Номер 27, страница 35 - гдз по алгебре 8 класс дидактические материалы Мерзляк, Полонский
 
                                                Авторы: Мерзляк А. Г., Полонский В. Б., Рабинович Е. М., Якир М. С.
Тип: Дидактические материалы
Издательство: Просвещение, Вентана-граф
Год издания: 2014 - 2025
Цвет обложки: розовый, фиолетовый с папками
ISBN: 978-5-09-079636-1
Популярные ГДЗ в 8 классе
Упражнения. Вариант 2 - номер 27, страница 35.
№27 (с. 35)
Условие. №27 (с. 35)
скриншот условия
 
             
                                27. Упростите выражение:
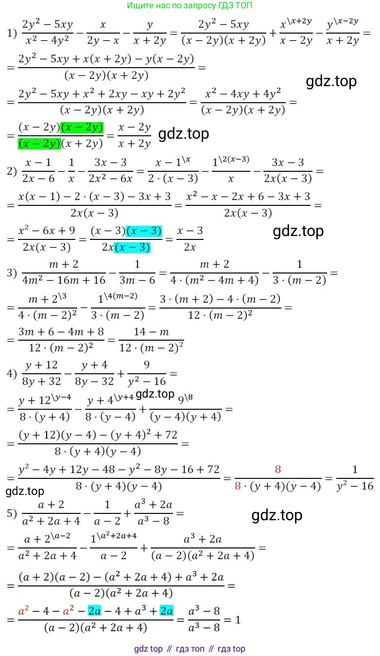
1) $\frac{2y^2 - 5xy}{x^2 - 4y^2} - \frac{x}{2y - x} - \frac{y}{x + 2y}$;
2) $\frac{x - 1}{2x - 6} - \frac{1}{x} - \frac{3x - 3}{2x^2 - 6x}$;
3) $\frac{m + 2}{4m^2 - 16m + 16} - \frac{1}{3m - 6}$;
4) $\frac{y + 12}{8y + 32} - \frac{y + 4}{8y - 32} + \frac{9}{y^2 - 16}$;
5) $\frac{a + 2}{a^2 + 2a + 4} - \frac{1}{a - 2} + \frac{a^3 + 2a}{a^3 - 8}$.
Решение 1. №27 (с. 35)
 
                            Решение 2. №27 (с. 35)
 
