Номер 106, страница 77 - гдз по алгебре 8 класс дидактические материалы Мерзляк, Полонский

Авторы: Мерзляк А. Г., Полонский В. Б., Рабинович Е. М., Якир М. С.
Тип: Дидактические материалы
Издательство: Просвещение, Вентана-граф
Год издания: 2014 - 2025
Цвет обложки: розовый, фиолетовый с папками
ISBN: 978-5-09-079636-1
Популярные ГДЗ в 8 классе
Вариант 3. Упражнения - номер 106, страница 77.
№106 (с. 77)
Условие. №106 (с. 77)
скриншот условия

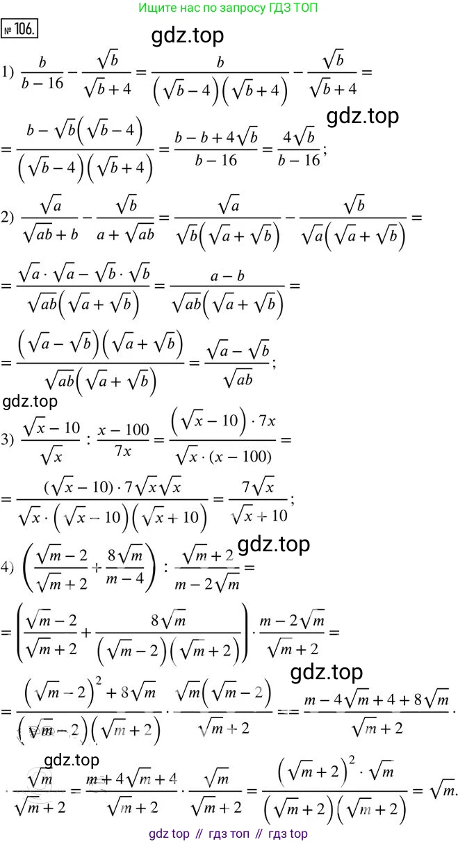
106. Упростите выражение:
1) $\frac{b}{b - 16} - \frac{\sqrt{b}}{\sqrt{b} + 4}$;
2) $\frac{\sqrt{a}}{\sqrt{ab} + b} - \frac{\sqrt{b}}{a + \sqrt{ab}}$;
3) $\frac{\sqrt{x} - 10}{\sqrt{x}} : \frac{x - 100}{7x}$;
4) $(\frac{\sqrt{m} - 2}{\sqrt{m} + 2} + \frac{8\sqrt{m}}{m - 4}) : \frac{\sqrt{m} + 2}{m - 2\sqrt{m}}$.
Решение 1. №106 (с. 77)

Решение 2. №106 (с. 77)

