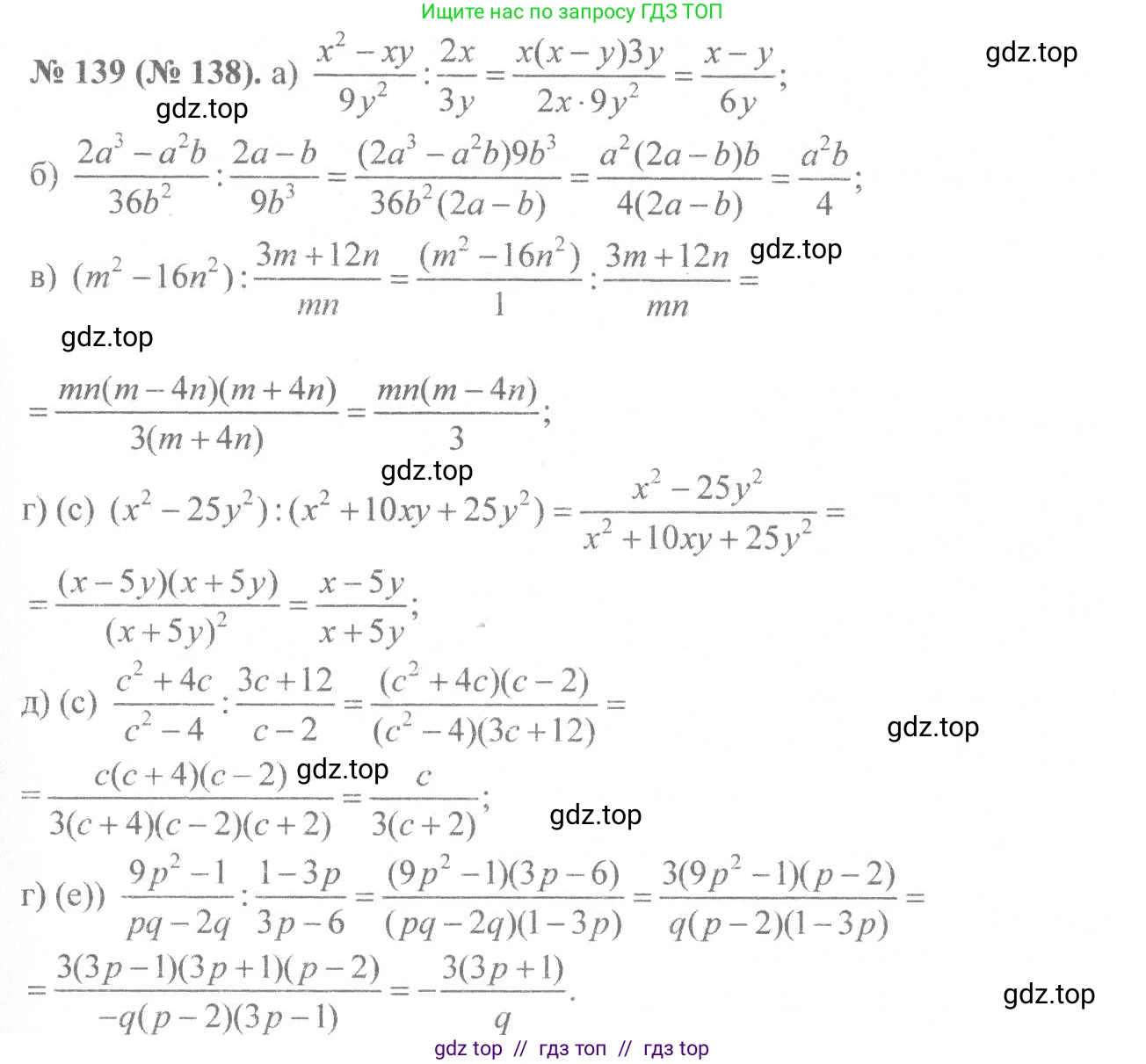
139. Выполните действие:
а) $\frac{x^2 - xy}{9y^2} : \frac{2x}{3y}$;
б) $\frac{2a^3 - a^2b}{36b^2} : \frac{2a - b}{9b^3}$;
в) $(m^2 - 16n^2) : \frac{3m + 12n}{mn}$;
г) $\frac{9p^2 - 1}{pq - 2q} \cdot \frac{1 - 3p}{3p - 6}$.
Решение 1. №139 (с. 35)




Решение 2. №139 (с. 35)

Решение 3. №139 (с. 35)

Решение 4. №139 (с. 35)

Решение 5. №139 (с. 35)