                            Решение 3. №27 (с. 35)
1) $\frac{2y^2 - 5xy}{x^2 - 4y^2} - \frac{x}{2y - x} - \frac{y}{x + 2y}$
Сначала разложим на множители знаменатели.
Знаменатель первой дроби $x^2 - 4y^2$ — это разность квадратов: $x^2 - (2y)^2 = (x - 2y)(x + 2y)$.
В знаменателе второй дроби $2y - x$ вынесем знак минус за скобки: $2y - x = -(x - 2y)$.
Теперь выражение выглядит так:
$\frac{2y^2 - 5xy}{(x - 2y)(x + 2y)} - \frac{x}{-(x - 2y)} - \frac{y}{x + 2y} = \frac{2y^2 - 5xy}{(x - 2y)(x + 2y)} + \frac{x}{x - 2y} - \frac{y}{x + 2y}$
Общий знаменатель для всех дробей — это $(x - 2y)(x + 2y)$. Приведем все дроби к этому знаменателю:
$\frac{2y^2 - 5xy}{(x - 2y)(x + 2y)} + \frac{x(x + 2y)}{(x - 2y)(x + 2y)} - \frac{y(x - 2y)}{(x - 2y)(x + 2y)}$
Объединим дроби, выполнив действия в числителе:
$\frac{2y^2 - 5xy + x(x + 2y) - y(x - 2y)}{(x - 2y)(x + 2y)} = \frac{2y^2 - 5xy + x^2 + 2xy - xy + 2y^2}{(x - 2y)(x + 2y)}$
Приведем подобные слагаемые в числителе:
$\frac{x^2 - 4xy + 4y^2}{(x - 2y)(x + 2y)}$
Числитель $x^2 - 4xy + 4y^2$ является полным квадратом разности $(x - 2y)^2$.
$\frac{(x - 2y)^2}{(x - 2y)(x + 2y)}$
Сократим дробь на общий множитель $(x - 2y)$:
$\frac{x - 2y}{x + 2y}$
Ответ: $\frac{x - 2y}{x + 2y}$
2) $\frac{x - 1}{2x - 6} - \frac{1}{x} - \frac{3x - 3}{2x^2 - 6x}$
Разложим знаменатели на множители:
$2x - 6 = 2(x - 3)$
$2x^2 - 6x = 2x(x - 3)$
Общий знаменатель для всех дробей — $2x(x - 3)$. Приведем дроби к нему:
$\frac{(x - 1)x}{2x(x - 3)} - \frac{1 \cdot 2(x - 3)}{x \cdot 2(x - 3)} - \frac{3x - 3}{2x(x - 3)}$
Объединим дроби и выполним действия в числителе:
$\frac{x(x - 1) - 2(x - 3) - (3x - 3)}{2x(x - 3)} = \frac{x^2 - x - 2x + 6 - 3x + 3}{2x(x - 3)}$
Приведем подобные слагаемые в числителе:
$\frac{x^2 - 6x + 9}{2x(x - 3)}$
Числитель $x^2 - 6x + 9$ является полным квадратом разности $(x - 3)^2$.
$\frac{(x - 3)^2}{2x(x - 3)}$
Сократим дробь на общий множитель $(x - 3)$:
$\frac{x - 3}{2x}$
Ответ: $\frac{x - 3}{2x}$
3) $\frac{m + 2}{4m^2 - 16m + 16} - \frac{1}{3m - 6}$
Разложим знаменатели на множители:
$4m^2 - 16m + 16 = 4(m^2 - 4m + 4) = 4(m - 2)^2$ (полный квадрат разности)
$3m - 6 = 3(m - 2)$
Общий знаменатель — $12(m - 2)^2$. Приведем дроби к этому знаменателю:
$\frac{(m + 2) \cdot 3}{4(m - 2)^2 \cdot 3} - \frac{1 \cdot 4(m - 2)}{3(m - 2) \cdot 4(m - 2)} = \frac{3(m + 2) - 4(m - 2)}{12(m - 2)^2}$
Раскроем скобки в числителе и приведем подобные слагаемые:
$\frac{3m + 6 - 4m + 8}{12(m - 2)^2} = \frac{14 - m}{12(m - 2)^2}$
Ответ: $\frac{14 - m}{12(m - 2)^2}$
4) $\frac{y + 12}{8y + 32} - \frac{y + 4}{8y - 32} + \frac{9}{y^2 - 16}$
Разложим знаменатели на множители:
$8y + 32 = 8(y + 4)$
$8y - 32 = 8(y - 4)$
$y^2 - 16 = (y - 4)(y + 4)$ (разность квадратов)
Общий знаменатель — $8(y - 4)(y + 4)$. Приведем дроби к нему:
$\frac{(y + 12)(y - 4)}{8(y + 4)(y - 4)} - \frac{(y + 4)(y + 4)}{8(y - 4)(y + 4)} + \frac{9 \cdot 8}{8(y - 4)(y + 4)}$
Объединим дроби и раскроем скобки в числителе:
$\frac{(y^2 + 8y - 48) - (y^2 + 8y + 16) + 72}{8(y - 4)(y + 4)} = \frac{y^2 + 8y - 48 - y^2 - 8y - 16 + 72}{8(y - 4)(y + 4)}$
Приведем подобные слагаемые в числителе:
$\frac{-48 - 16 + 72}{8(y - 4)(y + 4)} = \frac{8}{8(y - 4)(y + 4)}$
Сократим дробь на 8:
$\frac{1}{(y - 4)(y + 4)} = \frac{1}{y^2 - 16}$
Ответ: $\frac{1}{y^2 - 16}$
5) $\frac{a + 2}{a^2 + 2a + 4} - \frac{1}{a - 2} + \frac{a^3 + 2a}{a^3 - 8}$
Разложим знаменатель последней дроби по формуле разности кубов: $a^3 - 8 = a^3 - 2^3 = (a - 2)(a^2 + 2a + 4)$.
Это выражение является общим знаменателем для всех трех дробей. Приведем их к этому знаменателю:
$\frac{(a + 2)(a - 2)}{(a^2 + 2a + 4)(a - 2)} - \frac{1(a^2 + 2a + 4)}{(a - 2)(a^2 + 2a + 4)} + \frac{a^3 + 2a}{a^3 - 8}$
Объединим дроби:
$\frac{(a^2 - 4) - (a^2 + 2a + 4) + (a^3 + 2a)}{a^3 - 8}$
Раскроем скобки в числителе и приведем подобные слагаемые:
                    
Другие задания:
Помогло решение? Оставьте отзыв в комментариях ниже.
Присоединяйтесь к Телеграм-группе @top_gdz
ПрисоединитьсяМы подготовили для вас ответ c подробным объяснением домашего задания по алгебре за 8 класс, для упражнения номер 27 расположенного на странице 35 к дидактическим материалам 2014 года издания для учащихся школ и гимназий.
Теперь на нашем сайте ГДЗ.ТОП вы всегда легко и бесплатно найдёте условие с правильным ответом на вопрос «Как решить ДЗ» и «Как сделать» задание по алгебре к упражнению №27 (с. 35), авторов: Мерзляк (Аркадий Григорьевич), Полонский (Виталий Борисович), Рабинович (Ефим Михайлович), Якир (Михаил Семёнович), ФГОС (старый) учебного пособия издательства Просвещение, Вентана-граф.
 
                     
                     
                     
                     
                     
                     
                     
                     
                     
                     
                     
                     
                     
                     
                     
                    