Номер 102, страница 20 - гдз по алгебре 8 класс дидактические материалы Мерзляк, Полонский
 
                                                Авторы: Мерзляк А. Г., Полонский В. Б., Рабинович Е. М., Якир М. С.
Тип: Дидактические материалы
Издательство: Просвещение, Вентана-граф
Год издания: 2014 - 2025
Цвет обложки: розовый, фиолетовый с папками
ISBN: 978-5-09-079636-1
Популярные ГДЗ в 8 классе
Упражнения. Вариант 1 - номер 102, страница 20.
№102 (с. 20)
Условие. №102 (с. 20)
скриншот условия
 
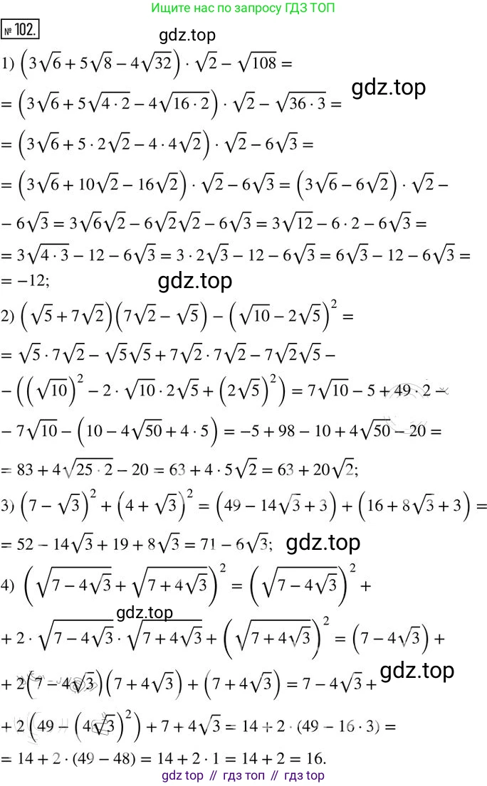
                                102. Упростите выражение:
1) $(3\sqrt{6} + 5\sqrt{8} - 4\sqrt{32}) \cdot \sqrt{2} - \sqrt{108};$
2) $(\sqrt{5} + 7\sqrt{2})(7\sqrt{2} - \sqrt{5}) - (\sqrt{10} - 2\sqrt{5})^2;$
3) $(7 - \sqrt{3})^2 + (4 + \sqrt{3})^2;$
4) $(\sqrt{7 - 4\sqrt{3}} + \sqrt{7 + 4\sqrt{3}})^2.$
Решение 1. №102 (с. 20)
 
                            Решение 2. №102 (с. 20)
 