Решение 6. №139 (с. 35)

Решение 8. №139 (с. 35)
а) Чтобы выполнить деление дробей, нужно первую дробь умножить на дробь, обратную второй. Затем, по возможности, разложить числители и знаменатели на множители и сократить общие множители.
$\frac{x^2 - xy}{9y^2} : \frac{2x}{3y} = \frac{x^2 - xy}{9y^2} \cdot \frac{3y}{2x}$
Вынесем общий множитель $x$ в числителе первой дроби:
$\frac{x(x-y)}{9y^2} \cdot \frac{3y}{2x}$
Теперь сократим общие множители $x$, $3$ и $y$ в числителе и знаменателе:
$\frac{\cancel{x}(x-y)}{3 \cdot \cancel{3y} \cdot y} \cdot \frac{\cancel{3y}}{2\cancel{x}} = \frac{x-y}{3y \cdot 2} = \frac{x-y}{6y}$
Ответ: $\frac{x-y}{6y}$
б) Заменим деление умножением на обратную дробь:
$\frac{2a^3 - a^2b}{36b^2} : \frac{2a - b}{9b^3} = \frac{2a^3 - a^2b}{36b^2} \cdot \frac{9b^3}{2a - b}$
Вынесем общий множитель $a^2$ в числителе первой дроби:
$\frac{a^2(2a - b)}{36b^2} \cdot \frac{9b^3}{2a - b}$
Сократим общие множители $(2a-b)$, $9$ и $b^2$:
$\frac{a^2\cancel{(2a-b)}}{4 \cdot \cancel{9b^2}} \cdot \frac{\cancel{9b^2} \cdot b}{\cancel{(2a-b)}} = \frac{a^2 \cdot b}{4} = \frac{a^2b}{4}$
Ответ: $\frac{a^2b}{4}$
в) Представим выражение $(m^2 - 16n^2)$ в виде дроби $\frac{m^2-16n^2}{1}$ и заменим деление на умножение:
$(m^2 - 16n^2) : \frac{3m + 12n}{mn} = \frac{m^2 - 16n^2}{1} \cdot \frac{mn}{3m + 12n}$
Разложим числитель первой дроби по формуле разности квадратов $a^2 - b^2 = (a-b)(a+b)$, а в знаменателе второй дроби вынесем общий множитель $3$:
$m^2 - 16n^2 = (m-4n)(m+4n)$
$3m + 12n = 3(m+4n)$
Подставим и сократим:
$\frac{(m-4n)(m+4n)}{1} \cdot \frac{mn}{3(m+4n)} = \frac{(m-4n)\cancel{(m+4n)}}{1} \cdot \frac{mn}{3\cancel{(m+4n)}} = \frac{mn(m-4n)}{3}$
Ответ: $\frac{mn(m-4n)}{3}$
г) Заменим деление умножением на обратную дробь:
$\frac{9p^2 - 1}{pq - 2q} : \frac{1 - 3p}{3p - 6} = \frac{9p^2 - 1}{pq - 2q} \cdot \frac{3p - 6}{1 - 3p}$
Разложим на множители числители и знаменатели:
$9p^2 - 1 = (3p-1)(3p+1)$ (разность квадратов)
$pq - 2q = q(p-2)$
$3p - 6 = 3(p-2)$
$1 - 3p = -(3p-1)$
Подставим полученные выражения в пример и сократим общие множители:
$\frac{(3p-1)(3p+1)}{q(p-2)} \cdot \frac{3(p-2)}{-(3p-1)} = \frac{\cancel{(3p-1)}(3p+1)}{q\cancel{(p-2)}} \cdot \frac{3\cancel{(p-2)}}{-\cancel{(3p-1)}} = \frac{3(3p+1)}{-q} = -\frac{3(3p+1)}{q}$
Ответ: $-\frac{3(3p+1)}{q}$
Другие задания:
Помогло решение? Оставьте отзыв в комментариях ниже.
Мы подготовили для вас ответ c подробным объяснением домашего задания по алгебре за 8 класс, для упражнения номер 139 расположенного на странице 35 к учебнику 2019 - 2022 года издания для учащихся школ и гимназий.
Теперь на нашем сайте ГДЗ.ТОП вы всегда легко и бесплатно найдёте условие с правильным ответом на вопрос «Как решить ДЗ» и «Как сделать» задание по алгебре к упражнению №139 (с. 35), авторов: Макарычев (Юрий Николаевич), Миндюк (Нора Григорьевна), Нешков (Константин Иванович), Суворова (Светлана Борисовна), ФГОС (старый) учебного пособия издательства Просвещение.