Решение 3. №106 (с. 77)
1)
Чтобы упростить выражение $\frac{b}{b-16} - \frac{\sqrt{b}}{\sqrt{b}+4}$, приведем дроби к общему знаменателю. Для этого разложим знаменатель первой дроби по формуле разности квадратов: $b-16 = (\sqrt{b})^2 - 4^2 = (\sqrt{b}-4)(\sqrt{b}+4)$.
Теперь общий знаменатель — это $(\sqrt{b}-4)(\sqrt{b}+4)$. Домножим числитель и знаменатель второй дроби на $(\sqrt{b}-4)$:
$\frac{b}{b-16} - \frac{\sqrt{b}(\sqrt{b}-4)}{(\sqrt{b}+4)(\sqrt{b}-4)} = \frac{b}{b-16} - \frac{b-4\sqrt{b}}{b-16}$
Теперь выполним вычитание дробей с одинаковыми знаменателями:
$\frac{b - (b-4\sqrt{b})}{b-16} = \frac{b - b + 4\sqrt{b}}{b-16} = \frac{4\sqrt{b}}{b-16}$
Ответ: $\frac{4\sqrt{b}}{b-16}$.
2)
Упростим выражение $\frac{\sqrt{a}}{\sqrt{ab}+b} - \frac{\sqrt{b}}{a+\sqrt{ab}}$. Сначала вынесем общие множители в знаменателях:
В первом знаменателе: $\sqrt{ab}+b = \sqrt{a}\sqrt{b} + \sqrt{b}\sqrt{b} = \sqrt{b}(\sqrt{a}+\sqrt{b})$.
Во втором знаменателе: $a+\sqrt{ab} = \sqrt{a}\sqrt{a} + \sqrt{a}\sqrt{b} = \sqrt{a}(\sqrt{a}+\sqrt{b})$.
Выражение принимает вид:
$\frac{\sqrt{a}}{\sqrt{b}(\sqrt{a}+\sqrt{b})} - \frac{\sqrt{b}}{\sqrt{a}(\sqrt{a}+\sqrt{b})}$
Общий знаменатель равен $\sqrt{a}\sqrt{b}(\sqrt{a}+\sqrt{b})$. Приведем дроби к общему знаменателю:
$\frac{\sqrt{a} \cdot \sqrt{a}}{\sqrt{a}\sqrt{b}(\sqrt{a}+\sqrt{b})} - \frac{\sqrt{b} \cdot \sqrt{b}}{\sqrt{a}\sqrt{b}(\sqrt{a}+\sqrt{b})} = \frac{a-b}{\sqrt{ab}(\sqrt{a}+\sqrt{b})}$
Разложим числитель по формуле разности квадратов $a-b = (\sqrt{a}-\sqrt{b})(\sqrt{a}+\sqrt{b})$:
$\frac{(\sqrt{a}-\sqrt{b})(\sqrt{a}+\sqrt{b})}{\sqrt{ab}(\sqrt{a}+\sqrt{b})}$
Сократим дробь на $(\sqrt{a}+\sqrt{b})$:
$\frac{\sqrt{a}-\sqrt{b}}{\sqrt{ab}}$
Ответ: $\frac{\sqrt{a}-\sqrt{b}}{\sqrt{ab}}$.
3)
Чтобы упростить выражение $\frac{\sqrt{x}-10}{\sqrt{x}} : \frac{x-100}{7x}$, заменим деление на умножение на обратную дробь:
$\frac{\sqrt{x}-10}{\sqrt{x}} \cdot \frac{7x}{x-100}$
Разложим выражение $x-100$ в знаменателе второй дроби по формуле разности квадратов: $x-100 = (\sqrt{x}-10)(\sqrt{x}+10)$.
$\frac{\sqrt{x}-10}{\sqrt{x}} \cdot \frac{7x}{(\sqrt{x}-10)(\sqrt{x}+10)}$
Сократим общие множители $(\sqrt{x}-10)$:
$\frac{1}{\sqrt{x}} \cdot \frac{7x}{\sqrt{x}+10} = \frac{7x}{\sqrt{x}(\sqrt{x}+10)}$
Так как $x = \sqrt{x} \cdot \sqrt{x}$, можно сократить дробь на $\sqrt{x}$:
$\frac{7\sqrt{x}}{\sqrt{x}+10}$
Ответ: $\frac{7\sqrt{x}}{\sqrt{x}+10}$.
4)
Упростим выражение $(\frac{\sqrt{m}-2}{\sqrt{m}+2} + \frac{8\sqrt{m}}{m-4}) : \frac{\sqrt{m}+2}{m-2\sqrt{m}}$.
1. Выполним действие в скобках. Разложим знаменатель $m-4$ на множители: $m-4=(\sqrt{m}-2)(\sqrt{m}+2)$.
$\frac{\sqrt{m}-2}{\sqrt{m}+2} + \frac{8\sqrt{m}}{(\sqrt{m}-2)(\sqrt{m}+2)}$
Приведем к общему знаменателю $(\sqrt{m}-2)(\sqrt{m}+2)$:
$\frac{(\sqrt{m}-2)(\sqrt{m}-2) + 8\sqrt{m}}{(\sqrt{m}-2)(\sqrt{m}+2)} = \frac{(\sqrt{m}-2)^2 + 8\sqrt{m}}{m-4}$
Раскроем квадрат в числителе: $(\sqrt{m}-2)^2 = m-4\sqrt{m}+4$.
$\frac{m-4\sqrt{m}+4+8\sqrt{m}}{m-4} = \frac{m+4\sqrt{m}+4}{m-4}$
Свернем числитель по формуле квадрата суммы $(a+b)^2=a^2+2ab+b^2$: $m+4\sqrt{m}+4 = (\sqrt{m}+2)^2$.
$\frac{(\sqrt{m}+2)^2}{m-4} = \frac{(\sqrt{m}+2)^2}{(\sqrt{m}-2)(\sqrt{m}+2)} = \frac{\sqrt{m}+2}{\sqrt{m}-2}$
2. Теперь выполним деление. Заменим его умножением на обратную дробь:
$\frac{\sqrt{m}+2}{\sqrt{m}-2} : \frac{\sqrt{m}+2}{m-2\sqrt{m}} = \frac{\sqrt{m}+2}{\sqrt{m}-2} \cdot \frac{m-2\sqrt{m}}{\sqrt{m}+2}$
Вынесем в числителе второй дроби общий множитель $\sqrt{m}$: $m-2\sqrt{m} = \sqrt{m}(\sqrt{m}-2)$.
$\frac{\sqrt{m}+2}{\sqrt{m}-2} \cdot \frac{\sqrt{m}(\sqrt{m}-2)}{\sqrt{m}+2}$
Сократим одинаковые множители $(\sqrt{m}+2)$ и $(\sqrt{m}-2)$:
$\sqrt{m}$
Ответ: $\sqrt{m}$.
Другие задания:
Помогло решение? Оставьте отзыв в комментариях ниже.
Присоединяйтесь к Телеграм-группе @top_gdz
ПрисоединитьсяМы подготовили для вас ответ c подробным объяснением домашего задания по алгебре за 8 класс, для упражнения номер 106 расположенного на странице 77 к дидактическим материалам 2014 года издания для учащихся школ и гимназий.
Теперь на нашем сайте ГДЗ.ТОП вы всегда легко и бесплатно найдёте условие с правильным ответом на вопрос «Как решить ДЗ» и «Как сделать» задание по алгебре к упражнению №106 (с. 77), авторов: Мерзляк (Аркадий Григорьевич), Полонский (Виталий Борисович), Рабинович (Ефим Михайлович), Якир (Михаил Семёнович), ФГОС (старый) учебного пособия издательства Просвещение, Вентана-граф.