                            Решение 3. №102 (с. 20)
1) Сначала упростим корни в выражении  $(3\sqrt{6} + 5\sqrt{8} - 4\sqrt{32}) \cdot \sqrt{2} - \sqrt{108}$ .
$\sqrt{8} = \sqrt{4 \cdot 2} = 2\sqrt{2}$
$\sqrt{32} = \sqrt{16 \cdot 2} = 4\sqrt{2}$
$\sqrt{108} = \sqrt{36 \cdot 3} = 6\sqrt{3}$
Подставим упрощенные значения в исходное выражение:
$(3\sqrt{6} + 5 \cdot 2\sqrt{2} - 4 \cdot 4\sqrt{2}) \cdot \sqrt{2} - 6\sqrt{3} = (3\sqrt{6} + 10\sqrt{2} - 16\sqrt{2}) \cdot \sqrt{2} - 6\sqrt{3}$
Приведем подобные слагаемые в скобках:
$(3\sqrt{6} - 6\sqrt{2}) \cdot \sqrt{2} - 6\sqrt{3}$
Раскроем скобки, умножив каждый член на  $\sqrt{2}$ :
$3\sqrt{6} \cdot \sqrt{2} - 6\sqrt{2} \cdot \sqrt{2} - 6\sqrt{3} = 3\sqrt{12} - 6 \cdot 2 - 6\sqrt{3}$
Упростим  $\sqrt{12} = \sqrt{4 \cdot 3} = 2\sqrt{3}$  и подставим:
$3 \cdot 2\sqrt{3} - 12 - 6\sqrt{3} = 6\sqrt{3} - 12 - 6\sqrt{3}$
Приведем подобные слагаемые:
$(6\sqrt{3} - 6\sqrt{3}) - 12 = -12$
Ответ: -12
2) Рассмотрим выражение  $(\sqrt{5} + 7\sqrt{2})(7\sqrt{2} - \sqrt{5}) - (\sqrt{10} - 2\sqrt{5})^2$ .
Первая часть выражения  $(\sqrt{5} + 7\sqrt{2})(7\sqrt{2} - \sqrt{5})$  представляет собой формулу разности квадратов  $(b+a)(b-a) = b^2 - a^2$ , где  $b=7\sqrt{2}$  и  $a=\sqrt{5}$ .
$(7\sqrt{2})^2 - (\sqrt{5})^2 = 49 \cdot 2 - 5 = 98 - 5 = 93$
Вторая часть выражения  $(\sqrt{10} - 2\sqrt{5})^2$  является квадратом разности  $(a-b)^2 = a^2 - 2ab + b^2$ .
$(\sqrt{10})^2 - 2 \cdot \sqrt{10} \cdot 2\sqrt{5} + (2\sqrt{5})^2 = 10 - 4\sqrt{50} + 4 \cdot 5$
Упростим  $\sqrt{50} = \sqrt{25 \cdot 2} = 5\sqrt{2}$ :
$10 - 4 \cdot 5\sqrt{2} + 20 = 30 - 20\sqrt{2}$
Теперь вычтем вторую часть из первой:
$93 - (30 - 20\sqrt{2}) = 93 - 30 + 20\sqrt{2} = 63 + 20\sqrt{2}$
Ответ:  $63 + 20\sqrt{2}$
3) Раскроем каждую скобку в выражении  $(7 - \sqrt{3})^2 + (4 + \sqrt{3})^2$ , используя формулы квадрата разности  $(a-b)^2 = a^2 - 2ab + b^2$  и квадрата суммы  $(a+b)^2 = a^2 + 2ab + b^2$ .
$(7 - \sqrt{3})^2 = 7^2 - 2 \cdot 7 \cdot \sqrt{3} + (\sqrt{3})^2 = 49 - 14\sqrt{3} + 3 = 52 - 14\sqrt{3}$
$(4 + \sqrt{3})^2 = 4^2 + 2 \cdot 4 \cdot \sqrt{3} + (\sqrt{3})^2 = 16 + 8\sqrt{3} + 3 = 19 + 8\sqrt{3}$
Сложим полученные результаты:
$(52 - 14\sqrt{3}) + (19 + 8\sqrt{3}) = 52 + 19 - 14\sqrt{3} + 8\sqrt{3} = 71 - 6\sqrt{3}$
Ответ:  $71 - 6\sqrt{3}$
4) Для упрощения выражения  $(\sqrt{7 - 4\sqrt{3}} + \sqrt{7 + 4\sqrt{3}})^2$  воспользуемся формулой квадрата суммы  $(a+b)^2 = a^2 + 2ab + b^2$ .
Пусть  $a = \sqrt{7 - 4\sqrt{3}}$  и  $b = \sqrt{7 + 4\sqrt{3}}$ .
Тогда  $a^2 = (\sqrt{7 - 4\sqrt{3}})^2 = 7 - 4\sqrt{3}$ .
И  $b^2 = (\sqrt{7 + 4\sqrt{3}})^2 = 7 + 4\sqrt{3}$ .
Найдем удвоенное произведение  $2ab$ :
$2ab = 2 \cdot \sqrt{7 - 4\sqrt{3}} \cdot \sqrt{7 + 4\sqrt{3}} = 2 \cdot \sqrt{(7 - 4\sqrt{3})(7 + 4\sqrt{3})}$
Выражение под корнем является разностью квадратов  $(x-y)(x+y) = x^2 - y^2$ :
$2 \cdot \sqrt{7^2 - (4\sqrt{3})^2} = 2 \cdot \sqrt{49 - 16 \cdot 3} = 2 \cdot \sqrt{49 - 48} = 2 \cdot \sqrt{1} = 2$
Теперь сложим все части:  $a^2 + b^2 + 2ab$ .
$(7 - 4\sqrt{3}) + (7 + 4\sqrt{3}) + 2 = 7 + 7 - 4\sqrt{3} + 4\sqrt{3} + 2 = 14 + 2 = 16$
Ответ: 16
Другие задания:
Помогло решение? Оставьте отзыв в комментариях ниже.
Присоединяйтесь к Телеграм-группе @top_gdz
ПрисоединитьсяМы подготовили для вас ответ c подробным объяснением домашего задания по алгебре за 8 класс, для упражнения номер 102 расположенного на странице 20 к дидактическим материалам 2014 года издания для учащихся школ и гимназий.
Теперь на нашем сайте ГДЗ.ТОП вы всегда легко и бесплатно найдёте условие с правильным ответом на вопрос «Как решить ДЗ» и «Как сделать» задание по алгебре к упражнению №102 (с. 20), авторов: Мерзляк (Аркадий Григорьевич), Полонский (Виталий Борисович), Рабинович (Ефим Михайлович), Якир (Михаил Семёнович), ФГОС (старый) учебного пособия издательства Просвещение, Вентана-граф.
 
                     
                     
                     
                     
                     
                     
                     
                     
                     
                     
                     
                     
                     
                     
                     
                    