Номер 141, страница 35 - гдз по алгебре 8 класс учебник Макарычев, Миндюк

Авторы: Макарычев Ю. Н., Миндюк Н. Г., Нешков К. И., Суворова С. Б.
Тип: Учебник
Издательство: Просвещение
Год издания: 2019 - 2022
Цвет обложки: белый, голубой, фиолетовый
ISBN: 978-5-09-087569-1
Допущено Министерством просвещения Российской Федерации
Популярные ГДЗ в 8 классе
6. Деление дробей. § 3. Произведение и частное дробей. Глава 1. Рациональные дроби - номер 141, страница 35.
№141 (с. 35)
Условие. №141 (с. 35)
скриншот условия

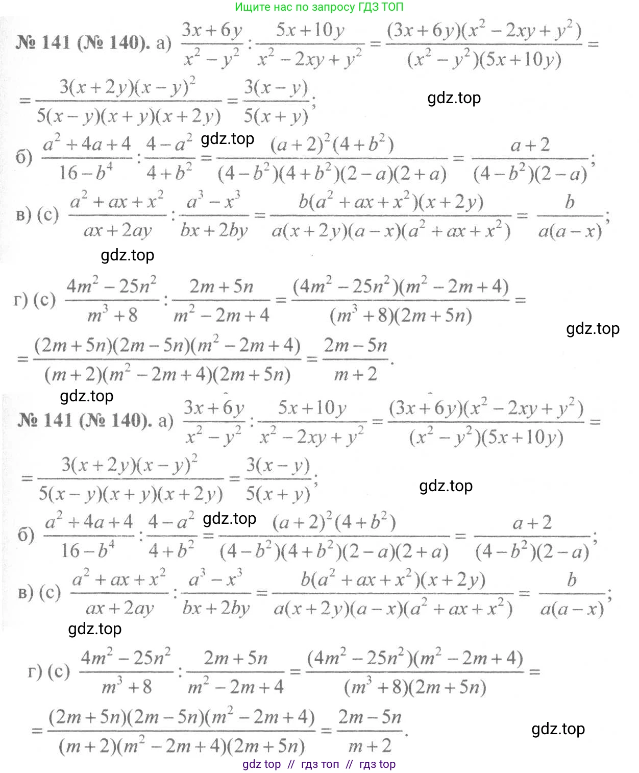
141. Выполните деление:
а) $\frac{3x + 6y}{x^2 - y^2} : \frac{5x + 10y}{x^2 - 2xy + y^2}$
б) $\frac{a^2 + 4a + 4}{16 - b^4} : \frac{4 - a^2}{4 + b^2}$
Решение 1. №141 (с. 35)


Решение 2. №141 (с. 35)

Решение 3. №141 (с. 35)

Решение 4. №141 (с. 35)

Решение 5. №141 (с. 35)

Решение 6. №141 (с. 35)

Решение 8. №141 (с. 35)
а) $ \frac{3x + 6y}{x^2 - y^2} : \frac{5x + 10y}{x^2 - 2xy + y^2} $
Чтобы разделить одну алгебраическую дробь на другую, необходимо первую дробь умножить на дробь, обратную второй (перевернутую).
$ \frac{3x + 6y}{x^2 - y^2} : \frac{5x + 10y}{x^2 - 2xy + y^2} = \frac{3x + 6y}{x^2 - y^2} \cdot \frac{x^2 - 2xy + y^2}{5x + 10y} $
Теперь разложим числители и знаменатели на множители, чтобы можно было выполнить сокращение. Для этого используем метод вынесения общего множителя за скобки и формулы сокращенного умножения:
- Числитель первой дроби: $ 3x + 6y = 3(x + 2y) $
- Знаменатель первой дроби (разность квадратов): $ x^2 - y^2 = (x - y)(x + y) $
- Числитель второй дроби (квадрат разности): $ x^2 - 2xy + y^2 = (x - y)^2 $
- Знаменатель второй дроби: $ 5x + 10y = 5(x + 2y) $
Подставим полученные выражения в наше произведение:
$ \frac{3(x + 2y)}{(x - y)(x + y)} \cdot \frac{(x - y)^2}{5(x + 2y)} $
Теперь сократим одинаковые множители в числителе и знаменателе. Множитель $(x + 2y)$ есть и вверху, и внизу. Множитель $(x - y)$ также есть и вверху (в квадрате), и внизу.
$ \frac{3\cancel{(x + 2y)}}{\cancel{(x - y)}(x + y)} \cdot \frac{(x - y)^{\cancel{2}}}{5\cancel{(x + 2y)}} = \frac{3(x - y)}{5(x + y)} $
Ответ: $ \frac{3(x-y)}{5(x+y)} $
б) $ \frac{a^2 + 4a + 4}{16 - b^4} : \frac{4 - a^2}{4 + b^2} $
Заменим деление на умножение на обратную дробь:
$ \frac{a^2 + 4a + 4}{16 - b^4} \cdot \frac{4 + b^2}{4 - a^2} $
Разложим на множители числители и знаменатели, используя формулы сокращенного умножения:
- Числитель первой дроби (квадрат суммы): $ a^2 + 4a + 4 = (a + 2)^2 $
- Знаменатель первой дроби (разность квадратов): $ 16 - b^4 = (4)^2 - (b^2)^2 = (4 - b^2)(4 + b^2) $
- Знаменатель второй дроби (разность квадратов): $ 4 - a^2 = 2^2 - a^2 = (2 - a)(2 + a) $
- Числитель второй дроби $ 4 + b^2 $ является суммой квадратов и не раскладывается на множители в действительных числах.
Подставим разложенные на множители выражения в пример:
$ \frac{(a + 2)^2}{(4 - b^2)(4 + b^2)} \cdot \frac{4 + b^2}{(2 - a)(2 + a)} $
Сократим общие множители. Множитель $(4 + b^2)$ есть в числителе и знаменателе. Множитель $(a+2)$ есть в числителе (в квадрате) и в знаменателе (как $(2+a)$).
$ \frac{(a + 2)^{\cancel{2}}}{(4 - b^2)\cancel{(4 + b^2)}} \cdot \frac{\cancel{4 + b^2}}{(2 - a)\cancel{(a + 2)}} = \frac{a + 2}{(4 - b^2)(2 - a)} $
Ответ: $ \frac{a+2}{(4-b^2)(2-a)} $
Другие задания:
Помогло решение? Оставьте отзыв в комментариях ниже.
Мы подготовили для вас ответ c подробным объяснением домашего задания по алгебре за 8 класс, для упражнения номер 141 расположенного на странице 35 к учебнику 2019 - 2022 года издания для учащихся школ и гимназий.
Теперь на нашем сайте ГДЗ.ТОП вы всегда легко и бесплатно найдёте условие с правильным ответом на вопрос «Как решить ДЗ» и «Как сделать» задание по алгебре к упражнению №141 (с. 35), авторов: Макарычев (Юрий Николаевич), Миндюк (Нора Григорьевна), Нешков (Константин Иванович), Суворова (Светлана Борисовна), ФГОС (старый) учебного пособия издательства Просвещение.